林头中学2011级高三数学寒假作业四
寒假作业人教A版必修4第一章知识要点及分层作业(附详解答案)

1.1.1 任意角和弧度制及任意角的三角函数【知识要点】1.任意角、角的分类:①按旋转方向不同分为正角、负角、零角.②按终边位置不同分为象限角和轴线角. (2)终边相同的角:终边与角α相同的角可写成α+k ·360°(k ∈Z ).2.弧度制:1弧度的角:把长度等于半径长的弧所对的圆心角叫做1弧度的角. 3.弧度与角度的换算:360°=2π弧度;180°=π弧度.4.任意角的三角函数定义:设α是一个任意角,角α的终边与单位圆交于点P (x ,y ),那么角α的正弦、余弦、正切分别是:sin α=y ,cos α=x ,tan α=yx,它们都是以角为自变量,以单位圆上点的坐标或坐标的比值为函数值的函数.5.三角函数在各象限内的符号口诀是:一全正、二正弦、三正切、四余弦6.三角函数线:设角α的顶点在坐标原点,始边与x 轴非负半轴重合,终边与单位圆相交于点P ,过P 作PM 垂直于x 轴于M ,单位圆与x 轴的正半轴交于点A ,单位圆在A 点的切线与α的终边或其反向延长7.弧长公式:l =|α|r ,扇形面积公式:S 扇形=12lr =12|α|r 2.【对点精练】【基础巩固】一、选择题交单位圆O 于点P ,若∠C .(sin θ,cos θ)D .是第二象限的角,其终边的一点为P (x ,5),且cos α=.【素养提升】的终边相同,则y =|sin .-3轴的非负半轴重合,终边在直线【知识要点】1.同角三角函数基本关系:平方关系22sin cos 1αα+= 商数关系sin tan cos ααα=2.诱导公式1.1.4函数y=A sin(ωx+φ)的图象及简单三角函数模型的应用【知识要点】1.用五点法画y=A sin(ωx+φ)一个周期内的简图:要找五个关键点,如下表所示:2.由函数y=sin x的图象变换得到y=A sin(ωx+φ)(A>0,ω>0)的图象的两种方法3.三角函数模型的简单应用三角函数模型在实际中的应用体现在两个方面:(1)已知函数模型,利用三角函数的有关性质解决问题,其关键是准确理解自变量的意义及自变量与函数之间的对应法则.(2)把实际问题抽象转化成数学问题,建立三角函数模型,再利用三角函数的有关知识解决问题,其关键是建模.【对点精练】)=2sin ()2x +3π4)=2sin ()2x -π4 =3cos x -sin x ,则函数f (2x )图象的对称中心为),0(k ∈Z ) C.()k π2-π4,0(k ∈的最小正周期为T ,将曲线y =f (x )向左平移>0,ω>0,-π<φ<0)的部分图象如图所示,则φ=ωx (ω>0)的图象与x 轴的两个相邻交点之间的距离为)(其中0<ω<1),若点()-π6,0是函数f (x )图象的一个对称中心.在区间x ∈[-π,π]上的图象.1.1.5 三角函数第一章单元测试第Ⅰ卷(选择题共60分)一、选择题(本大题共12个小题,每小题5分,共60分,)1.若α是第二象限角,则180°-α是()A.第一象限角B.第二象限角C.第三象限角D.第四象限角2.已知2弧度的圆心角所对的弦长为2,则这个圆心角所对的弧长是()A.2 B.sin2 C.2sin1D.2sin13.如图,在直角坐标系xOy中,射线OP交单位圆O于点P,若∠AOP=θ,则点P的坐标是()A .(cos θ,sin θ)B .(-cos θ,sin θ)C .(sin θ,cos θ)D .(-sin θ,cos θ) 4.设α是第二象限角,P (x,4)为其终边上的一点,且cos α=15x ,则tan α=( )A.43B.34 C .-34 D .-435.如果sin α-2cos α3sin α+5cos α=-5,那么tan α的值为( )A .-2B .2 C.2316D .-2316 6.如果sin α+cos α=34,那么|sin 3α-cos 3α|的值为( )A.2512823 B .-2512823 C.2512823或-2512823 D .以上全错7.若sin θ+cos θsin θ-cos θ=2,则sin θcos 3θ+cos θsin 3θ的值为( )A .-81727 B.81727 C.82027D .-820278.若sin α是5x 2-7x -6=0的根,则sin (-α-3π2)sin (3π2-α)tan 2(2π-α)cos (π2-α)cos (π2+α)sin (π+α)=( )A.35B.53C.45D.549.函数y =sin ()2x +π6的一个单调递减区间为( )A.()π6,2π3B.()-π3,π6C.()-π2,π2D.()π2,2π310.将函数y =sin(x -π3)的图象上所有点的横坐标伸长到原来的2倍(纵坐标不变),再将所得的图象向右平移π3个单位,得到的图象对应的解析式是( ) A .y =sin 12x B .y =sin(12x -π2) C .y =sin(12x -π6)D .y =sin(2x -π6)11.已知函数f (x )=sin ()x -π2(x ∈R ),下面结论错误的是( )A .函数f (x )的最小正周期为2πB .函数f (x )在区间[]0,π2上是增函数 C .函数f (x )的图象关于直线x =0对称 D .函数f (x )是奇函数12.已知某帆船中心比赛场馆区的海面上每天海浪高度y (米)可看作是时间t (0≤t ≤24,单位:小时)的函数,记作y =f (t ),经长期观测,y =f (t )的曲线可近似地看成是函数y =A cos ωt +b ,下表是某日各时的浪高数据:A .y =12cos π6t +1B .y =12cos π6t +32C .y =2cos π6t +32D .y =12cos6πt +32第Ⅱ卷(非选择题 共90分)二、填空题(本大题共4个小题,每小题5分,共20分,把正确答案填在题中横线上) 13.若cos(75°+α)=13,其中α为第三象限角,则cos(105°-α)+sin(α-105°)=________.14.函数y =lg(sin x )+16-x 2的定义域为________________.15.据市场调查,某种商品每件的售价按月呈f (x )=A sin(ωx +φ)+B (A >0,ω>0,|φ|<π2)的模型波动(x 为月份),已知3月份达到最高价8千元,7月份价格最低为4千元,则f (x )=________. 16.关于函数f (x )=4sin(2x +π3)(x ∈R ),有下列命题:①函数y =f (x )的表达式可改写为y =4cos(2x -π6);②函数y =f (x )是以2π为最小正周期的周期函数; ③函数y =f (x )的图象关于点(-π6,0)对称;④函数y =f (x )的图象关于直线x =-π6对称.其中,正确的是________.(填上你认为正确命题的序号)三、解答题(本大题共6个小题,共70分,解答应写出文字说明,证明过程或演算步骤) 17.(本题满分10分)(1)已知角α的终边经过点P (4,-3),求2sin α+cos α的值; (2)已知角α的终边经过点P (4a ,-3a )(a ≠0),求2sin α+cos α的值; (3)已知角α终边上一点P 与x 轴的距离与y 轴的距离之比为,求2sin α+cos α的值.18.(本题满分12分)已知tan α、1tan α是关于x 的方程x 2-kx +k 2-3=0的两实根,且3π<α<72π,求cos(3π+α)-sin(π+α)的值.19.(本题满分12分)已知x ∈[-π3,2π3],(1)求函数y =cos x 的值域;(2)求函数y =-3sin 2x -4cos x +4的值域.20.(本题满分12分)已知函数f (x )=3sin ()12x +π4-1,x ∈R .求: (1)函数f (x )的最小值及此时自变量x 的取值集合;(2)函数y =sin x 的图象经过怎样的变换得到函数f (x )=3sin ()12x +π4-1的图象?21.(本题满分12分)如图,某市拟在长为8 km 的道路OP 的一侧修建一条运动赛道,赛道的前一部分为曲线段OSM ,该曲线段为函数y =A sin ωx (A >0,ω>0),x ∈[0,4]的图象,且图象的最高点为S (3,23);赛道的后一部分为折线段MNP .试求A 、ω的值和M 、P 两点间的距离.22.(本题满分12分)已知函数f (x )=A sin(ωx +φ)+B (A >0,ω>0)的一系列对应值如下表:(1)(2)根据(1)的结果,若函数y =f (kx )(k >0)的周期为2π3,当x ∈[0,π3]时,方程f (kx )=m 恰有两个不同的解,求实数m 的取值范围.附:参考答案1.1.1 任意角和弧度制及任意角的三角函数【基础巩固】一、选择题⎩⎨l =2.A,AB=22,=1 3,θ∈()π2,π)[-A依题意∴-ωπ3+π6=k π,k ∈Z ,∴ω=-3k +12. ∵0<ω<1,∴k =0,ω=12.(2)由(1)知,f (x )=2sin ()x +π6,x ∈[-π,π],列表如下:x +π6 -5π6 -π20 π2 π 7π6 x -π -2π3 -π6π3 5π6 π y -1 -2 0 2-1则函数f (x )在区间x ∈[-π,π]上的图象如图所示.10. 解析:(1)因为f (x )=sin ()ωx -π6+sin ()ωx -π2,所以f (x )=32sin ωx -12cos ωx -cos ωx =32sin ωx -32cos ωx =3⎝⎛⎭⎫12sin ωx -32cos ωx =3sin ()ωx -π3.由题设知f ()π6=0,所以ωπ6-π3=k π,k ∈Z ,故ω=6k +2,k ∈Z .又0<ω<3,所以ω=2. (2)由(1)得f (x )=3sin ()2x -π3,所以g (x )=3sin ()x +π4-π3=3sin ()x -π12.因为x ∈[]-π4,3π4,所以x -π12∈[]-π3,2π3.当x -π12=-π3,即x =-π4时,g (x )取得最小值-32.【素养提升】11. 解析:(1)∵f (x )=sin()5π6-2x -2sin ()x -π4cos ()x +3π4=12cos2x +32·sin2x +(sin x -cos x )(sin x +cos x ) =12cos2x +32sin2x +sin 2x -cos 2x =12cos2x +32sin2x -cos2x =sin ()2x -π6, ∴函数f (x )的最小正周期T =2π2=π.由2k π-π2≤2x -π6≤2k π+π2得k π-π6≤x ≤k π+π3(k ∈Z ).∴函数f (x )的单调递增区间为[]k π-π6,k π+π3(k ∈Z ).(2)F (x )=-4λf (x )-cos ()4x -π3=-4λsin ()2x -π6-⎣⎡⎦⎤1-2sin 2()2x -π61.1.5 三角函数第一章单元测试第Ⅰ卷(选择题 共60分)一、选择题(本大题共12个小题,每小题5分,共60分,)1. [答案] A[解析] α为第二象限角,不妨取α=120°,则180°-α为第一象限角. 2.[答案] C[解析] 由题设,圆弧的半径r =1sin1,∴圆心角所对的弧长l =2r =2sin1.3.[答案] A[解析] 设P (x ,y ),由三角函数定义知sin θ=y ,cos θ=x ,故P 点坐标为(cos θ,sin θ). 4.[答案] D[解析] x <0,r =x 2+16,∴cos α=x x 2+16=15x ,∴x 2=9,∴x =-3,∴tan α=-43. 5.[答案] D[解析] ∵sin α-2cos α=-5(3sin α+5cos α),∴16sin α=-23cos α,∴tan =-2316.6. [答案] C[解析] 由已知,两边平方得sin αcos α=-732. ∴|sin 3α-cos 3α|=|(sin α-cos α)(sin 2α+cos 2α+sin αcos α)|=1-2sin αcos α·|1+sin αcos α|=2523128.∴sin 3α-cos 3α=±2523128.7.[答案] C[解析] ∵sin θ+cos θsin θ-cos θ=2,∴sin θ=3cos θ∴sin θcos 3θ+cos θsin 3θ=3cos 2θ+127cos 2θ=8227cos 2θ由⎩⎨⎧sin θ=3cos θsin 2θ+cos 2θ=1得cos 2θ=110∴sin θcos 3θ+cos θsin 3θ=82027. 8.[答案] B[解析] 方程5x 2-7x -6=0的两根为x 1=-35,x 2=2.则sin α=-35原式=cos α(-cos α)tan 2αsin α(-sin α)(-sin α)=-1sin α=53. 9.[答案] A[解析] 令π2+2k π≤2x +π6≤3π2+2k π(k ∈Z ),整理得π6+k π≤x ≤2π3+k π,所以仅有()π6,2π3是单调递减区间. 10.[答案] B[解析]11. [答案] D[解析] ∵f (x )=sin ()x -π2=-cos x (x ∈R ),∴T =2π,在[]0,π2上是增函数.∵f (-x )=-cos(-x )=-cos x =f (x ).∴函数f (x )是偶函数,图象关于y 轴即直线x =0对称.12.[答案] B[解析] ∵T =12-0=12,∴ω=2πT =2π12=π6. 又最大值为2,最小值为1,则⎩⎨⎧ A +b =2,-A +b =1,解得A =12,b =32,∴y =12cos π6t +32. 二、填空题(本大题共4个小题,每小题5分,共20分,把正确答案填在题中横线上) 13. [答案] 22-13 [解析] cos(105°-α)+sin(α-105°)=-cos(75°+α)-sin(α+75°).∵180°<α<270°,∴255°<α+75°<345°.又∵cos(α+75°)=13,∴sin(α+75°)=-23 2.∴原式=-13+232=22-13. 14. [答案] [-4,-π)∪(0,π)[解析] 由已知,得⎩⎨⎧ sin x >0,16-x 2≥0.解得⎩⎨⎧ 2k π<x <2k π+π,-4≤x ≤4,即x ∈[-4,-π)∪(0,π).15.