历年考研数学三真题(2004-2015)word打印版
2004年考研数学三真题及解析

考研数学(三)真题一、填空题(本题共6小题,每小题4分,满分24分. 把答案填在题中横线上) (1) 若5)(cos sin lim 0=--→b x ae xxx ,则a =______,b =______. (2) 设函数f (u , v )由关系式f [xg (y ) , y ] = x + g (y )确定,其中函数g (y )可微,且g (y ) ≠ 0,则2fu v ∂=∂∂.(3) 设⎪⎩⎪⎨⎧≥-<≤-=21,12121,)(2x x xe x f x ,则212(1)f x dx -=⎰.(4) 二次型213232221321)()()(),,(x x x x x x x x x f ++-++=的秩为 . (5) 设随机变量X 服从参数为λ的指数分布, 则=>}{DX X P _______.(6) 设总体X 服从正态分布),(21σμN , 总体Y 服从正态分布),(22σμN ,1,,21n X X X 和 2,,21n Y Y Y 分别是来自总体X 和Y 的简单随机样本, 则12221112()()2n n i j i j X X Y Y E n n ==⎡⎤-+-⎢⎥⎢⎥=⎢⎥+-⎢⎥⎢⎥⎣⎦∑∑.二、选择题(本题共6小题,每小题4分,满分24分. 每小题给出的四个选项中,只有一项符合题目要求,把所选项前的字母填在题后的括号内) (7) 函数2)2)(1()2sin(||)(---=x x x x x x f 在下列哪个区间内有界. (A) (-1 , 0).(B) (0 , 1).(C) (1 , 2).(D) (2 , 3). [ ](8) 设f (x )在(-∞ , +∞)内有定义,且a x f x =∞→)(lim , ⎪⎩⎪⎨⎧=≠=0,00,)1()(x x x f x g ,则(A) x = 0必是g (x )的第一类间断点. (B) x = 0必是g (x )的第二类间断点.(C) x = 0必是g (x )的连续点.(D) g (x )在点x = 0处的连续性与a 的取值有关. [ ] (9) 设f (x ) = |x (1 - x )|,则(A) x = 0是f (x )的极值点,但(0 , 0)不是曲线y = f (x )的拐点. (B) x = 0不是f (x )的极值点,但(0 , 0)是曲线y = f (x )的拐点. (C) x = 0是f (x )的极值点,且(0 , 0)是曲线y = f (x )的拐点.(D) x = 0不是f (x )的极值点,(0 , 0)也不是曲线y = f (x )的拐点. [ ] (10) 设有下列命题:(1) 若∑∞=-+1212)(n n n u u 收敛,则∑∞=1n n u 收敛.(2) 若∑∞=1n n u 收敛,则∑∞=+11000n n u 收敛.(3) 若1lim 1>+∞→nn n u u ,则∑∞=1n n u 发散.(4) 若∑∞=+1)(n n n v u 收敛,则∑∞=1n n u ,∑∞=1n n v 都收敛.则以上命题中正确的是(A) (1) (2). (B) (2) (3).(C) (3) (4). (D) (1) (4). [ ](11) 设)(x f '在[a , b]上连续,且0)(,0)(<'>'b f a f ,则下列结论中错误的是 (A) 至少存在一点),(0b a x ∈,使得)(0x f > f (a ). (B) 至少存在一点),(0b a x ∈,使得)(0x f > f (b ). (C) 至少存在一点),(0b a x ∈,使得0)(0='x f .(D) 至少存在一点),(0b a x ∈,使得)(0x f = 0.[ D ](12) 设n 阶矩阵A 与B 等价, 则必有(A) 当)0(||≠=a a A 时, a B =||. (B) 当)0(||≠=a a A 时, a B -=||. (C) 当0||≠A 时, 0||=B . (D) 当0||=A 时, 0||=B . [ ](13) 设n 阶矩阵A 的伴随矩阵,0*≠A 若4321,,,ξξξξ是非齐次线性方程组 b Ax =的互不相等的解,则对应的齐次线性方程组0=Ax 的基础解系 (A) 不存在. (B) 仅含一个非零解向量.(C) 含有两个线性无关的解向量. (D) 含有三个线性无关的解向量.[ ](14) 设随机变量X 服从正态分布)1,0(N , 对给定的)1,0(∈α, 数αu 满足αu X P α=>}{,若αx X P =<}|{|, 则x 等于 (A) 2αu . (B) 21αu-. (C) 21αu -. (D) αu -1. [ ]三、解答题(本题共9小题,满分94分. 解答应写出文字说明、证明过程或演算步骤.) (15) (本题满分8分)求)cos sin 1(lim 2220xxx x -→. (16) (本题满分8分)求⎰⎰++Dd y y x σ)(22,其中D 是由圆422=+y x 和1)1(22=++y x 所围成的 平面区域(如图).(17) (本题满分8分) 设f (x ) , g (x )在[a , b ]上连续,且满足⎰⎰≥x axadt t g dt t f )()(,x ∈ [a , b ),⎰⎰=bab adt t g dt t f )()(.证明:⎰⎰≤ba ba dx x xg dx x xf )()(.(18) (本题满分9分) 设某商品的需求函数为Q = 100 - 5P ,其中价格P ∈ (0 , 20),Q 为需求量. (I) 求需求量对价格的弹性d E (d E > 0);(II) 推导)1(d E Q dPdR-=(其中R 为收益),并用弹性d E 说明价格在何范围内变化时, 降低价格反而使收益增加. (19) (本题满分9分) 设级数)(864264242864+∞<<-∞+⋅⋅⋅+⋅⋅+⋅x x x x 的和函数为S (x ). 