[答案] 2sin ()π4x -π4+6 [解析] 由题意得⎩⎨⎧A +B =8,-A +B =4,解得A =2,B =6. 周期T =2(7-3)=8,∴ω=2πT =π4.∴f (x )=2sin ()π4x +φ+6.又当x =3时,y =8,∴8=2sin ()3π4+φ+6.∴sin ()3π4+φ=1,取φ=-π4.∴f (x )=2sin ()π4x -π4+6. 16.[答案] ①③[解析] ①f (x )=4sin(2x +π3)=4cos(π2-2x -π3)=4cos(-2x +π6)=4cos(2x -π6).②T =2π2=π,最小正周期为π.③∵2x +π3=k π,当k =0时,x =-π6,函数f (x )关于点(-π6,0)对称.④2x +π3=π2+k π,当x =-π6时,k =-12,与k ∈Z 矛盾.∴①③正确. 三、解答题(本大题共6个小题,共70分,解答应写出文字说明,证明过程或演算步骤)17. [解析] (1)∵r =x 2+y 2=5,∴sin α=y r =-35,cos α=x r =45,∴2sin α+cos α=-65+45=-25. (2)∵r =x 2+y 2=5|a |,∴当a >0时,r =5a ,∴sin α=-3a 5a =-35,cos α=45,∴2sin α+cos α=-25;当a <0时,r =-5a ,∴sin α=-3a -5a =35,cos α=-45,∴2sin α+cos α=25. (3)当点P 在第一象限时,sin α=35,cos α=45, 2sin α+cos α=2;当点P 在第二象限时,sin α=35, cos α=-45,2sin α+cos α=25;当点P 在第三象限时,sin α=-35,cos α=-45,2sin α+cos α=-2; 当点P 在第四象限时,sin α=-35,cos α=45,2sin α+cos α=-25. 18. [解析] 由题意,根据韦达定理,得tan α1tan α=k 2-3=1,∴k =±2.又∵3π<α<72π,∴tan α>0,1tan α>0, ∴tan α+1tan α=k >0,即k =2,而k =-2舍去,∴tan α=1tan α=1,∴sin α=cos α=-22,∴cos(3π+α)-sin(π+α)=sin α-cos α=0.19. [解析] (1)∵y =cos x 在[-π3,0]上为增函数,在[0,2π3]上为减函数, ∴当x =0时,y 取最大值1;x =2π3时,y 取最小值-12.∴y =cos x 的值域为[-12,1]. (2)原函数化为:y =3cos 2x -4cos x +1,即y =3(cos x -23)2-13, 由(1)知,cos x ∈[-12,1],故y 的值域为[-13,154]. 20. [解析] (1)函数f (x )的最小值是3×(-1)-1=-4,此时有12x +π4=2k π-π2,解得x =4k π-3π2(k ∈Z ), 即函数f (x )的最小值是-4,此时自变量x 的取值集合是⎩⎨⎧⎭⎬⎫x | x =4k π-3π2,k ∈Z . (2)步骤是:①将函数y =sin x 的图象向左平移π4个单位长度,得到函数y =sin ()x +π4的图象;②将函数y =sin ()x +π4的图象上所有点的横坐标伸长为原来的2倍(纵坐标不变),得到函数y =sin ()12x +π4的图象;③将函数y =sin ()12x +π4的图象上所有点的纵坐标伸长为原来的3倍(横坐标不变),得到函数y =3sin ()12x +π4的图象;④将函数y =3sin ()12x +π4的图象向下平移1个单位长度,得函数y =3sin ()12x +π4-1的图象.21. [解析] ∵函数y =A sin ωx (A >0,ω>0)图象的最高点为S (3,23),∴A =2 3.由图象,得T 4=3,∴T =12.又T =2πω,∴ω=π6,即y =23sin π6x . 当x =4时,y =23sin 2π3=3.∴M (4,3).又P (8,0).∴|MP |=42+32=5,即MP 的长是5. 22. [解析] (1)设f (x )的最小正周期为T ,则T =11π6-(-π6)=2π, 由T =2πω,得ω=1,又⎩⎨⎧ B +A =3,B -A =-1,解得⎩⎨⎧A =2B =1,令ω·5π6+φ=π2,即5π6+φ=π2, 解得φ=-π3,∴f (x )=2sin(x -π3)+1. (2)∵函数y =f (kx )=2sin(kx -π3)+1的周期为2π3,又k >0,∴k =3,令t =3x -π3, ∵x ∈[0,π3],∴t ∈[-π3,2π3],如图,sin t =s 在[-π3,2π3]上有两个不同的解,则s ∈[32,1],∴方程 f (kx )=m 在x ∈[0,π3]时恰好有两个不同的解,则m ∈[3+1,3],即实数m 的取值范围是[3+1,3].。
高三数学寒假作业四

高三数学寒假作业四一、选择题(每小题3分,共计30分) 1.命题“若ab =0,则a =0或b =0”的逆否命题是A .若a =0或b =0,则ab =0B .若0≠ab ,则0≠a 或0≠bC .若0≠a 且0≠b ,则0≠abD .若0≠a 或0≠b ,则0≠ab 2. 已知c b a ,,满足a b c <<且0<ac ,则下列选项中不一定...能成立的是 A .c b a a < B .0>-c a b C .c a c b 22> D .0<-ac ca3. 使“1lg <m ”成立的一个充分不必要条件是A. {}1, 2m ∈B. 1<mC. 100<<mD. ),0(+∞∈m 4. 已知在等比数列{}n a 中,1346510,4a a a a +=+=,则该数列的公比等于 A. 12 B. 23 C. 2 D. 12-5. 已知函数()22xf x =-,则函数()y f x =的图象可能是6. 将函数sin 2y x =的图象向左平移4π个单位,再向上平移1个单位,所得图象的函数解 析式是A .cos 2y x =B .22sin y x = C .)42sin(1π++=x y D .22cos y x =7. 已知函数)0,0)(sin(2)(πϕωϕω<<>+=x x f 的图象如图所示,则ω等于 A.13B. 32C. 1D. 28. 在曲线32()3610f x x x x =++-的切线中,斜率最小的切线方程为 A .360x y -+= B .3110x y +-=C .3110x y ++=D .3110x y --=9. 已知1x >,1y >,且1ln 4x ,14,ln y 成等比数列,则xy A .有最大值e B .有最大值e C .有最小值e D .有最小值e 10. 若定义在R 上的奇函数)(x f 满足(4)()f x f x -=-,且在区间[0,2]上是增函数,则 有A. (25)(80)(11)f f f -<<B. (11)(80)(25)f f f <<-C. (25)(11)(80)f f f -<<D. (80)(11)(25)f f f <<-二、填空题(每小题4分,共计24分) 11. 定义:()00>>=y ,x y)y ,x (F x,已知数列{}n a 满足()()n ,F ,n F a n22=)(*∈N n ,若对任意正整数n ,都有n k a a ≥()k *∈N 成立,则k a 的值为_________. 12. 在锐角ABC △中,角C B A ,,所对的边分别为a b c ,,,若22sin 3A =,2a =, 2ABC S =△,则b 的值为__________.13. 若||2,||4==a b ,且()+⊥a b a ,则a 与b 的夹角是 . 14. 函数2()2ln f x x x =-的单调增区间是2()2ln f x x x =-15. 不等式组260302x y x y y +-⎧⎪+-⎨⎪⎩≤≥≤所表示的平面区域的面积为 .16. 已知下列各式:1111111311111, 11, 1, 12,2232347223415>++>+++++>+++++>则按此规律可猜想此类不等式的一般形式为 .三、解答题:(共46分,其中17题10分,其他各题12分)解答题应写出文字说明.证明过程或演算步骤.17.(本小题满分12分) 已知不等式201x x +<-的解集为A ,关于x 的不等式21()2()2x a x a -->∈R 的解集为B ,全集U =R ,求使UA B B =的实数a 的取值范围.18.(本小题满分12分) 已知函数22()cos(2)sin cos 3f x x x x π=-+-.(I )求函数()f x 的单调减区间; (II )若3()5f α=,2α是第一象限角,求sin 2α的值. 19.(本小题满分12分)已知{}n b 是公比大于1的等比数列,13,b b 是函数2()54f x x x =-+的两个零点. (I )求数列{}n b 的通项公式;(II )若数列{}n a 满足2log 2n n a b n =++,且12363m a a a a ++++≤,求m 的最大值.20.(本小题满分12分)已知在函数3()f x ax x =-的图象上,以(1,)N b 为切点的切线的倾斜角为45. (I )求,a b 的值;(II )是否存在最小的正整数k ,使得不等式()1996f x k ≤-对于[1,3]x ∈-恒成立? 若存在,试求出k 的值;若不存在,请说明理由.高三数学寒假作业四参考答案一、选择题(每小题3分,共计30分) 1-5 CCAAB 6-10 DBDCA .二、填空题(每小题4分,共计24分)11.89 12. 3 13. 23π; 14. 1(,)2+∞; 15. 1; 16. 1111()23212n n n ++++>∈-*N .三、解答题:(共46分,其中17题10分,其他各题12分)解答题应写出文字说明.证明过程或演算步骤. 三、解答题 17. 解:由201xx +<-解得21x -<<,(2,1)A =-.所以(,2][1,)UA =-∞-+∞.由21()22xa x -->得211()()22x a x +>,即2x a x <+,解得x a <.所以(,)B a =-∞. 因为UA B B =,所以UB A ⊆,故有2a -≤.即a 的取值范围是(,2]-∞-.18. 解:(I )因为22()cos(2)sin cos 3f x x x x π=-+-13cos 2sin 2cos 222x x x =+-31sin 2cos 2sin(2)226x x x π=-=- 所以,当3222()262k x k k Z πππππ+-+∈≤≤, 即5()36k x k k Z ππππ++∈≤≤时,函数()f x 递减.故,所求函数()f x 的减区间为5[, ]()36k k k Z ππππ++∈.(II )因为2α是第一象限角,且3sin(2)65πα-=,所以222()663k k k Z ππππαπ-<-<+∈.由3()sin(2)65f παα=-=得4cos(2)65πα-=. 所以334sin 2sin[(2)]6610ππαα=-+=. 19. 解:(I )因为13,b b 是函数2()54f x x x =-+的两个零点,所以13,b b 是方程2540x x -+=的两根,故有131345b b b b =⎧⎨+=⎩因为公比大于1,所以131,4b b ==,则22b =. ……………………………….3分 所以,等比数列{}n b 的公比为212b b =,1112n n n b b q --==. ……………………6分 (II )122log 2log 2221n n n a b n n n -=++=++=+.所以,数列{}n a 是首项为3,公差为2的等差数列. …………………………..9分 故有212313(1)22632m a a a a m m m m m +++++-⋅==+≤.即2263m m -+≤0.解得97m -≤≤. 所以m 的最大值是7. 20. 解:依题意,得(1)tan 45f '=,即2311,.3a a -== 因为(1)fb =,所以1.3b =-(II )由(I )知32()3f x x x =-. 令.22,012)(2±==-='x x x f 得 因为.15)3(,32)22(,32)22(,31)1(=-==-=-f f f f 所以,当[1,3]x ∈-时,()f x 的最大值为(3)15f =.要使得不等式()1996f x k -≤对于[1,3]x ∈-恒成立,则1519962011.k +=≥ 所以,存在最小的正整数2011k =,使得不等式()1996f x k -≤对于[1,3]x ∈-恒成立。
数学寒假作业(四)

林南仓中学2008级高三数学寒假作业 四注 文理科试题要分清,未注明者文理科都做;每小题选出答案后,写在规定的相应的答题位置上,否则无效。
参考公式:如果事件A 、B 互斥,那么 球的表面积公式P (A+B )=P (A )+P (B ) S=4πR 2如果事件A 、B 相互独立,那么 其中R 表示球的半径 P (A ·B )=P (A )·P (B ) 球的体积公式 如果事件A 在一次试验中发生的概率是P.334R V π=那么n 次独立重复试验中恰好发生k 次的概 其中R 表示球的半径率k n kk n n P P C k P --=)1()(第Ⅰ卷(选择题 共60分)。