求:(I) S (x )所满足的一阶微分方程; (II) S (x )的表达式. (20)(本题满分13分)设Tα)0,2,1(1=, Tααα)3,2,1(2-+=, T b αb α)2,2,1(3+---=, Tβ)3,3,1(-=, 试讨论当b a ,为何值时,(Ⅰ) β不能由321,,ααα线性表示;(Ⅱ) β可由321,,ααα唯一地线性表示, 并求出表示式;(Ⅲ) β可由321,,ααα线性表示, 但表示式不唯一, 并求出表示式. (21) (本题满分13分) 设n 阶矩阵⎪⎪⎪⎪⎪⎭⎫ ⎝⎛=111b b b b b b A . (Ⅰ) 求A 的特征值和特征向量;(Ⅱ) 求可逆矩阵P , 使得AP P 1-为对角矩阵. (22) (本题满分13分)设A ,B 为两个随机事件,且41)(=A P , 31)|(=AB P , 21)|(=B A P , 令 ⎩⎨⎧=不发生,,发生,A A X 0,1 ⎩⎨⎧=.0,1不发生,发生,B B Y 求(Ⅰ) 二维随机变量),(Y X 的概率分布; (Ⅱ) X 与Y 的相关系数 XY ρ; (Ⅲ) 22Y X Z +=的概率分布. (23) (本题满分13分)设随机变量X 的分布函数为⎪⎩⎪⎨⎧≤>⎪⎭⎫ ⎝⎛-=,,,αx αx x αβαx F β0,1),,( 其中参数1,0>>βα. 设n X X X ,,,21 为来自总体X 的简单随机样本,(Ⅰ) 当1=α时, 求未知参数β的矩估计量; (Ⅱ) 当1=α时, 求未知参数β的最大似然估计量; (Ⅲ) 当2=β时, 求未知参数α的最大似然估计量.2004年考研数学(三)真题解析一、填空题(本题共6小题,每小题4分,满分24分. 把答案填在题中横线上) (1) 若5)(cos sin lim 0=--→b x ae xxx ,则a =1,b =4-.【分析】本题属于已知极限求参数的反问题. 【详解】因为5)(cos sin lim 0=--→b x ae xxx ,且0)(cos sin lim 0=-⋅→b x x x ,所以0)(lim 0=-→a e x x ,得a = 1. 极限化为51)(cos lim )(cos sin lim00=-=-=--→→b b x xxb x a e x x x x ,得b = -4.因此,a = 1,b = -4. 【评注】一般地,已知)()(limx g x f = A , (1) 若g (x ) → 0,则f (x ) → 0;(2) 若f (x ) → 0,且A ≠ 0,则g (x ) → 0.(2) 设函数f (u , v )由关系式f [xg (y ) , y ] = x + g (y )确定,其中函数g (y )可微,且g (y ) ≠ 0,则)()(22v g v g vu f'-=∂∂∂.【分析】令u = xg (y ),v = y ,可得到f (u , v )的表达式,再求偏导数即可. 【详解】令u = xg (y ),v = y ,则f (u , v ) =)()(v g v g u+,所以,)(1v g u f =∂∂,)()(22v g v g v u f '-=∂∂∂.(3) 设⎪⎩⎪⎨⎧≥-<≤-=21,12121,)(2x x xe x f x ,则21)1(221-=-⎰dx x f .【分析】本题属于求分段函数的定积分,先换元:x - 1 = t ,再利用对称区间上奇偶函数的积分性质即可.【详解】令x - 1 = t ,⎰⎰⎰--==-121121221)()()1(dt x f dt t f dx x f=21)21(0)1(12121212-=-+=-+⎰⎰-dx dx xe x .【评注】一般地,对于分段函数的定积分,按分界点划分积分区间进行求解. (4) 二次型213232221321)()()(),,(x x x x x x x x x f ++-++=的秩为 2 .【分析】二次型的秩即对应的矩阵的秩, 亦即标准型中平方项的项数, 于是利用初等变换或配方法均可得到答案. 【详解一】因为213232221321)()()(),,(x x x x x x x x x f ++-++=323121232221222222x x x x x x x x x -++++=于是二次型的矩阵为 ⎪⎪⎪⎭⎫ ⎝⎛--=211121112A ,由初等变换得 ⎪⎪⎪⎭⎫ ⎝⎛--→⎪⎪⎪⎭⎫ ⎝⎛---→000330211330330211A ,从而 2)(=A r , 即二次型的秩为2.【详解二】因为213232221321)()()(),,(x x x x x x x x x f ++-++=323121232221222222x x x x x x x x x -++++=2322321)(23)2121(2x x x x x -+++= 2221232y y +=,其中 ,21213211x x x y ++= 322x x y -=.所以二次型的秩为2.(5) 设随机变量X 服从参数为λ的指数分布, 则=>}{DX X Pe1. 【分析】 根据指数分布的分布函数和方差立即得正确答案. 【详解】 由于21λDX =, X 的分布函数为 ⎩⎨⎧≤>-=-.0,0,0,1)(x x e x F x λ 故=>}{DX X P =≤-}{1DX X P =≤-}1{1λX P )1(1λF -e1=.【评注】本题是对重要分布, 即指数分布的考查, 属基本题型.(6) 设总体X 服从正态分布),(21σμN , 总体Y 服从正态分布),(22σμN ,1,,21n X X X 和 2,,21n Y Y Y 分别是来自总体X 和Y 的简单随机样本, 则22121212)()(21σn n Y Y X X En j j n i i =⎥⎥⎥⎥⎥⎦⎤⎢⎢⎢⎢⎢⎣⎡-+-+-∑∑==.【分析】利用正态总体下常用统计量的数字特征即可得答案.【详解】因为 2121])(11[1σX X n E n i i =--∑=, 2122])(11[2σY Y n E n j j =--∑=, 故应填 2σ.【评注】本题是对常用统计量的数字特征的考查.二、选择题(本题共6小题,每小题4分,满分24分. 每小题给出的四个选项中,只有一项符合题目要求,把所选项前的字母填在题后的括号内) (7) 函数2)2)(1()2sin(||)(---=x x x x x x f 在下列哪个区间内有界. (A) (-1 , 0). (B) (0 , 1).(C) (1 , 2).(D) (2 , 3). [ A ]【分析】如f (x )在(a , b )内连续,且极限)(lim x f a x +→与)(lim x f b x -→存在,则函数f (x )在(a , b )内有界.【详解】当x ≠ 0 , 1 , 2时,f (x )连续,而183sin )(lim 1-=+-→x f x ,42sin )(lim 0-=-→x f x ,42sin )(lim 0=+→x f x ,∞=→)(lim 1x f x ,∞=→)(lim 2x f x , 所以,函数f (x )在(-1 , 0)内有界,故选(A).【评注】一般地,如函数f (x )在闭区间[a , b ]上连续,则f (x )在闭区间[a , b ]上有界;如函数f (x )在开区间(a , b )内连续,且极限)(lim x f a x +→与)(lim x f b x -→存在,则函数f (x )在开区间(a , b )内有界.(8) 设f (x )在(-∞ , +∞)内有定义,且a x f x =∞→)(lim ,⎪⎩⎪⎨⎧=≠=0,00,)1()(x x xf xg ,则 (A) x = 0必是g (x )的第一类间断点. (B) x = 0必是g (x )的第二类间断点.(C) x = 0必是g (x )的连续点.(D) g (x )在点x = 0处的连续性与a 的取值有关. [ D ] 【分析】考查极限)(lim 0x g x →是否存在,如存在,是否等于g (0)即可,通过换元xu 1=,可将极限)(lim 0x g x →转化为)(lim x f x ∞→.【详解】因为)(lim )1(lim )(lim 0u f x f x g u x x ∞→→→=== a (令xu 1=),又g (0) = 0,所以,当a = 0时,)0()(lim 0g x g x =→,即g (x )在点x = 0处连续,当a ≠ 0时,)0()(lim 0g x g x ≠→,即x = 0是g (x )的第一类间断点,因此,g (x )在点x = 0处的连续性与a 的取值有关,故选(D).【评注】本题属于基本题型,主要考查分段函数在分界点处的连续性. (9) 设f (x ) = |x (1 - x )|,则(A) x = 0是f (x )的极值点,但(0 , 0)不是曲线y = f (x )的拐点. (B) x = 0不是f (x )的极值点,但(0 , 0)是曲线y = f (x )的拐点. (C) x = 0是f (x )的极值点,且(0 , 0)是曲线y = f (x )的拐点.(D) x = 0不是f (x )的极值点,(0 , 0)也不是曲线y = f (x )的拐点. [ C ] 【分析】由于f (x )在x = 0处的一、二阶导数不存在,可利用定义判断极值情况,考查f (x )在x = 0的左、右两侧的二阶导数的符号,判断拐点情况.【详解】设0 < δ < 1,当x ∈ (-δ , 0) ⋃ (0 , δ)时,f (x ) > 0,而f (0) = 0,所以x = 0是f (x )的极小值点. 显然,x = 0是f (x )的不可导点. 当x ∈ (-δ , 0)时,f (x ) = -x (1 - x ),02)(>=''x f ,当x ∈ (0 , δ)时,f (x ) = x (1 - x ),02)(<-=''x f ,所以(0 , 0)是曲线y = f (x )的拐点.故选(C).【评注】对于极值情况,也可考查f (x )在x = 0的某空心邻域内的一阶导数的符号来判断. (10) 设有下列命题:(1) 若∑∞=-+1212)(n n n u u 收敛,则∑∞=1n n u 收敛.(2) 若∑∞=1n n u 收敛,则∑∞=+11000n n u 收敛.(3) 若1lim 1>+∞→nn n u u ,则∑∞=1n n u 发散.(4) 若∑∞=+1)(n n n v u 收敛,则∑∞=1n n u ,∑∞=1n n v 都收敛.则以上命题中正确的是 (A) (1) (2). (B) (2) (3). (C) (3) (4). (D) (1) (4). [ B ]【分析】可以通过举反例及级数的性质来说明4个命题的正确性. 【详解】(1)是错误的,如令nn u )1(-=,显然,∑∞=1n n u 分散,而∑∞=-+1212)(n n n u u 收敛.(2)是正确的,因为改变、增加或减少级数的有限项,不改变级数的收敛性.(3)是正确的,因为由1lim 1>+∞→nn n u u 可得到n u 不趋向于零(n → ∞),所以∑∞=1n n u 发散.(4)是错误的,如令n v n u n n 1,1-==,显然,∑∞=1n n u ,∑∞=1n n v 都发散,而∑∞=+1)(n n n v u 收敛. 故选(B).【评注】本题主要考查级数的性质与收敛性的判别法,属于基本题型.(11) 设)(x f '在[a , b]上连续,且0)(,0)(<'>'b f a f ,则下列结论中错误的是 (A) 至少存在一点),(0b a x ∈,使得)(0x f > f (a ). (B) 至少存在一点),(0b a x ∈,使得)(0x f > f (b ). (C) 至少存在一点),(0b a x ∈,使得0)(0='x f .(D) 至少存在一点),(0b a x ∈,使得)(0x f = 0.[ D ]【分析】利用介值定理与极限的保号性可得到三个正确的选项,由排除法可选出错误选项. 【详解】首先,由已知)(x f '在[a , b]上连续,且0)(,0)(<'>'b f a f ,则由介值定理,至少存在一点),(0b a x ∈,使得0)(0='x f ;另外,0)()(lim)(>--='+→ax a f x f a f a x ,由极限的保号性,至少存在一点),(0b a x ∈使得0)()(00>--ax a f x f ,即)()(0a f x f >. 同理,至少存在一点),(0b a x ∈使得)()(0b f x f >. 所以,(A) (B) (C)都正确,故选(D).【评注】 本题综合考查了介值定理与极限的保号性,有一定的难度. (12) 设n 阶矩阵A 与B 等价, 则必有(A) 当)0(||≠=a a A 时, a B =||. (B) 当)0(||≠=a a A 时, a B -=||. (C) 当0||≠A 时, 0||=B . (D) 当0||=A 时, 0||=B . [ D ] 【分析】 利用矩阵A 与B 等价的充要条件: )()(B r A r =立即可得.