一 选择题:(本大题共12小题,每小题5分,共60分,在每小题给出的四个选项中有且只有一项符合题目要求 )1(文科)函数y =sin2x cos2x 的最小正周期是 ( ) (A )2π (B )4π(C )π4 (D )π2) Ai B .i - Ci D .i 2已知3(,),sin ,25παπα∈=则tan()4πα+等于 ( )(A )17 (B )7(C )17-(D )7-3 “命题甲:a (a-b)<0”是“命题乙:1>a b ”成立的( ) A.充分不必要条件 B.充要条件 C.必要不充分条件 D.既不充分也不必要条件4 老师为研究男女同学数学学习的差异情况,对某班50名同学(其中男同学30名,女同学20名)采取分层抽样的方法,抽取一个样本容量为10的样本进行研究,某女同学甲被抽到的概率为( )A .150B .110C .15D .145 已知正方体外接球的体积是323π,那么正方体的棱长等于 ( ) (A) (B)3 (C(D6 若抛物线22y px =的焦点与椭圆22162x y +=的右焦点重合,则p 的值为( )A .2-B .2C .4-D .4 7 已知非零向量a 、b ,若a +2b 与a -2b 互相垂直,则=ba ( )A.41 B. 4 C. 21D. 2 8 ABC ∆的内角A 、B 、C 的对边分别为a 、b 、c ,若a 、b 、c 成等比数列,且2c a =,则cos B =A .14 B .34 CD.3 9 已知双曲线12222=-by a x (a >0,b <0)的右焦点为F ,若过点F 且倾斜角为60°的直线与双曲线的右支有且只有一个交点,则此双曲线离心率的取值范围是( )A.( 1,2)B. (1,2)C.[2,+∞]D.(2,+∞) 10 函数y=sinxcosx +sinx +cosx 的最大值是( ) (A )2 (B )3 (C )1+2 (D )21+211在24(x 的展开式中,x 的幂的指数是正整数的项共有 ( ) A .3项 B .4项 C .5项 D .6项 12设f (x )= 1232,2,log (1),2,x e x x x -⎧<⎪⎨-≥⎪⎩ 则不等式f (x )>2的解集为 ( ) (A)(1,2)⋃(3,+∞) (B)(10,+∞) (C)(1,2)⋃ (10 ,+∞) (D)(1,2)二、填空题:本大题共4小题,每小题4分,共16分。
高三数学寒假作业4

高三数学寒假作业4 2019.1.17班级________________学号________________姓名_______________1.已知i 是虚数单位, 复数411i z i i+=+-的共轭复数z 在复平面 内对应点落在第 象限.2.已知集合{|{|12}M x y N x x ===+≤,且M 、都是全集I 的子集,则右图韦恩图中阴影部分表示的集合为 ;3.设n S 为等差数列}{n a 的前n 项和,且20101-=a ,22008201020082010=-S S ,则2a = ; 4.已知向量,m n 的夹角为6π,且||3m =,||2n =,在∆ABC 中,,3AB m n AC m n =+=-,D 为BC 边的中点,则||AD = ;5.设椭圆22221(0)x y a b a b+=>>,的离心率为21=e ,右焦点为)0,(c F ,方程20ax bx c +-=的两个实根分别为1x 和2x ,则点),(21x x P 与圆O ;222=+y x 的位置关系是________.6. 函数3()f x x ax =+在(1,2)处的切线方程为 .7. 若}33,)1(,2{122++++∈a a a a ,则实数=a . 8.从某小学随机抽取100名同学,将他们的身高(单位:厘米)数据绘制成频率分布直方图(如图).由图中数据可知a = .若要从身高在[120,130),[130,140),[140,150]三组内的学生中,用 分层抽样的方法选取18人参加一项活动,则从身高在 [140,150]内的学生中选取的人数应为 .9.设,αβ为互不重合的平面,,m n 是互不重合的直线,给出下列四个命题:①//,,//m n n m αα⊂若则 ②,,//////m n m n ααββαβ⊂⊂若,,则 ③//,,//m n m n αβαβ⊂⊂若,则④若,,,,m n n m n αβαβαβ⊥⋂=⊂⊥⊥则; 其中正确命题的序号为 .10.已知抛物线22(0)y px p =>与双曲线22221(0,0)x y a b a b-=>>有相同的焦点F ,点A 是两曲线的一个交点,且AF x ⊥轴,若l 为双曲线的一条斜率大于0的渐近线,则l 的斜率的取值范围是 .11.某学生在上学路上要经过3个路口,假设在各路口遇到红灯或绿灯是等可能的,遇到红灯时停留的时间都是2min .则这名学生在上学路上因遇到红灯停留的总时间至多是4min 的概率为 . 12.如图,有一壁画,最高点A 处离地面4m,最低点B 处离地面2.2m,若从离地高6.1m 的C 处观赏它,则当视角θ最大时, C 处离开墙壁 m.13.定义:关于x 的两个不等式()0<x f 和()0<x g 的解集分别为()b a ,和⎪⎭⎫ ⎝⎛a b 11,,则称这两个不等式为对偶不等式.如果不等式022cos 342<+-θx x 与不等式012sin 422<++θx x 为对偶不等式,且,2πθπ⎛⎫∈ ⎪⎝⎭,则=θ . 14.已知函数bx ax x x f -+=2331)((R b a ∈,),若)(x f y =在区间[]2,1-上是单调减函数,则b a +的最小值为 . 二、解答题:(本大题共6道题,计90分.解答应写出必要的文字说明、证明过程或演算步骤) 15.已知函数()2sin()(0,)22f x x ππωϕωϕ=+>-<<的图像如图所示,直线37,88x x ππ==是其两条对称轴。
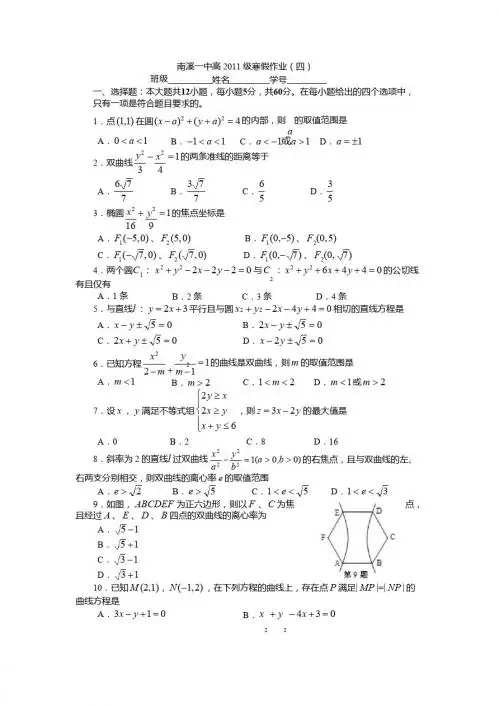
南溪一中高2011级寒假作业(四)

C. 2x y 5 0
D. x 2 y 5 0
6.已知方程
2
x2 m
y
m
2
1
1的曲线是双曲线,则
m
的取值范围是
A. m 1
B. m 2
C.1 m 2 D. m 1或 m 2
2y x 7.设 x , y 满足不等式组 2x y ,则 z 3x 2 y 的最大值是
故所求的圆方程为 (x 3)2,得( y 12)2 9 或2(x 3)2 ( y 1)2 9
19 解:由题设,得 e
2,c
2a , b2
3a 2 ,双曲线为
x2 a2
y2 3a 2
1,
直线 AB 的方程为 y x 2a ,
x2 19.(本小题满分 12 分)设双曲线 C: a2
y2 b2
1a
0,b
0 的离心率 e
2 ,经
过双曲线的右焦点 F 且倾斜角为 45º的直线交双曲线于 A、B 点,若| AB | 12 ,试求此时
双曲线的方程。
20.(本小题满分
12
分)已知两个定点
O(0,0)、A(3,0),动点
x y 6
A.0
B.2
C.8
D.16
8.斜率为 2 的直线l 过双曲线
x2 a2
y2 b2
1(a 0,b 0) 的右焦点,且与双曲线的左、
右两支分别相交,则双曲线的离心率 e 的取值范围
A. e 2
B. e 5
C.1 e 5 D.1 e 3
高三年级数学寒假作业(4)

高三年级数学寒假作业〔4〕 编号: 04 设计人: 审核人: 完成日期: 一、填空题:每题5分,8小题,共40分, 请将每题答案直接写在答题栏上. 1.假设使集合{}220,M x ax x a a =++=∈R 中有且只有一个元素的所有a 的值组成集合N ,那么N= .2.,a b 为实数,集合{,1},bM a=N={},0,:a f x x →表示把集合M 中的元素x 映射到集合N 中仍为x ,那么a b +等于 .3.(1,0),(0,1)==i j 那么2-i j 与2+i j 的夹角为 .4.点P ()1,2,4-关于点A ()1,1,a -的对称点是(),,2Q b c -,那么a b c ++= .5.设()f x 是定义在()0,+∞上的增函数,且()()()xf f x f y y=-,假设(2)1f =,那么(4)f = .6.设全集22,{|4},{|1}1U M x y x N x x ===-=≥-R 都是U 的子集〔如下图〕,那么阴影局部所示的集合是.7.G 是△ABC 的重心,过G 的一条直线交AB 、AC 两点分别于E 、 F ,且有,AE AB AF AC λμ==,那么11λμ+= .8.等差数列{}n a 中,1233,a a a ++=假设前n 项和为18,且211n n n a a a --++=,那么n = .9.假设4t >,那么函数()cos 2sin f x x t x t =+-的最大值是 .10.P 是直线3480x y ++=上的动点,PA 、PB 是圆222210x y x y +--+= 的两条切线,A 、B 是切点,C 是圆心,那么四边形PACB 面积的最小值为 .填空题答题栏:1. 2. 3. 4. 5.6. 7. 8. 9. 10.二、解答题:每题15分,2小题,共30.解答时,写出必要文字说明、证明过程或演算步骤.11.在△ABC 中,||2AB AC AB AC ⋅=-=.〔1〕求22||||AB AC +的值;〔2〕当△ABC 的面积最大时,求∠A 的大小.12.〔选做题〕在四棱锥P -ABCD 中PD ⊥底面ABCD ,底面为正方形,PD=DC ,E 、F 分别是CD 、PB 的中点.〔1〕求证:EF//平面PAD ;〔2〕求证:EF ⊥AB ;〔3〕在平面PAD 内求一点G ,使GF ⊥平面PCB ,并证明你的结论.。
2011届高三年级第四次模拟考试数学理科试卷 参考答案
因此, 的最大值为 .……………………………12分
解法 :依题意,当区间 的长度最小时,得到的 最大值,即是所求值.
, 长度最小的区间为 ,…………………11分
当 时,与解法 相同分析,得 ,
解得 .……………………………12分
后面解题步骤与解法 相同(略).
注:也可用向量法求侧棱长.
(Ⅱ)解法1:过 作 于 ,连 ,
侧面 .
为二面角 的平面角.……………………………6分
在 中, ,又
, .
又
在 中, .…………………………8分
故二面角 的余弦值为 .
解法2:(向量法,见后)
(Ⅲ)解法1:由(Ⅱ)可知, 平面 , 平面 平面 ,且交线为 , 过 作 于 ,则 平面 .
18.(本小题满分12分)
已知向量 , ,函数 , .
(Ⅰ)求函数 的最小正周期;
(Ⅱ)在 中, 分别是角 的对边-------2分
∴函数 的最小周期 -------4分
(Ⅱ)
-------------6分
------------7分
是三角形内角
∴ ,∴ 即: -------------8分
∴ 即: ----------------10分
将 可得: 解之得:
∴
∴ ------------12分
19.(本小题满分12分)已知数列 满足: 且
.
(Ⅰ)求 , , , 的值及数列 的通项公式;
(Ⅱ)设 ,求数列 的前 项和 .
.解:(Ⅰ)经计算 , , , .…………………………2分
当 为奇数时, ,即数列 的奇数项成等差数列,
;…………………………4分
高三数学寒假作业四(含答案)
高三数学寒假作业四一、填空题(本大题共14小题,每小题5分,共计70分.不需要写出解答过程)1.设集合2{}1A=﹣,,集合}2{1B =,,则A B ⋃=_____. 2.“1x >”是“21x ≥”的_________________条件.3.直线10x +-=的倾斜角为_______________.4.双曲线22143x y -=的渐近线方程是_________________. 5.抛物线2y =上的点AA 到其焦点F 的距离为_____. 6.已知10sin ,sin 263ππαα⎛⎫<<-= ⎪⎝⎭,则2sin 23απ⎛⎫+ ⎪⎝⎭的值为_____. 7.已知n S 是等差数列{}n a 的前n 项和,若36410S S =,=,则9S =_____. 8.如图,已知棱长为a 的正方体ABCD MNPQ -的体积为1V ,以,,,B D M P 为顶点的三棱锥P BDM -的体积为2V ,则21V V =________. 9.若x ,y 满足约束条件10,{0,40,x x y x y -≥-≤+-≤则y x 的最大值为 . 10.已知椭圆()222210x y a b a b+=>>的左焦点为()1,0F c -,右焦点为()20F c ,.若椭圆上存在一点P ,线段2PF 与圆2224c x y +=相切于点E ,且E 为线段2PF 中点,则该椭圆的离心率为_____.11.已知正实数,x y 满足x y xy +=,则1911y x y +--最小值是_____.12.已知1:310l mx y m --+=与2:310l x my m +--=相交于点P ,线段AB 是圆()()22:114C x y +++=的一条动弦,且AB =||PA PB +的最小值是___________.13.已知函数()[](]2,0,1,1,3x x x f x e x -⎧∈⎪=⎨∈⎪⎩,其中e 为自然对数的底数,若存在实数12x x ,满足1203x x ≤≤<,且12()()f x f x =,则212x x ﹣的取值范围为_____.14.已知函数()x f x ae lnx lna +=﹣,其中e 为自然对数的底数,若对任意正实数x ,都有()0f x ≥,则实数a 的最小值为_____.二、解答题(本大题共6小题,共计90分.解答应写出文字说明,证明过程或演算步骤.) 15.如图,在四棱锥P-ABCD 中,底面ABCD 为平行四边形,点O 为对角线BD 的中点,点E ,F 分别为棱PC ,PD 的中点,已知PA⊥AB,PA⊥AD.(1)求证:直线PB∥平面OEF ;(2)求证:平面OEF⊥平面ABCD .16.在三角形ABC 中,角A,B,C 的对边分别为a,b,c ,若()31sin ,tan 53A AB =-=,角C 为钝角, 5.b = (1)求sin B 的值; (2)求边c 的长.17.已知圆C 经过点()()2,0,2,0A B -,且圆心C 在直线y x =上,又直线:1l y kx =+与圆C 交于P,Q 两点.(1)求圆C 的方程;(2)若2OP OQ ⋅=-,求实数k 的值;(3)过点()0,1作直线1l l ⊥,且1l 交圆C 于M ,N 两点,求四边形PMQN 的面积的最大值.18.已知圆()222:0O x y r r +=>与椭圆()2222:10x y C a b a b +=>>相交于点M (0,1),N (0,-1),且椭圆的离心率为2. (1)求r 的值和椭圆C 的方程;(2)过点M 的直线l 交圆O 和椭圆C 分别于A ,B 两点.①若23MB MA =,求直线l 的方程;②设直线NA 的斜率为1k ,直线NB 的斜率为2k ,问:21k k 是否为定值? 如果是,求出定值;如果不是,说明理由.19.巳知函数2()22ln f x x ax a x =--,22()ln 2g x x a =+,其中0,x a R >∈.(1)若1x =是函数()f x 的极值点,求a 的值;(2)若()f x 在区间(2,)+∞上单调递增,求a 的取值范围;(3)记()()()F x f x g x =+,求证:1()2F x ≥.20.