【详解】因为当0||=A 时, n A r <)(, 又 A 与B 等价, 故n B r <)(, 即0||=B , 故选(D).【评注】本题是对矩阵等价、行列式的考查, 属基本题型.(13) 设n 阶矩阵A 的伴随矩阵,0*≠A 若4321,,,ξξξξ是非齐次线性方程组 b Ax =的 互不相等的解,则对应的齐次线性方程组0=Ax 的基础解系 (A) 不存在. (B) 仅含一个非零解向量.(C) 含有两个线性无关的解向量. (D) 含有三个线性无关的解向量. [ B ] 【分析】 要确定基础解系含向量的个数, 实际上只要确定未知数的个数和系数矩阵的秩. 【详解】 因为基础解系含向量的个数=)(A r n -, 而且⎪⎩⎪⎨⎧-<-===.1)(,0,1)(,1,)(,)(*n A r n A r n A r n A r根据已知条件,0*≠A 于是)(A r 等于n 或1-n . 又b Ax =有互不相等的解, 即解不惟一, 故1)(-=n A r . 从而基础解系仅含一个解向量, 即选(B).【评注】本题是对矩阵A 与其伴随矩阵*A 的秩之间的关系、线性方程组解的结构等多个知识点的综合考查. (14) 设随机变量X 服从正态分布)1,0(N , 对给定的)1,0(∈α, 数αu 满足αu X P α=>}{,若αx X P =<}|{|, 则x 等于 (A) 2αu . (B) 21αu-. (C) 21αu -. (D) αu -1. [ C ]【分析】 利用标准正态分布密度曲线的对称性和几何意义即得. 【详解】 由αx X P =<}|{|, 以及标准正态分布密度曲线的对称性可得21}{αx X P -=>. 故正确答案为(C). 【评注】本题是对标准正态分布的性质, 严格地说它的上分位数概念的考查.三、解答题(本题共9小题,满分94分. 解答应写出文字说明、证明过程或演算步骤.) (15) (本题满分8分)求)cos sin 1(lim 2220xxx x -→. 【分析】先通分化为“”型极限,再利用等价无穷小与罗必达法则求解即可. 【详解】xx xx x x x x x x 2222202220sin cos sin lim )cos sin 1(lim -=-→→=346)4(21lim 64cos 1lim 44sin 212lim 2sin 41lim 22020304220==-=-=-→→→→xx x x x x x x x x x x x x .【评注】本题属于求未定式极限的基本题型,对于“0”型极限,应充分利用等价无穷小替换来简化计算. (16) (本题满分8分) 求⎰⎰++Dd y y x σ)(22,其中D 是由圆422=+y x 和1)1(22=++y x 所围成的平面区域(如图).【分析】首先,将积分区域D 分为大圆}4|),{(221≤+=y x y x D 减去小圆}1)1(|),{(222≤++=y x y x D ,再利用对称性与极坐标计算即可.【详解】令}1)1(|),{(},4|),{(222221≤++=≤+=y x y x D y x y x D , 由对称性,0=⎰⎰Dyd σ.⎰⎰⎰⎰⎰⎰+-+=+21222222D D Dd y x d y x d y x σσσ⎰⎰⎰⎰--=θπππθθcos 20223220220dr r d dr r d .)23(916932316-=-=ππ所以,)23(916)(22-=++⎰⎰πσDd y y x . 【评注】本题属于在极坐标系下计算二重积分的基本题型,对于二重积分,经常利用对称性及将一个复杂区域划分为两个或三个简单区域来简化计算. (17) (本题满分8分) 设f (x ) , g (x )在[a , b ]上连续,且满足⎰⎰≥x axadt t g dt t f )()(,x ∈ [a , b ),⎰⎰=bab adt t g dt t f )()(.证明:⎰⎰≤baba dx x xg dx x xf )()(.【分析】令F (x ) = f (x ) - g (x ),⎰=x adt t F x G )()(,将积分不等式转化为函数不等式即可. 【详解】令F (x ) = f (x ) - g (x ),⎰=x a dt t F x G )()(,由题设G (x ) ≥ 0,x ∈ [a , b ],G (a ) = G (b ) = 0,)()(x F x G ='.从而⎰⎰⎰⎰-=-==bab aba babadx x G dx x G x xG x xdG dx x xF )()()()()(,由于 G (x ) ≥ 0,x ∈ [a , b ],故有0)(≤-⎰badx x G ,即0)(≤⎰ba dx x xF .因此⎰⎰≤babadx x xg dx x xf )()(.【评注】引入变限积分转化为函数等式或不等式是证明积分等式或不等式的常用的方法. (18) (本题满分9分) 设某商品的需求函数为Q = 100 - 5P ,其中价格P ∈ (0 , 20),Q 为需求量. (I) 求需求量对价格的弹性d E (d E > 0);(II) 推导)1(d E Q dPdR-=(其中R 为收益),并用弹性d E 说明价格在何范围内变化时,降低价格反而使收益增加.【分析】由于d E > 0,所以dP dQ Q P E d =;由Q = PQ 及dPdQQ P E d =可推导 )1(d E Q dPdR-=. 【详解】(I) PPdP dQ Q P E d -==20. (II) 由R = PQ ,得)1()1(d E Q dPdQ Q P Q dP dQ P Q dP dR -=+=+=. 又由120=-=PPE d ,得P = 10.当10 < P < 20时,d E > 1,于是0<dPdR,故当10 < P < 20时,降低价格反而使收益增加.【评注】当d E > 0时,需求量对价格的弹性公式为dPdQQ P dP dQ Q P E d -==. 利用需求弹性分析收益的变化情况有以下四个常用的公式:Qdp E dR d )1(-=,Q E dp dR d )1(-=,p E dQ dR d)11(-=, d E EpER-=1(收益对价格的弹性). (19) (本题满分9分) 设级数)(864264242864+∞<<-∞+⋅⋅⋅+⋅⋅+⋅x x x x 的和函数为S (x ). 求:(I) S (x )所满足的一阶微分方程; (II) S (x )的表达式.【分析】对S (x )进行求导,可得到S (x )所满足的一阶微分方程,解方程可得S (x )的表达式.【详解】(I) +⋅⋅⋅+⋅⋅+⋅=864264242)(864x x x x S ,易见 S (0) = 0,+⋅⋅+⋅+='642422)(753x x x x S)642422(642 +⋅⋅+⋅+=x x x x)](2[2x S x x +=.因此S (x )是初值问题0)0(,23=+='y x xy y 的解.(II) 方程23x xy y +='的通解为]2[3C dx e x e y xdx xdx +⎰⎰=⎰-22212x Ce x +--=,由初始条件y(0) = 0,得C = 1.故12222-+-=x e x y ,因此和函数12)(222-+-=x e x x S .【评注】本题综合了级数求和问题与微分方程问题,2002年考过类似的题. (20)(本题满分13分)设Tα)0,2,1(1=, Tααα)3,2,1(2-+=, T b αb α)2,2,1(3+---=, Tβ)3,3,1(-=, 试讨论当b a ,为何值时,(Ⅰ) β不能由321,,ααα线性表示;(Ⅱ) β可由321,,ααα唯一地线性表示, 并求出表示式;(Ⅲ) β可由321,,ααα线性表示, 但表示式不唯一, 并求出表示式.【分析】将β可否由321,,ααα线性表示的问题转化为线性方程组βαk αk αk =++332211是否有解的问题即易求解. 【详解】 设有数,,,321k k k 使得βαk αk αk =++332211. (*) 记),,(321αααA =. 对矩阵),(βA 施以初等行变换, 有⎥⎥⎥⎦⎤⎢⎢⎢⎣⎡-+---+-=323032221111),(b a a b a βA ⎥⎥⎥⎦⎤⎢⎢⎢⎣⎡---→000101111b a b a .(Ⅰ) 当0=a 时, 有⎥⎥⎥⎦⎤⎢⎢⎢⎣⎡---→10001001111),(b βA . 可知),()(βA r A r ≠. 故方程组(*)无解, β不能由321,,ααα线性表示. (Ⅱ) 当0≠a , 且b a ≠时, 有⎥⎥⎥⎦⎤⎢⎢⎢⎣⎡---→000101111),(b a b a βA ⎥⎥⎥⎥⎥⎥⎦⎤⎢⎢⎢⎢⎢⎢⎣⎡-→0100101011001a a 3),()(==βA r A r , 方程组(*)有唯一解:ak 111-=, a k 12=, 03=k .此时β可由321,,ααα唯一地线性表示, 其表示式为 211)11(αaαa β+-=. (Ⅲ) 当0≠=b a 时, 对矩阵),(βA 施以初等行变换, 有⎥⎥⎥⎦⎤⎢⎢⎢⎣⎡---→000101111),(b a b a βA ⎥⎥⎥⎥⎥⎥⎦⎤⎢⎢⎢⎢⎢⎢⎣⎡--→0000111011001a a , 2),()(==βA r A r , 方程组(*)有无穷多解, 其全部解为a k 111-=, c ak +=12, c k =3, 其中c 为任意常数. β 可由321,,ααα线性表示, 但表示式不唯一, 其表示式为321)1()11(αc αc aαa β+++-=. 【评注】本题属于常规题型, 曾考过两次(1991, 2000).(21) (本题满分13分) 设n 阶矩阵⎪⎪⎪⎪⎪⎭⎫ ⎝⎛=111 b b b b b b A .(Ⅰ) 求A 的特征值和特征向量;(Ⅱ) 求可逆矩阵P , 使得AP P 1-为对角矩阵.【分析】这是具体矩阵的特征值和特征向量的计算问题, 通常可由求解特征方程0||=-A E λ和齐次线性方程组0)(=-x A E λ来解决.【详解】 (Ⅰ)1当0≠b 时,111||---------=-λb b bλb b b λA E λ =1)]1(][)1(1[------n b λb n λ ,得A 的特征值为b n λ)1(11-+=,b λλn -===12 . 对b n λ)1(11-+=,⎪⎪⎪⎪⎪⎭⎫ ⎝⎛---------=-b n b b b b n bb b b n A E λ)1()1()1(1→⎪⎪⎪⎪⎪⎭⎫ ⎝⎛---------)1(111)1(111)1(n n n →⎪⎪⎪⎪⎪⎪⎭⎫ ⎝⎛------------0000111111111111n n n →⎪⎪⎪⎪⎪⎪⎭⎫ ⎝⎛---------0000111111111111n n n →⎪⎪⎪⎪⎪⎪⎭⎫ ⎝⎛---000000001111n n n n n →⎪⎪⎪⎪⎪⎪⎭⎫⎝⎛---0000110010101001解得T ξ)1,,1,1,1(1 =,所以A 的属于1λ的全部特征向量为 T k ξk )1,,1,1,1(1 = (k 为任意不为零的常数). 对b λ-=12,⎪⎪⎪⎪⎪⎭⎫ ⎝⎛---------=-b b b b b b b b b A E λ 2→⎪⎪⎪⎪⎪⎭⎫ ⎝⎛000000111 得基础解系为T ξ)0,,0,1,1(2 -=,T ξ)0,,1,0,1(3 -=,T n ξ)1,,0,0,1(,-= .故A 的属于2λ的全部特征向量为n n ξk ξk ξk +++ 3322 (n k k k ,,,32 是不全为零的常数).2 当0=b 时,n λλλλA E λ)1(100010001||-=---=- ,特征值为11===n λλ ,任意非零列向量均为特征向量.(Ⅱ)1当0≠b 时,A 有n 个线性无关的特征向量,令),,,(21n ξξξP =,则⎪⎪⎪⎪⎪⎭⎫ ⎝⎛---+=-b b b n AP P 11)1(112 当0=b 时,E A =,对任意可逆矩阵P , 均有E AP P =-1.【评注】本题通过考查矩阵的特征值和特征向量而间接考查了行列式的计算, 齐次线性方程组的求解和矩阵的对角化等问题, 属于有一点综合性的试题. 另外,本题的解题思路是容易的, 只要注意矩阵中含有一个未知参数, 从而一般要讨论其不同取值情况. (22) (本题满分13分)设A ,B 为两个随机事件,且41)(=A P , 31)|(=AB P , 21)|(=B A P , 令 ⎩⎨⎧=不发生,,发生,A A X 0,1 ⎩⎨⎧=.0,1不发生,发生,B B Y 求(Ⅰ) 二维随机变量),(Y X 的概率分布; (Ⅱ) X 与Y 的相关系数 XY ρ; (Ⅲ) 22Y X Z +=的概率分布.