已知数列{}n a 与{}n b 的前n 项和分别为n A 和n B ,且对任意()*112,n n n n n N a a b b ++∈--=恒成立. (1)若21,2n A n b ==,求n B ;(2)若对任意*n ∈N ,都有n n a B =及31241223341 (3)n n n b b b b a a a a a a a a ++++++<成立,求正实数1b 的取值范围.高三数学寒假作业四参考答案一、填空题1.设集合2{}1A=﹣,,集合}2{1B =,,则A B ⋃=_____. 【答案】21}2{﹣,,.. 【解析】【分析】根据并集的定义运算即可.【详解】解:{},{},2,11,2A B =-=1{}2,,2A B ∴-=.故答案为: 1{22}-,,. 【点睛】本题考查了列举法的定义,并集的运算,考查了计算能力,属于基础题.2.“1x >”是“21x ≥”的_____条件.【答案】充分不必要.【解析】【分析】利用充分性,必要性的判定即可.【详解】解:由“1x >”可以推出“21x ≥”,所以具有充分性;由“21x ≥”可以推出“11x x <->或”,推导不出“1x >”,所以不具有必要性;故“1x >”是“21x ≥”的充分不必要条件.故答案:充分不必要.【点睛】本题考查了条件的充分性与必要性,属于基础题.3.直线10x +-=的倾斜角为_______________.【答案】150【解析】【分析】由直线10x +-=的斜率为k =,得到00tan [0,180)αα=∈,即可求解.【详解】由题意,可知直线10x +-=的斜率为k =,设直线的倾斜角为α,则00tan [0,180)3αα=-∈,解得0150α=, 即换线的倾斜角为0150. 【点睛】本题主要考查直线的倾斜角的求解问题,其中解答中熟记直线的倾斜角与斜率的关系,合理准确计算是解答的关键,着重考查了运算与求解能力,属于基础题.4.双曲线22143x y -=的渐近线方程是_________________.【答案】y x = 【解析】【分析】 根据双曲线的渐近线方程的求法,求得双曲线的渐近线.【详解】双曲线22221x y a b -=的渐近线为b y x a =±,所以双曲线22143x y -=的渐近线方程是2y x =±.故答案为2y x =± 【点睛】本小题主要考查双曲线渐近线方程的求法,属于基础题.5.抛物线2y =上的点A A 到其焦点F 的距离为_____.【答案】【解析】【分析】求出抛物线的准线方程,利用抛物线的定义求解即可.【详解】解:抛物线2y =的准线方程为:x =,抛物线2y =上的点A则A 到其焦点F 距离为: =故答案为:【点睛】本题考查抛物线的简单性质的应用,是基本知识的考查,属于基础题.6.已知10sin ,sin 263ππαα⎛⎫<<-= ⎪⎝⎭,则2sin 23απ⎛⎫+ ⎪⎝⎭的值为_____.【答案】9-. 【解析】【分析】 由已知结合同角平方关系可求cos()6πα-,然后结合诱导公式可求1sin()3απ+,1cos()3απ+,最后再用二倍角的正弦公式可求 【详解】解:10,sin 263ππαα⎛⎫<<-= ⎪⎝⎭,cos 63πα⎛⎫∴-= ⎪⎝⎭,11sin sin cos 36263ππαπαπα⎛⎫⎛⎫⎛⎫∴+=-+=-= ⎪ ⎪ ⎪⎝⎭⎝⎭⎝⎭ 111cos cos sin 36263ππαπαπα⎛⎫⎛⎫⎛⎫+=-+=--=- ⎪ ⎪ ⎪⎝⎭⎝⎭⎝⎭则2111sin 22cos sin 2333339απαπαπ⎛⎫⎛⎫⎛⎫⎛⎫+=++=⨯-=- ⎪ ⎪ ⎪ ⎪⎝⎭⎝⎭⎝⎭⎝⎭故答案为: 9-【点睛】本题主要考查了诱导公式,二倍角正弦公式在三角函数求值中的应用,属于基础试题.7.已知n S 是等差数列{}n a 的前n 项和,若36410S S =,=,则9S =_____. 【答案】18.【解析】【分析】等差数列{}n a 中, 36396,S S S S S --,成等差数列,代入即可求解.【详解】解:等差数列{}n a 中,36396,S S S S S --,成等差数列, 92104410S ∴-+-()=则918S =.故答案为:18【点睛】本题主要考查了等差数列的性质的简单应用,属于基础题. 8.如图,已知棱长为a 的正方体ABCD MNPQ -的体积为1V ,以,,,B D M P 为顶点的三棱锥P BDM -的体积为2V ,则21V V =________.【答案】13【解析】【分析】先由题意求出正方体的体积1V ,然后运用1V 减去四个三棱锥的体积得到三棱锥P BDM -的体积为2V ,然后可得所求比值.【详解】依题意得正方体的体积31V a =,三棱锥A BDM -的体积21132A BDM M ABD V V a a --==⨯⨯ 36a =, 又三棱锥P BDM -为正四面体, 由对称性知3332114463A BDM a V V V a a -=-=-⨯=,所以2113V V =. 故答案为13. 【点睛】求几何体的体积时首先要确定几何体的形状,然后再求出体积,对于一些不规则的几何体,可采用分割或补形的方法转化为规则几何体的体积后进行求解,考查转化思想方法的运用,属于基础题.9.若x ,y 满足约束条件10,{0,40,x x y x y -≥-≤+-≤则yx的最大值 .【答案】3 【解析】作出可行域如图中阴影部分所示,由斜率的意义知,yx是可行域内一点与原点连线的斜率,由图可知,点A (1,3)与原点连线的斜率最大,故yx的最大值为3.考点:线性规划解法【此处有视频,请去附件查看】10.已知椭圆()222210x y a b a b +=>>的左焦点为()1,0F c -,右焦点为()20F c,.若椭圆上存在一点P ,线段2PF 与圆2224c x y +=相切于点E ,且E 为线段2PF 中点,则该椭圆的离心率为_____.1. 【解析】 【分析】连接OE ,1F P .利用切线的性质可得2OE PF ⊥.利用三角形中位线定理可得:1122c OE PF ==,1//OE PF .再利用勾股定理与离心率计算公式即可得出. 【详解】解:如图所示,连接1OE F P ,.线段2PF 与圆2224c x y +=相切于点E ,2OE PF ∴⊥.又O 为12F F 的中点,111//22c OE OE PF ∴=PF ,.12122290PF c PF a c F PF OEF ∴-∠∠︒=,=,==.()()22222c a c c ∴=+-, 化为:2220,01e e e +-<<=解得1e =.1.【点睛】本题考查了椭圆的标准方程及其性质、直线与圆相切性质、三角形中位线定理、勾股定理,考查了推理能力与计算能力,属于难题. 11.已知正实数,x y 满足x y xy +=,则1911yx y +--的最小值是_____. 【答案】15. 【解析】 【分析】由已知可得,(1)(1)1x y --=,而191991111y x y x y +=++----,利用基本不等式即可求解. 【详解】解:正实数x ,y 满足x y xy +=,01yx y ∴=>-, 1y ∴>,同理1x >, (1)(1)1x y ∴--=,则191999151111y x y x y +=++=----…, 当且仅当1911x y =--且(1)(1)1x y --=,即43x =,4y =时取得等号, 故答案为:15.【点睛】本题主要考查了利用基本不等式求解最值,解题的关键是应用条件的配凑,属于基础题. 12.已知1:310l mx y m --+=与2:310l x my m +--=相交于点P ,线段AB 是圆()()22:114C x y +++=的一条动弦,且AB =||PA PB +的最小值是___________.【答案】2 【解析】 【分析】由两直线方程可知两直线垂直,且分别过定点(3,1)、(1,3),所以点P 的轨迹为以两定点连线段为直径的圆,方程为(x ﹣2)2+(y ﹣2)2=2.因为要求||PA PB +的最小值,可作垂直线段CD ⊥AB ,根据向量的运算可得,||=2PA PB PD +,根据条件求得CD 的长度为1,所以点D 的轨迹为()221)11x y +++=(.根据两圆方程可知点P 的轨迹与点D 的轨迹外离,故||PA PB +的最小值为两圆的圆心距减去两圆的半径.【详解】∵l 1:mx ﹣y ﹣3m +1=0与l 2:x +my ﹣3m ﹣1=0, ∴l 1⊥l 2,l 1过定点(3,1),l 2过定点(1,3),∴点P 的轨迹方程为圆(x ﹣2)2+(y ﹣2)2=2,作垂直线段CD ⊥AB ,CD=1, 所以点D 的轨迹为()221)11x y +++=(,则||=|22|PA PB PC CA PC CB PC CD PD ++++=+=, 因为圆P和圆D 的1=>所以两圆外离,所以|PD |最小值为11=, 所以||PA PB +的最小值为﹣2. 故答案为42﹣2.【点睛】平面向量具有代数与几何双重身份,是沟通代数与几何的桥梁.平面向量模的最值问题一般以选择题或填空题的形式出现.解决此类问题关键在于正确运用相关知识,进行合理转化,常用方法有(1)利用向量基本知识转化为函数最值问题;(2)利用坐标进行转化,结合图形求最值;(3)利用向量模的性质求解;(4)利用几何意义,数形结合求解. 13.已知函数()[](]2,0,1,1,3x x x f x e x -⎧∈⎪=⎨∈⎪⎩,其中e 为自然对数的底数,若存在实数12x x ,满足1203x x ≤≤<,且12()()f x f x =,则212x x ﹣的取值范围为_____. 【答案】2]1ln ∞-(-,. 【解析】 【分析】先讨论1x ,2x ,在同一区间内的最大值,最小值,再讨论在不同区间时的情况,利用导数求出最值. 【详解】解:记212m x x =-,①当1201x x 剟? 时,11()f x x =,22()f x x =,所以12x x =,则2m x =-, 故其最大值在20x =时取得,为0,其最小值在21x =时取得,为1-;②当1213x x <剟时,121()x f x e -=,222()x f x e -=,所以1222x x e e --=,即12x x =,则2m x =-, 故其最大值()11max m m <=-,其最小值()33min m m =-…;③当12013x x <剟? 时,11()f x x =,222()x f x e -=,所以221x x e -=, 所以212x lnx -=,即212x lnx =+,故1122m lnx x =+-, 设()22g x lnx x =+-,[0x ∈,1],则1()2g x x '=-,令()0g x '=,得12x =, 当1(0,)2x ∈时,()0g x '>,()g x 单调递增, 当1(2x ∈,1)时,()0g x '<,()g x 单调递减,所以当0x →时,()g x 的值无限趋于-∞; 所以当12x =时,()g x 取极大值也是最大值,即11()2112122max m g ln ln ==+-=->-,所以212x x -最大值为12ln -.故答案为:(-∞,12]ln -.【点睛】本题考查分段函数的应用,结合导数知识,关键理清不同区间上表达式的形式,求出对应的最值,属于中档题.14.已知函数()xf x ae lnx lna +=﹣,其中e 为自然对数的底数,若对任意正实数x ,都有()0f x ≥,则实数a 的最小值为_____.【答案】1e. 【解析】 【分析】根据题意得x ae lnx lna --…恒成立令()x g x ae lnx =-,(0)x >,min ()g x lna ≥-,对()g x 求导通过单调性分析最小值,得000()()x min g x g x ae lnx ==-,所以00xae lnx lna -≥-,()00000120x x u x e x lnx x e=--≥,求出0x 的取值范围,进而求出a 取值范围.【详解】解:若对任意正实数x 都有()0f x …, 则0x ae lnx lna -+…,则x ae lnx lna --…恒成立, 令()x g x ae lnx =-,(0)x >,min ()g x lna ≥-,11()(0)x xaxe g x ae x x x-'=-=>,当0a …时,()0g x '<,()g x 在(0,)+∞上单调递减,()g x 无最小值,不符合题意,当0a >时,令()1x h x axe =-,在(0,)+∞上是增函数, 所以存在0(0,)x ∈+∞,使得0010ax e -=, 001x a x e ∴=,00)lna lnx x =-- 当0(0,)x x ∈时,()0h x <,()0g x '<,()g x 单调递减, 当0(x x ∈,)+∞时,()0h x >,()0g x '>,()g x 单调递增, 所以000()()x min g x g x ae lnx ==-, 所以00x ae lnx lna -≥-, 即0000120x x e x lnx x e --≥, 即000120x lnx x --≥, 令1()2(0)u x x lnx x x=-->, 2221()0(0)x x u x x x ---'=<>,所以()u x 在(0,)+∞上单调递减, 又()10u =,所以001x <≤, 001x a x e =由基本初等函数的单调性可知xy xe =在(]0,1上单调递增,1y x=在(]0,1上单调递减,由复合函数的单调性得()1xf x xe =在(]0,1上单调递减, 所以()()11f x f e≥= 即1a e≥. 故a 的最小值为1e故答案为:1e. 【点睛】本题考查利用导数研究函数的单调性、最值,属于中档题.二、解答题15.如图,在四棱锥P-ABCD 中,底面ABCD 为平行四边形,点O 为对角线BD 的中点,点E ,F 分别为棱PC ,PD 的中点,已知PA⊥AB,PA⊥AD.(1)求证:直线PB∥平面OEF ; (2)求证:平面OEF⊥平面ABCD . 【答案】详见解析 【解析】 【分析】(1)根据O 为PB 中点,F 为PD 中点,所以,PB∥FO,之后应用线面垂直的判定定理证得结果;(2)根据题意,得到PA ∥OE ,结合题中所给的条件因为PA⊥AB,PA⊥AD,AB∩AD=A ,可得PA⊥平面ABCD ,从而得到OE⊥平面ABCD ,根据面面垂直的判定定理证得结果. 【详解】(1)O 为PB 中点,F 为PD 中点,所以,PB∥FO 而PB ⊄平面OEF ,FO ⊂平面OEF , ∴ PB∥平面OEF .