【分析】本题的关键是求出),(Y X 的概率分布,于是只要将二维随机变量),(Y X 的各取值对转化为随机事件A 和B 表示即可.【详解】 (Ⅰ) 因为 121)|()()(==A B P A P AB P , 于是 61)|()()(==B A P AB P B P , 则有 121)(}1,1{====AB P Y X P , 61)()()(}0,1{=-====AB P A P B A P Y X P , 121)()()(}1,0{=-====AB P B P B A P Y X P ,32)]()()([1)(1)(}0,0{=-+-=⋃-=⋅===AB P B P A P B A P B A P Y X P , ( 或 32121611211}0,0{=---===Y X P ), 即),(Y X 的概率分布为:YX0 10 132121 61121(Ⅱ) 方法一:因为 41)(==A P EX ,61)(==B P EY ,121)(=XY E , 41)(2==A P EX ,61)(2==B P EY ,163)(22=-=EX EX DX ,165)(22=-=EY EY DY ,241)(),(=-=EXEY XY E Y X Cov ,所以X 与Y 的相关系数 1515151),(==⋅=DYDX Y X Cov ρXY . 方法二: X, Y 的概率分布分别为X 0 1 Y 0 1P 43 41 P 65 61 则61,41==EY EX ,163=DX ,DY=365, E(XY)=121,故 241)(),(=⋅-=EY EX XY E Y X Cov ,从而.1515),(=⋅=DYDX Y X Cov XY ρ (Ⅲ) Z 的可能取值为:0,1,2 .32}0,0{}0{=====Y X P Z P , 41}1,0{}0,1{}1{===+====Y X P Y X P Z P , 121}1,1{}2{=====Y X P Z P , 即Z 的概率分布为:Z 0 1 2P32 41 121 【评注】本题考查了二维离散随机变量联合概率分布,数字特征和二维离散随机变量函数的分布等计算问题,属于综合性题型 (23) (本题满分13分)设随机变量X 的分布函数为⎪⎩⎪⎨⎧≤>⎪⎭⎫ ⎝⎛-=,,,αx αx x αβαx F β0,1),,( 其中参数1,0>>βα. 设n X X X ,,,21 为来自总体X 的简单随机样本,(Ⅰ) 当1=α时, 求未知参数β的矩估计量; (Ⅱ) 当1=α时, 求未知参数β的最大似然估计量; (Ⅲ) 当2=β时, 求未知参数α的最大似然估计量.【分析】本题是一个常规题型, 只要注意求连续型总体未知参数的矩估计和最大似然估计都须已知密度函数,从而先由分布函数求导得密度函数.【详解】 当1=α时, X 的概率密度为⎪⎩⎪⎨⎧≤>=+,,,101,),(1x x x ββx f β(Ⅰ) 由于⎰⎰+∞++∞∞--=⋅==11,1);(ββdx x βx dx βx xf EX β 令X ββ=-1, 解得 1-=X Xβ, 所以, 参数β的矩估计量为 1-=X Xβ. (Ⅱ) 对于总体X 的样本值n x x x ,,,21 , 似然函数为∏=+⎪⎩⎪⎨⎧=>==ni i βnni n i x x x x βαx f βL 1121.,0),,,2,1(1,)();()(其他当),,2,1(1n i x i =>时, 0)(>βL , 取对数得 ∑=+-=ni ix ββn βL 1ln )1(ln )(ln ,对β求导数,得∑=-=ni i x βn βd βL d 1ln )]([ln ,令 0ln )]([ln 1=-=∑=ni i x βn βd βL d , 解得 ∑==ni ixnβ1ln ,于是β的最大似然估计量为∑==ni ixnβ1ln ˆ.( Ⅲ) 当2=β时, X 的概率密度为⎪⎩⎪⎨⎧≤>=,,,αx αx x αβx f 0,2),(32对于总体X 的样本值n x x x ,,,21 , 似然函数为∏=⎪⎩⎪⎨⎧=>==ni i nnn i n i αx x x x ααx f βL 13212.,0),,,2,1(,)(2);()(其他当),,2,1(n i αx i =>时, α越大,)(αL 越大, 即α的最大似然估计值为},,,min{ˆ21n x x x α=, 于是α的最大似然估计量为},,,min{ˆ21n X X X α=.。
2004年考研数学三真题与解析

2004 年考研数学(三)真题一、 填空题 (本题共 6 小题,每小题 4 分,满分 24 分 . 把答案填在题中横线上)(1) 若 limsin xb)5 ,则 a =______, b =______.(cos xx 0exa(2) 设函数 f (u , v)由关系式 f [xg(y) , y] = x + g(y)确定,其中函数g(y)可微,且 g(y) 0,则2 f.u vxe x21 1设 f (x),2x2,则 2 (3) 1 f (x 1)dx.1 , x122(4) 二次型 f ( x 1 , x 2 , x 3 )( x 1 x 2 )2 ( x 2 x 3 ) 2 (x 3 x 1 ) 2 的秩为.(5) 设随机变量 X 服从参数为λ的指数分布 ,则P{X DX } _______.(6) 设总体 X 服从正态分布 N ( μ, σ2), 总体 Y 服从正态分布 N ( μ , σ2),X , X 2, Xn 1 和 Y,Y,Y1211 2n 2分别是来自总体X 和 Y 的简单随机样本 , 则n 12n 22( X i X )(Y j Y)Ei 1n 1 n 2 j 1.2二、选择题 (本题共 6 小题,每小题 4 分,满分 24 分 . 每小题给出的四个选项中,只有一项符合题目要求,把所选项前的字母填在题后的括号内)函数 f (x)| x | sin( x 2)(7) x( x 1)( x2)2 在下列哪个区间内有界 .(A)( 1,0). (B) (0 , 1). (C) (1 , 2). (D) (2 , 3). [ ]1,则(8) 设 f (x)在 (, + )内有定义,且 lim f (x) a , g( x)f ( x ) , xx0 , x(A) x = 0 必是 g(x)的第一类间断点 . (B) x = 0 必是 g(x)的第二类间断点 .