(2)连结AC ,因为ABCD 为平行四边形,∴AC 与BD 交于点O ,O 为AC 中点,又E 为PC 中点, ∴ PA ∥OE ,因为PA⊥AB,PA⊥AD,AB∩AD=A , ∴ PA⊥平面ABCD , ∴ OE⊥平面ABCD 又OE ⊂平面OEF , ∴ 平面OEF⊥平面ABCD【点睛】该题考查的是有关证明空间关系的问题,涉及到的知识点有线面平行的判定和面面垂直的判定,熟练掌握基础知识是正确解题的关键.16.在三角形ABC 中,角A,B,C 的对边分别为a,b,c ,若()31sin ,tan 53A AB =-=,角C 为钝角, 5.b = (1)求sin B 的值;(2)求边c 的长.【答案】(1)sin 10B = (2)13c = 【解析】 【分析】(1)由()sin sin B A A B ⎡⎤=--⎣⎦,分别求得sin cos A A ,,()()sin cos A B A B --,得到答案;(2)利用正弦定理sin sin a A b B=得到 a =13c =.【详解】(1)因为角C 为钝角,3sin 5A = ,所以4cos 5A == ,又()1tan 3A B -= ,所以02A B π<-< ,且()()sinA B A B -=-= , 所以()()()sin sin sin cos cos sin B A A B A A B A A B ⎡⎤=--=---⎣⎦3455== .(2)因为sin sin 5a Ab B ==,且5b = ,所以a =, 又()cos cos cos cos sin sinC A B A B A B =-+=-+= ,则2222cos 952525169c a b ab C ⎛=+-=+-⨯= ⎝ ,所以 13c = .17.已知圆C 经过点()()2,0,2,0A B -,且圆心C 在直线y x =上,又直线:1l y kx =+与圆C 交于P,Q 两点.(1)求圆C 的方程;(2)若2OP OQ ⋅=-,求实数k 的值;(3)过点()0,1作直线1l l ⊥,且1l 交圆C 于M,N 两点,求四边形PMQN 的面积的最大值.【答案】(1)x 2 +y 2=4(2)k=0(3)7【解析】试题分析:(1)设圆心为(,)C a a ,半径为r .故AC AB r ==,建立方程,从而可求圆C 的方程;(2)利用向量的数量积公式,求得120POQ ︒∠=,计算圆心到直线l 的距离d ,即可求解实数k 的值;(3)方法1、设圆O 到直线1,l l 的距离分别为1,d d ,求得2211d d +=,根据垂径定理和勾股定理,可得22PQ MN ==PMQN 面积的最大值;方法2、利用弦长公式12PQ x =-=,MN ==积,在利用基本不等式,可求四边形PMQN 面积的最大值.试题解析:(1)设圆心为(,)C a a ,半径为r .故AC AB r ==,易得0,2a r ==, 因此圆的方程为224x y +=.(2)因为22cos ,2OP OQ OP OQ ⋅=⨯⨯=-,且OP 与OQ夹角为POQ ∠,故1cos 2POQ ∠=-,120POQ ︒∠=,所以C 到直线l 的距离1d =,又d =,所以0k =.又解:设P 11(,)x y ,22(,)Q x y ,则2OP OP ⋅=-,即12122x x y y +=-,由221{4y kx x y =++=得22(1)230k x kx ++-=,∴12212221{31kx x k x x k -+=+-=+,代入12122x x y y +=-得20k =,∴0k =;(3)设圆心O 到直线1,l l 的距离分别为1,d d ,四边形PMQN 的面积为S .因为直线1,l l 都经过点(0,1),且1l l ⊥,根据勾股定理,有2211d d +=,又22PQ MN == 故1222S =⨯==7≤==当且仅当1d d =时,等号成立,所以max 7S =.(3)又解:由已知12S PQ MN =,由(2)的又解可得12PQ x =-=同理可得MN ==∴S ==7==≤=,当且仅当21k =时等号成立,所以max 7S =.考点:直线与圆的方程的应用;点到直线的距离公式的应用;圆的标准方程.【方法点晴】本题主要考查了直线的方程与圆的方程的应用、点到直线的距离公式的应用,同时着重考查了向量的数量积的运算和圆的性质、四边形面积的计算和基本的运用,属于中档试题解答的关键是准确表达,PQ MN 的长度,正确表示四边形PMQN 的面积合理运用基本不等式求解四边形PMQN 面积的最值,同时注意基本不等式等号成立的条件.18.已知圆()222:0O x y r r +=>与椭圆()2222:10x y C a b a b+=>>相交于点M (0,1),N (0,-1),且椭圆的离心率为2.(1)求r 的值和椭圆C 的方程;(2)过点M 的直线l 交圆O 和椭圆C 分别于A ,B 两点.①若23MB MA =,求直线l 的方程;②设直线NA 的斜率为1k ,直线NB 的斜率为2k ,问:21k k 是否为定值? 如果是,求出定值;如果不是,说明理由. 【答案】(1)2212x y +=;(2)①12y x =±+;②2112k k = 【解析】【分析】(1)由交点M (0,1)可求b ,由离心率可求a ,从而得到椭圆方程;(2)①设出直线l 的方程,分别联立椭圆方程和圆的方程,解出A ,B 两点的坐标,由23MB MA =得到关于k 的方程,求解即可得到结果;②结合①中A ,B 两点的坐标,利用斜率公式直接用k 表示1k 和2k ,由此可求得结果.【详解】(1)因为圆()222:0O x y r r +=>与椭圆()2222:10x y C a b a b +=>>相交于点M (0,1)所以b =r =1.又离心率为c e a ==,所以a =22:12x C y +=. (2)①因为过点M 的直线l 另交圆O 和椭圆C 分别于A ,B 两点,所以设直线l 的方程为1(0)y kx k =+≠,由22112y kx x y =+⎧⎪⎨+=⎪⎩,得()222140k x kx ++=, 则222421,2121k k B k k ⎛⎫--+ ⎪++⎝⎭,同理2211y kx x y =+⎧⎨+=⎩,解得22221,11k k A k k ⎛⎫--+ ⎪++⎝⎭, 因为23MB MA =,则224223211k k k k --=++, 因为0k ≠,所以2k =±,即直线l的方程为12y x =±+. ②根据①,22221,11k k A k k ⎛⎫--+ ⎪++⎝⎭,222421,2121k k B k k ⎛⎫--+ ⎪++⎝⎭,2212111121A N NA A N k y y k k k k x x k k -++-+====---+,22222111214221B N NB B N k y y k k k k x x kk -++-+====---+, 所以2112k k =为定值. 【点睛】本题考查圆的方程和椭圆的方程,考查了直线与圆,直线与椭圆的位置关系,计算量较大,尤其是化简过程比较多,注意仔细审题,认真计算,属难题.19.巳知函数2()22ln f x x ax a x =--,22()ln 2g x x a =+,其中0,x a R >∈.(1)若1x =是函数()f x 的极值点,求a 的值;(2)若()f x 在区间(2,)+∞上单调递增,求a 的取值范围;(3)记()()()F x f x g x =+,求证:1()2F x ≥. 【答案】(1)12;(2)4(,]3-∞;(3)参考解析 【解析】试题分析:(1)由函数2()22ln f x x ax a x =--,所以可得2'()22(0)a f x x a x x=-->,又1x =是函数()f x 的极值点,即12220,2a a a --=∴=. (2)因为()f x 在区间(2,)+∞上单调递增,所以对函数()f x 求导,然后把变量a 分离,求函数2()1x M x x =+的最值即可.(3)由()()()F x f x g x =+即可得到,222()22ln ln 2F x x ax a x x a =--++,按a 的降幂写成二次三项的形式,然后再配方,即可得到2222ln ln ln 2()2[()()]222x x x x x x P a a +++=--+.再用放缩法即可得到结论.试题解析:(1)由2()22ln f x x ax a x =--, 得22222()22(0)a x ax a f x x a x x x----'==>, ∵1x =是函数()f x 的极值点,∴(1)2220f a a =--=',解得12a =,经检验1x =为函数()f x 的极值点,所以12a =.(2)∵()f x 在区间(2,)+∞上单调递增, ∴2222()0x ax a f x x--'=≥在区间(2,)+∞上恒成立, ∴21x a x ≤+对区间(2,)+∞恒成立, 令2()1x M x x =+,则22222(1)2()(1)(1)x x x x x M x x x =+'+-+=+ 当(2,)x ∈+∞时,()0M x '>,有24()(2)13x M x M x =>=+, ∴a 的取值范围为4(,]3-∞.(3) 解法1:222()22ln ln 2F x x ax a x x a =--++ 222ln 2[(ln )]2x x a x x a +=-++,令222ln ()(ln )2x x P a a x x a +=-++, 则2222ln ln ln ()()()222x x x x x x P a a +++=--+222ln (ln )(ln )()244x x x x x x a +--=-+≥ 令()ln Q x x x =-,则11()1x Q x x x-=-=', 显然()Q x 在(0,1]上单调递减,在[1,)+∞上单调递增, 则min ()(1)1Q x Q ==,则1()4P a ≥, 故11()242F x ≥⨯=. 解法2:222()()()22ln ln 2F x f x g x x ax a x x a =+=--++22()(ln )x a x a =-+-则()F x 表示ln y x =上一点(,ln )x x 与直线y x =上一点(,)a a 距离的平方.由ln y x =得1y x'=,让011y x '==,解得01x =, ∴直线1y x =-与ln y x =的图象相切于点(1,0),(另解:令()1ln N x x x =--,则1()1N x x=-', 可得()y N x =在(0,1]上单调递减,在[1,)+∞上单调递增,故min ()(1)0N x N ==,则1ln x x x >-≥,直线1y x =-与ln y x =的图象相切于点(1,0)),点(1,0)到直线y x =的距离为2,则2221()()(ln )2F x x a x a =-+-≥=. 考点:1.函数的极值.2函数的单调性.3.构造新函数求解.4.放缩法的思想.20.已知数列{}n a 与{}n b 的前n 项和分别为n A 和n B ,且对任意()*112,n n n n n N a a b b ++∈--=恒成立. (1)若21,2n A n b ==,求n B ;(2)若对任意*n ∈N ,都有n n a B =及31241223341 (3)n n n b b b b a a a a a a a a ++++++<成立,求正实数1b 的取值范围. 【答案】(1)232n n n B +=;(2)[3)+∞,. 【解析】【分析】(1)根据1112n n n A n a A A n -=⎧=⎨-≥⎩可得n a .再由112()n n n n a a b b ++-=-,利用等差数列的通项公式求和公式即可得出.(2)对任意*n N ∈,都有n n a B =,可得111n n n n n a a B B b +++-=-=.11111()22n n n n n b b a a b +++-=⨯-=.化为12n n b b +=,10b >.可得数列{}n b 是等比数列,公比为2.可得1121(21)21n n n B b b -==--.另一方面:1111111n n n n n n n n n b B B a a B B B B +++++-==-.利用3124122334113n n n b b b b a a a a a a a a +++++⋯+<成立,及其数列的单调性即可得出. 【详解】解:(1)2n A n =,2n ∴…时,221(1)21n n n a A A n n n -=-=--=-. 1n =时,11a =.1n =时适合上式.21n a n ∴=-.112()n n n n a a b b ++-=-,11212n n b b +∴-=⨯=,又12b =. ∴数列{}n b 是等差数列,首项为2,公差为1.2(1)32122n n n n n B n -+∴=+⨯=. (2)对任意*n N ∈,都有n n a B =,111n n n n n a a B B b +++∴-=-=.11111()22n n n n n b b a a b +++∴-=⨯-=. 12n n b b +∴=,10b >.∴数列{}n b 是等比数列,公比为2.1121(21)21n n n B b b -∴==--. 另一方面:1111111n n n n n n n n n b B B a a B B B B +++++-==-.3124122334113n n n b b b b a a a a a a a a +++++⋯+<成立, ∴1223111111111111111(1)213n n n n B B B B B B B B b ++-+-+⋯⋯+-=-=-<-, 113(1)21n b ∴>-- 对任意*n N ∈,都成立,13b ∴…. ∴正实数1b 的取值范围是[3)+∞,.【点睛】本题考查了数列递推关系、等差数列与等比数列的通项公式求和公式、裂项求和方法、数列的单调性,考查了推理能力与计算能力,属于中档题.。
高考模拟复习试卷试题模拟卷高三数学新课标高三数学寒假作业4