(C) x = 0 必是 g(x)的连续点 .(D) g(x)在点 x = 0 处的连续性与 a 的取值有关 .[](9) 设 f (x) = |x(1 x)|,则(A) x = 0 是 f (x)的极值点,但 (0 , 0) 不是曲线 y = f (x)的拐点 .(B) x = 0 不是 f (x)的极值点,但 (0 , 0)是曲线 y = f (x)的拐点 .(C) x = 0 是 f (x)的极值点,且 (0 , 0) 是曲线 y = f (x)的拐点 . (D) x = 0 不是 f (x)的极值点, (0 , 0) 也不是曲线 y = f (x)的拐点 .[ ](10) 设有下列命题:(1) 若(u 2n 1 u 2n ) 收敛,则u n 收敛 .(2) 若u n 收敛,则u n 1000收敛.n 1n 1(3) 若 lim u n 1 1,则u 发散 .nu nnn 1(4) 若(u n v n ) 收敛,则u n ,v n 都收敛 .n 1n 1n 1则以上命题中正确的是(A) (1) (2).(B) (2) (3). (C) (3) (4). (D) (1) (4). [](11) 设 f ( x) 在 [a , b] 上连续,且 f ( a) 0, f (b) 0 ,则下列结论中错误的是(A) 至少存在一点 x 0 ( a,b) ,使得 f ( x 0 ) > f (a).(B) 至少存在一点 x 0(a, b) ,使得 f (x 0 ) > f (b).(C) 至少存在一点 x 0 (a, b) ,使得 f ( x 0 ) 0.(D) 至少存在一点 x 0 ( a,b) ,使得 f ( x 0 ) = 0.[ D](12) 设 n 阶矩阵 A 与 B 等价 , 则必有(A) 当| A| a(a 0) 时, | B | a .(B) 当| A| a(a 0) 时, |B| a .(C) 当|A|0时, |B| 0.(D) 当|A| 0时 , | B | 0 .[](13) 设 n 阶矩阵 A 的伴随矩阵 A *0, 若 ξ1,ξ2, ξ3, ξ4 是非齐次线性方程组Ax b 的互不相等的解,则对应的齐次线性方程组Ax 0 的基础解系(A) 不存在 .(B) 仅含一个非零解向量 .(C) 含有两个线性无关的解向量. (D) 含有三个线性无关的解向量 .[ ](14) 设随机变量 X 服从正态分布N (0,1) , 对给定的 α (0,1) , 数 u α满足 P{ Xu α}α,若 P{| X | x} α, 则 x 等于(A)u α.(B) u α.(C)u 1 α.(D) u 1α.[]2122三、解答题 (本题共 9 小题,满分 94 分 . 解答应写出文字说明、证明过程或演算步骤 .)(15) (本题满分 8 分)求 lim (1 cos2 x ) .x 0sin 2xx 2(16) ( 本题满分 8 分 )求( x 2 y 2y)d ,其中 D 是由圆 x2y 2 4 和 (x 1)2 y21 所围成的D平面区域 (如图 ).(17) (本题满分 8 分)设 f (x) , g( x)在 [a , b] 上连续,且满足x xg(t) dt ,x b b af (t )dt[a , b),f (t) dtg(t) dt .aaab b证明:xf (x) dx xg(x)dx .aa(18) (本题满分 9 分)设某商品的需求函数为 Q = 100 5P ,其中价格 P (0 , 20) ,Q 为需求量 .(I) 求需求量对价格的弹性 E d ( E d > 0) ;(II)dR E d ) (其中 R 为收益 ),并用弹性 E d 说明价格在何范围内变化时,推导Q(1dP降低价格反而使收益增加 .(19) (本题满分 9 分)设级数x 4x6x 8(x)2 4 2 4 6 2 4 6 8的和函数为 S(x). 求:(I) S(x)所满足的一阶微分方程;(II) S(x)的表达式 .(20)( 本题满分 13 分 )α (1,2,0)Tα(1,α 2, 3α) Tα ( 1, b 2, α 2b) T,β (1,3, 3) T ,设 1, 2,3试讨论当 a,b 为何值时 ,(Ⅰ ) βα1, α2, α3线性表示 ;不能由(Ⅱ ) β可由 α1 ,α2 , α3 唯一地线性表示 , 并求出表示式 ;(Ⅲ ) β可由 α1 ,α2 , α3 线性表示 , 但表示式不唯一 , 并求出表示式 .(21) (本题满分 13 分)设 n 阶矩阵1bb Ab 1 b .bb1(Ⅰ ) 求 A 的特征值和特征向量 ;(Ⅱ ) 求可逆矩阵 P , 使得 P 1AP 为对角矩阵 .(22) ( 本题满分 13 分)设 A , B 为两个随机事件 ,且 P( A)1P(B | A)1P(A|B)1 ,,, 令4321, 发生,1, 发生,XAYB, 不发生, , 不发生 .0 A0 B 求(Ⅰ ) 二维随机变量 ( X ,Y) 的概率分布 ;(Ⅱ ) X与 Y的相关系数XYρ ;(Ⅲ )Z X 2 Y 2 的概率分布 .(23) (本题满分 13 分) 设随机变量X 的分布函数为α β1 , x ,F ( x, α,β)x αx, ,0 α其中参数 α 0, β 1. 设 X 1 , X 2 , , X n 为来自总体 X 的简单随机样本 , (Ⅰ) 当α 1时 , 求未知参数β的矩估计量 ;(Ⅱ ) 当 α 1 时 , 求未知参数 β的最大似然估计量 ;(Ⅲ ) 当 β 2 时 , 求未知参数α的最大似然估计量 .2004 年考研数学(三)真题解析一、 填空题 (本题共 6 小题,每小题 4 分,满分 24 分 . 把答案填在题中横线上)(1) sin x(cos x b) 5,则a =1 , b =4.若 limax 0ex【分析 】本题属于已知极限求参数的反问题.【详解 】因为 lim sin x (cos xb ) 5 ,且 lim sin x (cos x)0 ,所以abx 0exx0 lim (exa)0 ,得 a = 1. 极限化为x 0limsin x(cos x b) limx(cos xb) 1 b5,得 b =4.x 0exax0 x因此, a = 1, b = 4.