高考模拟复习试卷试题模拟卷高三数学新课标高三数学寒假作业4一、选择题.1.设集合A={x|﹣1≤x≤2,x∈N},集合B={2,3},则A∪B=( )A.{1,2,3} B.{0,1,2,3} C.{2} D.{﹣1,0,1,2,3}2.设0<a<1,则函数y=的图象大致为( )A.B.C. D.3.已知函数f(n)=n2cos(nπ),且an=f(n),则a1+a2+a3+…+a100=( )A.0 B.100 C.5050 D.102004.对于函数f(x)=tan2x,下列选项中正确的是( )A.f(x)在(﹣,)上是递增的B.f(x)在定义域上单调递增C.f(x)的最小正周期为πD.f(x)的所有对称中心为(,0)5.若,则向量与的夹角为( )A.B.C.D.6.已知a>0,b>0满足a+b=1,则的最小值为( )A.12 B.16 C.20 D.257.已知某个几何体的三视图如下,根据图中标出的尺寸,那么可得这个几何体最长的棱长是( )A.2 B. C.2D.28.某程序框图如图所示,若输出的S=57,则判断框内为( )A.k>4?B.k>5?C.k>6?D.k>7?9.f(x)=x3﹣x2+ax﹣1己知曲线存在两条斜率为3的切线,且切点的横坐标都大于零,则实数a 的取值范围为( )A.(3,+∞)B.(3,)C.(﹣∞,] D.(0,3)10.已知抛物线与双曲线有共同的焦点F,O为坐标原点,P在x轴上方且在双曲线上,则的最小值为( )A.B.C.D.二.填空题.11.由命题“存在x∈R,使x2+2x+m≤0”是假命题,则实数m的取值范围为.12.已知等比数列{an}的各项均为正数,a3=4,a6=,则a4+a5=.13.若a>1,设函数f(x)=ax+x﹣4的零点为m,g(x)=logax+x﹣4的零点为n,则+的最小值为.14.已知在平面直角坐标系中,点A(2,0),B(0,1)到直线l的距离分别为1和2,则这样的直线l共有条.三、解答题.15.已知定义域为R的函数f(x)=是奇函数.(Ⅰ)求b的值;(Ⅱ)判断函数f(x)的单调性;(Ⅲ)若对任意的t∈R,不等式f(t2﹣2t)+f(2t2﹣k)<0恒成立,求k的取值范围.16.已知数列{an}的首项为a(a≠0),前n项和为Sn,且有Sn+1=tSn+a(t≠0),bn=Sn+1.(Ⅰ)求数列{an}的通项公式;(Ⅱ)当t=1,a=2时,若对任意n∈N*,都有k(++…+)≤bn,求k的取值范围;(Ⅲ)当t≠1时,若cn=2+b1+b2+…+bn,求能够使数列{cn}为等比数列的所有数对(a,t).17.已知函数.(1)求f(x)的最小正周期;(2)若将f(x)的图象向右平移个单位,得到函数g(x)的图象,求函数g(x)在区间上的最大值和最小值,并求出相应的x的值.【KS5U】新课标高三数学寒假作业41.B【考点】并集及其运算.【专题】计算题.【分析】把集合A的所有元素和集合B的所有元素合并到一起,得到集合A∪B.由此根据集合A={x|﹣1≤x≤2,x∈N},集合B={2,3},能求出A∪B.【解答】解:∵集合A={x|﹣1≤x≤2,x∈N}={0,1,2},集合B={2,3},∴A∪B={0,1,2,3}.故选B.【点评】本题考查集合的并集的定义及其运算,解题时要认真审题,仔细解答,注意并集中相同的元素只写一个.2.B【考点】函数的图象.【专题】函数的性质及应用.【分析】利用0<a<1,判断ax,x>0时的范围,以及x<0时的范围,然后求解ax﹣1的范围,倒数的范围,即可判断函数的图象.【解答】解:因为0<a<1,x>0时,0<ax<1,﹣1<ax﹣1<0,<﹣1,x<0时,ax>1,ax﹣1>0,>0,观察函数的图象可知:B满足题意.故选:B.【点评】本题考查指数函数的图象,解题时要认真审题,仔细解答,注意合理地进行等价转化,注意函数的值域以及指数函数的性质.3.C【考点】数列的求和.【分析】先求出分段函数f(n)的解析式,进一步给出数列的通项公式,再使用分组求和法,求解.【解答】解:∵f(n)=n2cos(nπ)==(﹣1)n•n2,且an=f(n),∴a1+a2+a3+…+a100=22﹣12+42﹣32+62﹣52+…+1002﹣992=1+2+3+4+5+6+…+99+100==5050.故选C.【点评】本小题是一道分段数列的求和问题,综合三角知识,主要考查分析问题和解决问题的能力.4.D【考点】正切函数的周期性;正切函数的奇偶性与对称性.【专题】计算题;数形结合;三角函数的图像与性质.【分析】求出函数的周期,判断A、C的正误;正切函数的单调性判断B的正误;求出对称中心判断D的正误;【解答】解:x=﹣时,函数没有意义,A不正确;正切函数在定义域上不是单调函数,B不正确;函数f(x)=tan2x的周期为:,所以C不正确;(,0)是函数的对称中心,所以D正确.故选:D.【点评】本题考查正弦函数的简单性质的应用,考查计算能力.5.B【考点】数量积表示两个向量的夹角;向量的模.【专题】平面向量及应用.【分析】将已知式子平方可得=0,代入向量的夹角公式可得其余弦值,结合夹角的范围可得答案.【解答】解:∵,∴,两边平方可得=,化简可得=0,设向量与的夹角为θ则可得cosθ====,又θ∈[0,π],故θ=故选B.【点评】本题考查数量积与向量的夹角,涉及向量的模长公式,属中档题.6.B【考点】基本不等式.【专题】计算题;转化思想;不等式的解法及应用.【分析】通过“1”的代换,化简所求表达式,利用基本不等式求出它的最小值.【解答】解:∵a>0,b>0,且满足a+b=1,则==10+≥10+2=16,当且仅当,即a=,时,等号成立.故的最小值为16,故选:B.【点评】本题主要考查基本不等式的应用,注意基本不等式的使用条件,并注意检验等号成立的条件,式子的变形是解题的关键,属于基础题.7.C【考点】由三视图求面积、体积.【专题】对应思想;数形结合法;空间位置关系与距离.【分析】根据几何体的三视图,得出该几何体是底面是等腰三角形,且侧面垂直于底面的三棱锥,画出图形,结合图形即可求出该三棱锥中最长棱是多少.【解答】解:根据几何体的三视图,得;该几何体为底面是等腰三角形,且侧面垂直于底面的三棱锥,如图所示;且三棱锥的高为SD=2,底面三角形边长BC=2,高AD=2;∴该三棱锥的最长棱是SA===2.故选:C.【点评】本题考查了空间几何体三视图的应用问题,解题的关键是根据三视图得出几何体的结构特征,是基础题目.8.A【考点】程序框图.【专题】算法和程序框图.【分析】分析程序中各变量、各语句的作用,再根据流程图所示的顺序,可知:该程序的作用是累加并输入S的值,条件框内的语句是决定是否结束循环,模拟执行程序即可得到答案.【解答】解:程序在运行过程中各变量值变化如下表:K S 是否继续循环循环前 1 1/第一圈 2 4 是第二圈 3 11 是第三圈 4 26 是第四圈 5 57 否故退出循环的条件应为k>4故答案选A.【点评】算法是新课程中的新增加的内容,也必然是新高考中的一个热点,应高度重视.程序填空也是重要的考试题型,这种题考试的重点有:①分支的条件②循环的条件③变量的赋值④变量的输出.其中前两点考试的概率更大.此种题型的易忽略点是:不能准确理解流程图的含义而导致错误.9.B【考点】利用导数研究曲线上某点切线方程.【专题】转化思想;转化法;导数的概念及应用.【分析】求得f(x)的导数,由题意可得2x2﹣2x+a﹣3=0有两个不等的正根,运用判别式大于0,两根之和大于0,两根之积大于0,解不等式即可得到a的范围.【解答】解:f(x)=x3﹣x2+ax﹣1的导数为f′(x)=2x2﹣2x+a,由题意可得2x2﹣2x+a=3,即2x2﹣2x+a﹣3=0有两个不等的正根,则△=4﹣8(a﹣3)>0,x1+x2=1>0,x1x2=(a﹣3)>0,解得3<a<.故选B.【点评】本题考查导数的几何意义,考查二次方程实根的分布,以及韦达定理的运用,考查运算能力,属于中档题.10.A【考点】双曲线的简单性质.【专题】计算题;圆锥曲线的定义、性质与方程.【分析】抛物线,可得x2=8y,焦点F为(0,2),则双曲线的c=2,可得双曲线方程,利用向量的数量积公式,结合配方法,即可求出的最小值.【解答】解:抛物线,可得x2=8y,焦点F为(0,2),则双曲线的c=2,则a2=3,即双曲线方程为,设P(m,n)(n≥),则n2﹣3m2=3,∴m2=n2﹣1,则=(m,n)•(m,n﹣2)=m2+n2﹣2n=n2﹣1+n2﹣2n=(n﹣)2﹣,因为n≥,故当n=时取得最小值,最小值为3﹣2,故选:A.【点评】本题考查抛物线、双曲线的方程与性质,考查向量的数量积公式,考查学生的计算能力,属于中档题.11.(1,+∞)【考点】特称命题.【专题】计算题.【分析】原命题为假命题,则其否命题为真命题,得出∀x∈R,都有x2+2x+m>0,再由△<0,求得m.【解答】解:∵“存在x∈R,使x2+2x+m≤0”,∴其否命题为真命题,即是说“∀x∈R,都有x2+2x+m>0”,∴△=4﹣4m<0,解得m>1.∴m的取值范围为(1,+∞).故答案为:(1,+∞)【点评】本题考查了存在命题的否定,不等式恒成立问题.考查转化、计算能力.12.3【考点】等比数列的通项公式.【专题】等差数列与等比数列.【分析】由已知条件利用等比数列通项公式求出,由此能求出a4+a5.【解答】解:∵等比数列{an}的各项均为正数,a3=4,a6=,∴,解得,∴a4+a5=16×[]=3.故答案为:3.【点评】本题考查等比数列的两项和的求法,是基础题,解题时要注意等比数列的性质的合理运用.13.1【考点】函数零点的判定定理;基本不等式.【专题】函数的性质及应用.【分析】构建函数F(x)=ax,G(x)=logax,h(x)=4﹣x,则h(x)与F(x),G(x)的交点A,B的横坐标分别为m、n,注意到F(x)=ax,G(x)=logax,关于直线y=x对称,可得m+n=4,再用“1”的代换,利用基本不等式,即可得出结论.【解答】解:由题意,构建函数F(x)=ax,G(x)=logax,h(x)=4﹣x,则h(x)与F(x),G(x)的交点A,B的横坐标分别为m、n.注意到F(x)=ax,G(x)=logax,关于直线y=x对称,可以知道A,B关于y=x对称,由于y=x与y=4﹣x交点的横坐标为2,∴m+n=4.则+=(+)(m+n)=(2++)≥(2+2)=1,当且仅当m=n=2时,等号成立,故+的最小值为1,故答案为:1.【点评】本题考查函数的零点,考查基本不等式的运用,考查学生分析转化问题的能力,求出m+n=4,正确运用基本不等式是关键,属于基础题.14.3【考点】直线的截距式方程.【专题】数形结合;综合法;直线与圆.【分析】由于AB=2+1,故满足条件的且和线段AB有交点的直线存在,故满足条件的直线有三条,另外两条直线位于线段AB的两侧.【解答】解:∵AB==3=2+1,故存在和线段AB有交点的直线.故满足条件的直线有三条,如图:故答案为:3.【点评】本题考查点到直线的距离,两直线的位置关系,体现了数形结合的数学思想.15.【考点】函数恒成立问题;函数奇偶性的性质;二次函数的性质;利用导数研究函数的单调性.【专题】计算题.【分析】(Ⅰ)利用奇函数定义f(x)=﹣f(x)中的特殊值f(0)=0求b的值;(Ⅱ)设x1<x2然后确定f(x1)﹣f(x2)的符号,根据单调函数的定义得到函数f(x)的单调性;(III)结合单调性和奇函数的性质把不等式f(t2﹣2t)+f(2t2﹣k)<0转化为关于t的一元二次不等式,最后由一元二次不等式知识求出k的取值范围.【解答】解:(Ⅰ)因为f(x)是奇函数,所以f(0)=0,即⇒b=1,∴.(Ⅱ)由(Ⅰ)知,设x1<x2则f(x1)﹣f(x2)=﹣=因为函数y=2x在R上是增函数且x1<x2∴f(x1)﹣f(x2)=>0即f(x1)>f(x2)∴f(x)在(﹣∞,+∞)上为减函数(III)f(x)在(﹣∞,+∞)上为减函数,又因为f(x)是奇函数,所以f(t2﹣2t)+f(2t2﹣k)<0等价于f(t2﹣2t)<﹣f(2t2﹣k)=f(k﹣2t2),因为f(x)为减函数,由上式可得:t2﹣2t>k﹣2t2.即对一切t∈R有:3t2﹣2t﹣k>0,从而判别式.所以k的取值范围是k<﹣.【点评】本题主要考查函数奇偶性与单调性的综合应用;同时考查一元二次不等式恒成立问题的解决策略,是一道综合题.16.【考点】等比数列的性质.【专题】等差数列与等比数列.【分析】(Ⅰ)根据条件和“n=1时a1=S1、当n≥2时an=Sn﹣Sn﹣1”,化简Sn+1=tSn+a(t≠0),再由等比数列的定义判断出数列{an}是等比数列,利用等比数列的通项公式求出an;(Ⅱ)由条件和(I)求出bn,代入化简利用裂项相消法求出,代入已知的不等式化简后,利用函数的单调性求出对应函数的最小值,从而求出k的取值范围;(Ⅲ)利用条件和等比数列的前n项和公式求出Sn,代入bn化简后,利用分组求和法和等比数列的前n项和公式求出cn,化简后利用等比数列的通项公式特点列出方程组,求出方程组的解即可求出结论.【解答】解:(Ⅰ)解:(Ⅰ)由题意知,首项为a,且Sn+1=tSn+a(t≠0),当n=1时,则S2=tS1+a,解得a2=at,当n≥2时,Sn=tSn﹣1+a,∴(Sn+1﹣Sn)=t(Sn﹣Sn﹣1),则an+1=tan,又a1=a≠0,综上有,即{an}是首项为a,公比为t的等比数列,∴;(Ⅱ)由(Ⅰ)得,=2,则Sn=2n,∴bn=Sn+1=2n+1,则==,∴=[()+()+] =()=,代入不等式k(++…+)≤bn,化简得,k≤=3(4n+),∵函数y=在(,+∞)上单调递增,且n取正整数,∴当n=1时,函数y=取到最小值是15,∴k≤45;(Ⅲ)∵t≠1,∴Sn=,则bn=Sn+1=1+=1+﹣,∴cn=2+b1+b2+…+bn=2+(1+)n﹣(t+t2+…+tn)=2+(1+)n﹣×=++,由题设知{cn}为等比数列,所以有,解得,即满足条件的数对是(1,2).【点评】本题考查了等比数列的定义、通项公式、前n项和公式,数列的求和方法:裂项相消法、分组求和法,以及“n=1时a1=S1、当n≥2时an=Sn﹣Sn﹣1”关系式的应用,综合性强.属于难题.17.【考点】函数y=Asin(ωx+φ)的图象变换;三角函数中的恒等变换应用.【专题】三角函数的图像与性质.【分析】(1)利用三角函数的倍角公式和诱导公式化简函数f(x),然后直接由周期公式求周期;(2)通过函数的图象的平移求解函数g(x)的解析式为g(x)=,由x的范围求出的范围,从而求得函数g(x)的最值,并得到相应的x的值.【解答】解:(1)由,得==.∴f(x)的最小正周期为π;(2)∵将f(x)的图象向右平移个单位,得到函数g(x)的图象,∴=.∵x∈[0,)时,,∴当,即时,g(x)取得最大值2;当,即x=0时,g(x)取得最小值.【点评】本题考查了三角函数的倍角公式及诱导公式,考查了三角函数的图象平移,训练了三角函数的最值得求法,是中档题.高考模拟题复习试卷习题资料高考数学试卷(理科)(附详细答案)(12)一、选择题(每小题5分,共50分)1.(5分)已知i是虚数单位,a,b∈R,则“a=b=1”是“(a+bi)2=2i”的()A.充分不必要条件B.必要不充分条件C.充分必要条件D.既不充分也不必要条件2.(5分)设全集U={x∈N|x≥2},集合A={x∈N|x2≥5},则∁UA=()A.∅B.{2}C.{5}D.{2,5}3.(5分)某几何体的三视图(单位:cm)如图所示,则此几何体的表面积是()A.90cm2B.129cm2C.132cm2D.138cm24.(5分)为了得到函数y=sin3x+cos3x的图象,可以将函数y=cos3x的图象()A.向右平移个单位B.向左平移个单位C.向右平移个单位D.向左平移个单位5.(5分)在(1+x)6(1+y)4的展开式中,记xmyn项的系数为f(m,n),则f(3,0)+f(2,1)+f(1,2)+f(0,3)=()A.45B.60C.120D.2106.(5分)已知函数f(x)=x3+ax2+bx+c.且0<f(﹣1)=f(﹣2)=f(﹣3)≤3,则()A.c≤3B.3<c≤6C.6<c≤9D.c>97.(5分)在同一直角坐标系中,函数f(x)=xa(x>0),g(x)=logax的图象可能是()A. B. C. D.8.(5分)记max{x,y}=,min{x,y}=,设,为平面向量,则()A.min{|+|,|﹣|}≤min{||,||}B.min{|+|,|﹣|}≥min{||,||}C.max{|+|2,|﹣|2}≤||2+||2D.max{|+|2,|﹣|2}≥||2+||29.(5分)已知甲盒中仅有1个球且为红球,乙盒中有m个红球和n个蓝球(m≥3,n≥3),从乙盒中随机抽取i(i=1,2)个球放入甲盒中.(a)放入i个球后,甲盒中含有红球的个数记为ξi(i=1,2);(b)放入i个球后,从甲盒中取1个球是红球的概率记为pi(i=1,2).则()A.p1>p2,E(ξ1)<E(ξ2)B.p1<p2,E(ξ1)>E(ξ2)C.p1>p2,E(ξ1)>E(ξ2)D.p1<p2,E(ξ1)<E(ξ2)10.(5分)设函数f1(x)=x2,f2(x)=2(x﹣x2),,,i=0,1,2,…,99.记Ik=|fk(a1)﹣fk(a0)|+|fk(a2)﹣fk(a1)丨+…+|fk(a99)﹣fk (a98)|,k=1,2,3,则()A.I1<I2<I3B.I2<I1<I3C.I1<I3<I2D.I3<I2<I1二、填空题11.(4分)在某程序框图如图所示,当输入50时,则该程序运算后输出的结果是.12.(4分)随机变量ξ的取值为0,1,2,若P(ξ=0)=,E(ξ)=1,则D(ξ)=.13.(4分)当实数x,y满足时,1≤ax+y≤4恒成立,则实数a的取值范围是.14.(4分)在8张奖券中有一、二、三等奖各1张,其余5张无奖.将这8张奖券分配给4个人,每人2张,不同的获奖情况有种(用数字作答).15.(4分)设函数f(x)=,若f(f(a))≤2,则实数a的取值范围是.16.(4分)设直线x﹣3y+m=0(m≠0)与双曲线=1(a>0,b>0)的两条渐近线分别交于点A,B.若点P(m,0)满足|PA|=|PB|,则该双曲线的离心率是.17.(4分)如图,某人在垂直于水平地面ABC的墙面前的点A处进行射击训练.已知点A 到墙面的距离为AB,某目标点P沿墙面上的射线CM移动,此人为了准确瞄准目标点P,需计算由点A观察点P的仰角θ的大小.若AB=15m,AC=25m,∠BCM=30°,则tanθ的最大值是.(仰角θ为直线AP与平面ABC所成角)三、解答题18.(14分)在△ABC中,内角A,B,C所对的边分别为a,b,c.已知a≠b,c=,cos2A ﹣cos2B=sinAcosA﹣sinBcosB(1)求角C的大小;(2)若sinA=,求△ABC的面积.19.(14分)已知数列{an}和{bn}满足a1a2a3…an=(n∈N*).若{an}为等比数列,且a1=2,b3=6+b2.(Ⅰ)求an和bn;(Ⅱ)设cn=(n∈N*).记数列{cn}的前n项和为Sn.(i)求Sn;(ii)求正整数k,使得对任意n∈N*均有Sk≥Sn.20.(15分)如图,在四棱锥A﹣BCDE中,平面ABC⊥平面BCDE,∠CDE=∠BED=90°,AB=CD=2,DE=BE=1,AC=.(Ⅰ)证明:DE⊥平面ACD;(Ⅱ)求二面角B﹣AD﹣E的大小.21.(15分)如图,设椭圆C:(a>b>0),动直线l与椭圆C只有一个公共点P,且点P在第一象限.(Ⅰ)已知直线l的斜率为k,用a,b,k表示点P的坐标;(Ⅱ)若过原点O的直线l1与l垂直,证明:点P到直线l1的距离的最大值为a﹣b.22.(14分)已知函数f(x)=x3+3|x﹣a|(a∈R).(Ⅰ)若f(x)在[﹣1,1]上的最大值和最小值分别记为M(a),m(a),求M(a)﹣m(a);(Ⅱ)设b∈R,若[f(x)+b]2≤4对x∈[﹣1,1]恒成立,求3a+b的取值范围.高考模拟题复习试卷习题资料高考数学试卷(理科)(附详细答案)(12)参考答案与试题解析一、选择题(每小题5分,共50分)1.(5分)已知i是虚数单位,a,b∈R,则“a=b=1”是“(a+bi)2=2i”的()A.充分不必要条件B.必要不充分条件C.充分必要条件D.既不充分也不必要条件【分析】利用复数的运算性质,分别判断“a=b=1”⇒“(a+bi)2=2i”与“a=b=1”⇐“(a+bi)2=2i”的真假,进而根据充要条件的定义得到结论.【解答】解:当“a=b=1”时,“(a+bi)2=(1+i)2=2i”成立,故“a=b=1”是“(a+bi)2=2i”的充分条件;当“(a+bi)2=a2﹣b2+2abi=2i”时,“a=b=1”或“a=b=﹣1”,故“a=b=1”是“(a+bi)2=2i”的不必要条件;综上所述,“a=b=1”是“(a+bi)2=2i”的充分不必要条件;故选:A.【点评】本题考查的知识点是充要条件的定义,复数的运算,难度不大,属于基础题.2.(5分)设全集U={x∈N|x≥2},集合A={x∈N|x2≥5},则∁UA=()A.∅B.{2}C.{5}D.{2,5}【分析】先化简集合A,结合全集,求得∁UA.【解答】解:∵全集U={x∈N|x≥2},集合A={x∈N|x2≥5}={x∈N|x≥3},则∁UA={2},故选:B.【点评】本题主要考查全集、补集的定义,求集合的补集,属于基础题.3.(5分)某几何体的三视图(单位:cm)如图所示,则此几何体的表面积是()A.90cm2B.129cm2C.132cm2D.138cm2【分析】几何体是直三棱柱与直四棱柱的组合体,根据三视图判断直三棱柱的侧棱长与底面的形状及相关几何量的数据,判断四棱柱的高与底面矩形的边长,把数据代入表面积公式计算.【解答】解:由三视图知:几何体是直三棱柱与直四棱柱的组合体,其中直三棱柱的侧棱长为3,底面是直角边长分别为3、4的直角三角形,四棱柱的高为6,底面为矩形,矩形的两相邻边长为3和4,∴几何体的表面积S=2×4×6+3×6+3×3+2×3×4+2××3×4+(4+5)×3=48+18+9+24+12+27=138(cm2).故选:D.【点评】本题考查了由三视图求几何体的表面积,根据三视图判断几何体的形状及数据所对应的几何量是解题的关键.4.(5分)为了得到函数y=sin3x+cos3x的图象,可以将函数y=cos3x的图象()A.向右平移个单位B.向左平移个单位C.向右平移个单位D.向左平移个单位【分析】利用两角和与差的三角函数化简已知函数为一个角的一个三角函数的形式,然后利用平移原则判断选项即可.【解答】解:函数y=sin3x+cos3x=,故只需将函数y=cos3x的图象向右平移个单位,得到y==的图象.故选:C.【点评】本题考查两角和与差的三角函数以及三角函数的平移变换的应用,基本知识的考查.5.(5分)在(1+x)6(1+y)4的展开式中,记xmyn项的系数为f(m,n),则f(3,0)+f(2,1)+f(1,2)+f(0,3)=()A.45B.60C.120D.210【分析】由题意依次求出x3y0,x2y1,x1y2,x0y3,项的系数,求和即可.【解答】解:(1+x)6(1+y)4的展开式中,含x3y0的系数是:=20.f(3,0)=20;含x2y1的系数是=60,f(2,1)=60;含x1y2的系数是=36,f(1,2)=36;含x0y3的系数是=4,f(0,3)=4;∴f(3,0)+f(2,1)+f(1,2)+f(0,3)=120.故选:C.【点评】本题考查二项式定理系数的性质,二项式定理的应用,考查计算能力.6.(5分)已知函数f(x)=x3+ax2+bx+c.且0<f(﹣1)=f(﹣2)=f(﹣3)≤3,则()A.c≤3B.3<c≤6C.6<c≤9D.c>9【分析】由f(﹣1)=f(﹣2)=f(﹣3)列出方程组求出a,b,代入0<f(﹣1)≤3,即可求出c的范围.【解答】解:由f(﹣1)=f(﹣2)=f(﹣3)得,解得,则f(x)=x3+6x2+11x+c,由0<f(﹣1)≤3,得0<﹣1+6﹣11+c≤3,即6<c≤9,故选:C.【点评】本题考查方程组的解法及不等式的解法,属于基础题.7.(5分)在同一直角坐标系中,函数f(x)=xa(x>0),g(x)=logax的图象可能是()A. B. C. D.【分析】结合对数函数和幂函数的图象和性质,分当0<a<1时和当a>1时两种情况,讨论函数f(x)=xa(x≥0),g(x)=logax的图象,比照后可得答案.【解答】解:当0<a<1时,函数f(x)=xa(x≥0),g(x)=logax的图象为:此时答案D满足要求,当a>1时,函数f(x)=xa(x≥0),g(x)=logax的图象为:无满足要求的答案,综上:故选D,故选:D.【点评】本题考查的知识点是函数的图象,熟练掌握对数函数和幂函数的图象和性质,是解答的关键.8.(5分)记max{x,y}=,min{x,y}=,设,为平面向量,则()A.min{|+|,|﹣|}≤min{||,||}B.min{|+|,|﹣|}≥min{||,||}C.max{|+|2,|﹣|2}≤||2+||2D.max{|+|2,|﹣|2}≥||2+||2【分析】将,平移到同一起点,根据向量加减法的几何意义可知,+和﹣分别表示以,为邻边所做平行四边形的两条对角线,再根据选项内容逐一判断.【解答】解:对于选项A,取⊥,则由图形可知,根据勾股定理,结论不成立;对于选项B,取,是非零的相等向量,则不等式左边min{|+|,|﹣|}=0,显然,不等式不成立;对于选项C,取,是非零的相等向量,则不等式左边max{|+|2,|﹣|2}=|+|2=4,而不等式右边=||2+||2=2,故C不成立,D选项正确.故选:D.【点评】本题在处理时要结合着向量加减法的几何意义,将,,,放在同一个平行四边形中进行比较判断,在具体解题时,本题采用了排除法,对错误选项进行举反例说明,这是高考中做选择题的常用方法,也不失为一种快速有效的方法,在高考选择题的处理上,未必每一题都要写出具体解答步骤,针对选择题的特点,有时“排除法”,“确定法”,“特殊值”代入法等也许是一种更快速,更有效的方法.9.(5分)已知甲盒中仅有1个球且为红球,乙盒中有m个红球和n个蓝球(m≥3,n≥3),从乙盒中随机抽取i(i=1,2)个球放入甲盒中.(a)放入i个球后,甲盒中含有红球的个数记为ξi(i=1,2);(b)放入i个球后,从甲盒中取1个球是红球的概率记为pi(i=1,2).则()A.p1>p2,E(ξ1)<E(ξ2)B.p1<p2,E(ξ1)>E(ξ2)C.p1>p2,E(ξ1)>E(ξ2)D.p1<p2,E(ξ1)<E(ξ2)【分析】首先,这两次先后从甲盒和乙盒中拿球是相互独立的,然后分两种情况:即当ξ=1时,有可能从乙盒中拿出一个红球放入甲盒,也可能是拿到一个蓝球放入甲盒;ξ=2时,则从乙盒中拿出放入甲盒的球可能是两蓝球、一红一蓝、或者两红;最后利用概率公式及分布列知识求出P1,P2和E(ξ1),E(ξ2)进行比较即可.【解答】解析:,,,所以P1>P2;由已知ξ1的取值为1、2,ξ2的取值为1、2、3,所以,==,E(ξ1)﹣E(ξ2)=.故选:A.【点评】正确理解ξi(i=1,2)的含义是解决本题的关键.此题也可以采用特殊值法,不妨令m=n=3,也可以很快求解.10.(5分)设函数f1(x)=x2,f2(x)=2(x﹣x2),,,i=0,1,2,…,99.记Ik=|fk(a1)﹣fk(a0)|+|fk(a2)﹣fk(a1)丨+…+|fk(a99)﹣fk (a98)|,k=1,2,3,则()A.I1<I2<I3B.I2<I1<I3C.I1<I3<I2D.I3<I2<I1【分析】根据记Ik=|fk(a1)﹣fk(a0)|+|fk(a2)﹣fk(a1)丨+…+|fk(a99)﹣fk (a98)|,分别求出I1,I2,I3与1的关系,继而得到答案【解答】解:由,故==1,由,故×=×<1,+=,故I2<I1<I3,故选:B.【点评】本题主要考查了函数的性质,关键是求出这三个数与1的关系,属于难题.二、填空题11.(4分)在某程序框图如图所示,当输入50时,则该程序运算后输出的结果是 6 .【分析】根据框图的流程模拟运行程序,直到满足条件S>50,跳出循环体,确定输出的i 的值.【解答】解:由程序框图知:第一次循环S=1,i=2;第二次循环S=2×1+2=4,i=3;第三次循环S=2×4+3=11,i=4;第四次循环S=2×11+4=26,i=5;第五次循环S=2×26+5=57,i=6,满足条件S>50,跳出循环体,输出i=6.故答案为:6.【点评】本题考查了直到型循环结构的程序框图,根据框图的流程模拟运行程序是解答此类问题的常用方法.12.(4分)随机变量ξ的取值为0,1,2,若P(ξ=0)=,E(ξ)=1,则D(ξ)=.【分析】结合方差的计算公式可知,应先求出P(ξ=1),P(ξ=2),根据已知条件结合分布列的性质和期望的计算公式不难求得.【解答】解析:设P(ξ=1)=p,P(ξ=2)=q,则由已知得p+q=,,解得,,所以.故答案为:【点评】本题综合考查了分布列的性质以及期望、方差的计算公式.13.(4分)当实数x,y满足时,1≤ax+y≤4恒成立,则实数a的取值范围是[].【分析】由约束条件作出可行域,再由1≤ax+y≤4恒成立,结合可行域内特殊点A,B,C的坐标满足不等式列不等式组,求解不等式组得实数a的取值范围.【解答】解:由约束条件作可行域如图,联立,解得C(1,).