【评注 】一般地,已知 limf (x)= A ,g(x)(1) 若 g(x) 0,则 f (x)0;(2) 若 f ( x)0,且 A 0,则 g(x) 0.(2) 设函数 f (u , v)由关系式 f [xg(y) , y] = x + g(y)确定,其中函数g(y)可微,且 g(y)0,2fg (v) .则g 2(v)u v【分析 】令 u = xg(y), v = y ,可得到 f (u , v)的表达式,再求偏导数即可 .【详解 】令 u = xg(y), v = y ,则 f (u , v) =ug(v) ,g(v)f 1,2fg (v)所以,u vg 2 .u g (v)(v)x 2,1x1xe 2 221(3) 设 f (x),则1 f ( x 1) dx. 1 , x 1222【分析 】本题属于求分段函数的定积分,先换元:x1 = t ,再利用对称区间上奇偶函数的积分性质即可 .2 1 1【详解 】令 x1 = t , 1 f ( x 1)dx1 f (t )dt 1 f ( x)dt2 2212111 = 21 xexdx 1 ( 1) dx 0 ( ).2222【评注 】一般地,对于分段函数的定积分,按分界点划分积分区间进行求解.(4) 二次型 f ( x , x, x ) ( x x 2) 2 (x2x ) 2( xx ) 2 的秩为 2 .1231331【分析 】二次型的秩即对应的矩阵的秩, 亦即标准型中平方项的项数, 于是利用初等变换或配方法均可得到答案 .【详解一 】因为 f ( x 1 , x 2 , x 3 ) ( x 1x 2 ) 2(x 2 x 3 ) 2 ( x 3 x 1 ) 22x 2 2x 22x22x x 2 x x32 x x31 231 2122 1 1 于是二次型的矩阵为A1 2 1 , 1 1 21 12 1 1 2由初等变换得A0 3 3 0 3 3 ,33从而r ( A)2 , 即二次型的秩为 2.【详解二 】因为 f ( x 1 , x 2 , x 3 )( x 1 x 2 ) 2 (x 2 x 3 ) 2 ( x 3 x 1 ) 22 x 1 2 2x 2 2 2x3 22x 1 x 2 2x 1 x 3 2x 2 x 32( x 11x 21x 3 )23(x 2 x 3 ) 22222 y 1 23 y 2 2 ,2 1 1y 1x 1x 3 ,y 2x 2x 3 .其中x 222. 2所以二次型的秩为(5) 设随机变量X服从参数为λ则 P{ X DX }1 .的指数分布 ,e【分析 】 根据指数分布的分布函数和方差立即得正确答案.【详解 】 由于 DX1 X 的分布函数为2 ,λF ( x)1e λx , x0,0,x0.故P{ XDX} 1 P{XDX }1 P{X1} 1 F(1) 1 .λλ e【评注 】本题是对重要分布, 即指数分布的考查 , 属基本题型 .22X 1 , X 2 , X n 1 和 Y 1 ,Y 2 , Y n 2 分别是来自总体X 和 Y 的简单随机样本 , 则22n 1n 2( X i X )(Y j Y)i 1j 12Eσ .n 1 n 2 2【分析 】利用正态总体下常用统计量的数字特征即可得答案.1n 1221 n 22E[ ] E[2] 【详解 】因为1 i 1 ( X i X ) σ,n 2 1 j(Y j Y)σ,n 112故应填 σ .【评注 】本题是对常用统计量的数字特征的考查.二、选择题 (本题共 6 小题,每小题 4 分,满分 24 分 . 每小题给出的四个选项中,只有一项符合题目要求,把所选项前的字母填在题后的括号内)(7) 函数 f (x)| x | sin( x2)x( x 1)( x2)2 在下列哪个区间内有界 .(A)( 1,0).(B) (0 , 1).(C) (1 , 2).(D) (2 , 3).[ A ]【分析 】如 f (x)在 (a , b)内连续,且极限lim f ( x) 与 lim f ( x) 存在,则函数 f (x)x ax b在 (a , b)内有界 .【详解 】当 x0,1,2时, f (x)连续,而 lim f ( x)sin 3, lim f (x)sin 2 ,x118x 04lim f ( x)sin 2,lim f ( x),lim f (x),x 04x1x 2所以,函数 f (x)在 ( 1 , 0) 内有界,故选 (A).【评注 】一般地, 如函数 f (x)在闭区间 [ a , b]上连续, 则 f (x)在闭区间 [a , b]上有界; 如函数 f (x)在开区间 (a ,b)内连续,且极限lim f ( x) 与 lim f ( x) 存在,则函数f (x)在开区间 (a , b)内有界 .xax b(8) 设 f (x)在 (, + )内有定义,且lim f ( x) a ,x1g( x)f ( x ) , x,则0 , x(A) x = 0 必是 g(x)的第一类间断点 . (B) x = 0 必是 g(x)的第二类间断点 .(C) x = 0 必是 g(x)的连续点 .(D) g(x)在点 x = 0 处的连续性与a 的取值有关 . [D ]【分析 】考查极限 limg (x ) 是否存在,如存在,是否等于g(0) 即可,通过换元 1,ux 0x可将极限 lim g ( x) 转化为 lim f (x) .x 0x【详解 】因为 lim g( x) limf ( 1 ) lim f (u) = a(令 u1 ),又 g(0) = 0 ,所以,x 0xx u x当 a = 0 时, lim g ( x) g(0) ,即 g(x)在点 x = 0 处连续,当 a0 时,xlim g( x) g(0) ,即 x = 0是 g( x)的第一类间断点,因此,g(x)在点 x = 0 处的连续性x 0与 a 的取值有关,故选 (D).【评注 】本题属于基本题型,主要考查分段函数在分界点处的连续性.(9) 设 f (x) = |x(1x)|,则(A) x = 0 是 f (x)的极值点,但 (0 , 0) 不是曲线 y = f (x)的拐点 . (B) x = 0 不是 f (x)的极值点,但 (0 , 0)是曲线 y = f (x)的拐点 .(C) x = 0 是 f (x)的极值点