联立,解得B(2,1).在x﹣y﹣1=0中取y=0得A(1,0).要使1≤ax+y≤4恒成立,则,解得:1.∴实数a的取值范围是.解法二:令z=ax+y,当a>0时,y=﹣ax+z,在B点取得最大值,A点取得最小值,可得,即1≤a≤;当a<0时,y=﹣ax+z,在C点取得最大值,①a<﹣1时,在B点取得最小值,可得,解得0≤a≤(不符合条件,舍去)②﹣1<a<0时,在A点取得最小值,可得,解得1≤a≤(不符合条件,舍去)综上所述即:1≤a≤;故答案为:.【点评】本题考查线性规划,考查了数形结合的解题思想方法,考查了数学转化思想方法,训练了不等式组得解法,是中档题.14.(4分)在8张奖券中有一、二、三等奖各1张,其余5张无奖.将这8张奖券分配给4个人,每人2张,不同的获奖情况有 60 种(用数字作答).【分析】分类讨论,一、二、三等奖,三个人获得;一、二、三等奖,有1人获得2张,1人获得1张.【解答】解:分类讨论,一、二、三等奖,三个人获得,共有=24种;一、二、三等奖,有1人获得2张,1人获得1张,共有=36种,共有24+36=60种.故答案为:60.【点评】本题考查排列、组合及简单计数问题,考查学生的计算能力,属于基础题.15.(4分)设函数f(x)=,若f(f(a))≤2,则实数a的取值范围是(﹣∞,].【分析】画出函数f(x)的图象,由 f(f(a))≤2,可得 f(a)≥﹣2,数形结合求得实数a的取值范围.【解答】解:∵函数f(x)=,它的图象如图所示:由 f(f(a))≤2,可得 f(a)≥﹣2.当a<0时,f(a)=a2+a=(a+)2﹣≥﹣2恒成立;当a≥0时,f(a)=﹣a2≥﹣2,即a2≤2,解得0≤a≤,则实数a的取值范围是a≤,故答案为:(﹣∞,].【点评】本题主要考查分段函数的应用,其它不等式的解法,体现了数形结合的数学思想,属于中档题.16.(4分)设直线x﹣3y+m=0(m≠0)与双曲线=1(a>0,b>0)的两条渐近线分别交于点A,B.若点P(m,0)满足|PA|=|PB|,则该双曲线的离心率是.【分析】先求出A,B的坐标,可得AB中点坐标为(,),利用点P (m,0)满足|PA|=|PB|,可得=﹣3,从而可求双曲线的离心率.【解答】解:双曲线(a>0,b>0)的两条渐近线方程为y=±x,则与直线x﹣3y+m=0联立,可得A(,),B(﹣,),∴AB中点坐标为(,),∵点P(m,0)满足|PA|=|PB|,∴=﹣3,∴a=2b,∴=b,∴e==.故答案为:.【点评】本题考查双曲线的离心率,考查直线的位置关系,考查学生的计算能力,属于中档题.17.(4分)如图,某人在垂直于水平地面ABC的墙面前的点A处进行射击训练.已知点A 到墙面的距离为AB,某目标点P沿墙面上的射线CM移动,此人为了准确瞄准目标点P,需计算由点A观察点P的仰角θ的大小.若AB=15m,AC=25m,∠BCM=30°,则tanθ的最大值是.(仰角θ为直线AP与平面ABC所成角)【分析】过P作PP′⊥BC,交BC于P′,连接AP′,则tanθ=,求出PP′,AP′,利用函数的性质,分类讨论,即可得出结论.【解答】解:∵AB=15m,AC=25m,∠ABC=90°,∴BC=20m,过P作PP′⊥BC,交BC于P′,连接AP′,则tanθ=,设BP′=x,则CP′=20﹣x,由∠BCM=30°,得PP′=CP′tan30°=(20﹣x),在直角△ABP′中,AP′=,∴tanθ=•,令y=,则函数在x∈[0,20]单调递减,∴x=0时,取得最大值为=.若P′在CB的延长线上,PP′=CP′tan30°=(20+x),在直角△ABP′中,AP′=,∴tanθ=•,令y=,则y′=0可得x=时,函数取得最大值,故答案为:.【点评】本题考查利用数学知识解决实际问题,考查函数的单调性,考查学生分析解决问题的能力,属于中档题.三、解答题18.(14分)在△ABC中,内角A,B,C所对的边分别为a,b,c.已知a≠b,c=,cos2A ﹣cos2B=sinAcosA﹣sinBcosB(1)求角C的大小;(2)若sinA=,求△ABC的面积.【分析】(1)利用倍角公式、两角和差的正弦公式可得,由a≠b得,A≠B,又A+B∈(0,π),可得,即可得出.(2)利用正弦定理可得a,利用两角和差的正弦公式可得sinB,再利用三角形的面积计算公式即可得出.【解答】解:(1)由题意得,,∴,化为,由a≠b得,A≠B,又A+B∈(0,π),得,即,∴;(2)由,利用正弦定理可得,得,由a<c,得A<C,从而,故,∴.【点评】本题考查了正弦定理、倍角公式、两角和差的正弦公式、三角形的面积计算公式,考查了推理能力与计算能力,属于中档题.19.(14分)已知数列{an}和{bn}满足a1a2a3…an=(n∈N*).若{an}为等比数列,且a1=2,b3=6+b2.(Ⅰ)求an和bn;(Ⅱ)设cn=(n∈N*).记数列{cn}的前n项和为Sn.(i)求Sn;(ii)求正整数k,使得对任意n∈N*均有Sk≥Sn.【分析】(Ⅰ)先利用前n项积与前(n﹣1)项积的关系,得到等比数列{an}的第三项的值,结合首项的值,求出通项an,然后现利用条件求出通项bn;。
苏教版高中数学必修二高一年级寒假作业(四).docx
鑫达捷2014-2015学年度高一年级数学寒假作业(四)高一数学 2015.2编制人:蒋云涛 审核:备课组一、填空题:本大题共14个小题,每小题5分,共计70分,请把答案直接填写在答题卡相应的位.......置.上。
1. 设全集U ={x x 是不大于9的正整数},A = {1,2,3 }, B ={3,4,5,6}则图中阴影部分所表示的集合为 ▲ . 2. 函数lg(1)2y x x =-+-的定义域为 ▲ .3. 已知集合232{1,12,},{3,1,1}.{0,3}A x x x B x x A B =----=-++=-I ,则实数x 的值为▲ .4. 已知等腰三角形ABC 的腰长为底边长的两倍,则顶角A 的正弦的值为 ▲ ..5. 设0.730.73,0.7,log 3a b c ===,则,,a b c 的大小关系为 ▲ .6. 化简:ααααcos 1cos ·2cos 12sin ++= ▲ .. 7. 设1()(3)()2(1)(3)x x f x f x x ⎧≥⎪=⎨⎪+<⎩,则2(log 3)f = ▲ . 8. 已知2弧度的圆心角所对的弦长为2米,那么这个圆心角所对的弧的弧长为 ▲ .9.、与向量)5,12(=d 平行的单位向量为 ▲ ;10. 定义在(,)-∞+∞上的函数()y f x =在(,2)-∞上为增函数,且函数(2)y f x =+为偶函数,则()()⎪⎭⎫ ⎝⎛-215,4,1f f f 从大到小的顺序为 ▲ .11. 函数()(01)x f x a a a =>≠且在区间[]1,2上的最大值比最小值大2a ,则a 的值为 ▲ . 12. 若向量j i ,为相互垂直的单位向量,j i a 2-=,j m ib +=,且a 与b 的夹角为锐角,则实数m的取值范围为 ▲ ;13. 已知ααααsin cos 1cos 1sin -=+是一个恒等式。
- 1、下载文档前请自行甄别文档内容的完整性,平台不提供额外的编辑、内容补充、找答案等附加服务。
- 2、"仅部分预览"的文档,不可在线预览部分如存在完整性等问题,可反馈申请退款(可完整预览的文档不适用该条件!)。
- 3、如文档侵犯您的权益,请联系客服反馈,我们会尽快为您处理(人工客服工作时间:9:00-18:30)。
(
)
π π 5 ) − sin x ⋅ sin( x + ) + 1 ,有下列结论:①点 (− π ,0) 是函 3 3 12 π 数 f (x ) 图象的一个对称中心;②直线 x = 是函数 f (x ) 图象的一条对称轴;③函数 f (x ) 的 3 π 最小正周期是π;④将函数 f (x ) 的图象向右平移 个单位后,对应的函数是偶函数。其中所 6
3
3
( D. 65
)
13 5
C.
65 5
4 ,一条 y ;②已知双曲线的右焦点为(5,0) 3 x2 y2 渐 近 线 方 程 为 2x − y = 0 , 则 双 曲 线 的 标 准 方 程 是 − =1 ; ③ 抛 物 线 5 20 x2 y2 1 y = ax 2 (a ≠ 0)的准线方程为y = − ;④已知双曲线 + = 1 ,其离心率 e ∈ (1, 2) , 4a 4 m
有正确结论的序号是 。
0
(
) 17.已知 ∆ABC 中, | AC |= 1 , ∠ABC = 120 , ∠BAC = θ , 记 f (θ ) = AB• BC , (1)求 f (θ ) 关于 θ 的表达式; (2)求 f (θ ) 的值域 B 120° A
→ →
ห้องสมุดไป่ตู้
7 7 B. 20 20
C.
1 2
E
B
C
D
19.已知数列 {a n }是首项为a1 = 列 {c n }满足c n = a n ⋅ bn 。
1 1 , 公比q = 的等比数列 ,设 bn + 2 = 3 log 1 a n (n ∈ N *) ,数 4 4 4
(2)求数列 {c n } 的前 n 项和 Sn; 21. 已知椭圆 C 过点 M (1,
3.已知定义在 R 上的奇函数 f ( x ) 在区间 (0, +∞ ) 上单调递增,若 f ( 1 ) = 0 , ∆ABC 的内角 A 满
2
足 f (cos A) ≤ 0 ,则角 A 的取值范围是( A. [ 2π , π )
) D. [ π , 2π ]
B. [ π , π ] C. [ π , π ] U [ 2π , π ) 3 3 2 3 2 3 4.若 a = ( 2,3), b = ( −4,7), 则a在b 方向上的投影为 A. 13 B.
{
}
{
}
π 3 3 , π ), tan(α − 7π ) = − , 则 sin α + cos α 的值为 2 2 4 1 1 1 7 A. ± B. − C. D. − 5 5 5 5 8.已知 Sn 是等比数列 {a n }的前n项和, a5 = −2, a8 = 16, 等S 6 等于 21 21 17 17 A. B.- C. D.- 8 8 8 8 9.已知点 ( x, y ) 构成的平面区域如图所示, z = mx + y (m为常数) 在平面区域内
)
A. a ⊥ b
B. a // b
C. | a |=| b |
D. | a |≠| b |
A.-4 B.-2 C.0 D.2 11.若 f ( x)是R上的增函数, 且f ( −1) = −4, f ( 2) = 2, 设P = {x | f ( x + t ) + 1 < 3}, Q = {x | f ( x ) < −4} ,若“ x ∈ P ”是“ x ∈ Q ”的充分不必要条件,则实数 t 的取值范围 A. t ≤ −1 B. t > −1 C. t ≥ 3 D. t > 3 12.给出下列四个结论:①当 a 为任意实数时,直线 ( a − 1) x − y + 2a + 1 = 0 恒过定点 P,则过点
+ 1 1 < C. log 2 a + log 2 b < −2 D. 2 b a < A. log 2 a > 0 B. 2 2 2 x 则必有 ( 2. a 、 是非零向量, ∈ R, 若函数f ( x) = ( x a + b) ⋅ ( a − xb) 的图象是一条直线, 设 b
3 4 2 x + by + 1 = 0与直线l1平行,a + b 等于
耐心是一切聪明才智的基础
林头中学 2011 级高三数学寒假作业四
(1)求证: {bn } 是等差数列; (3)若 c n ≤
1 2 m + m − 1对 一切正整数 n 恒成立,求实数 m 的取值范围。 4
6 ), F (− 2 ,0) 是椭圆的左焦点,P、Q 是椭圆 C 上的两个动点,且|PF|、 2
|MF|、|QF|成等差数列。 (1)求椭圆 C 的标准方程; (2)求证:线段 PQ 的垂直平分线经过一个定点 A; (3)设点 A 关于原点 O 的对称点是 B,求|PB|的最小值及相应点 P 的坐标。
2011 年 2 月 4 日
星期五 正月初二
班级
姓名
林头中学 2011 级高三数学寒假作业四
1.已知 0 < a < b ,且 a+b=1,则下列不等式中,正确的是(
a −b
)
a b
10.已知直线 l 的倾斜角为 π ,直线 l1 经过点 A(3,2), B ( a,−1), 且l1与l 垂直,直线 l2: ( )
a 6.在同一坐标系内,函数 y = x ( a ≠ 0)和y = ax −
1 的图象可能是 a
)
M − N = {x x ∈ M且x ∉ N }
1 4 + 的最小值是 a b
. , M∆N = (M − N ) ∪ (N − M ) , ________________。
设 M = y y = x 2 , x ∈ R , N = y y = 3 sin x, x ∈ R ,则 M∆N = 16.设函数 f ( x ) = cos x ⋅ cos( x +
D.
7 1 或 20 2
θ
C
耐心是一切聪明才智的基础
林头中学 2011 级高三数学寒假作业四
2011 年 2 月 4 日
星期五 正月初二
班级
姓名
18.如图,已知空间四边形 ABCD 中, BC = AC , AD = BD , E 是 AB 的中点. 求证: (1) AB ⊥ 平面 CDE; (2)平面 CDE ⊥ 平面 ABC . (3)若 G 为 ∆ADC 的重心,试在线段 AE 上确定一点 F,使得 GF∥平面 CDE. A
2 时, y = f ( x) 有极值, 曲线 y = f ( x )在点(1, f (1)) 3 10 . (1)求 a,b,c 的值; 处的切线 l 不过第四象限且斜率为 3,又坐标原点到切线 l 的距离为 10 (2)求 y = f ( x)在[ −4,1] 上的最大值和最小值。
20. 已知函数 f ( x) = x 3 + ax 2 + bx + c, 若x =
2 P 且焦点在 y 轴上的抛物线的标准方程是 x =
5.在△ABC 中,A=60°,AB=2,且△ABC 的面积 S ∆ABC A. 3 B.3 C. 7
3 = ,则边 BC 的长为( 2
D.7 (
)
则 m 的取值范围是(-12,0) 。其中所有正确结论的个数是 ( ) A.1 B.2 C.3 D.4 13.若 a > 0, b > 0, 且4a + b = 1, 则 15.对任意两个集合 M、N,定义: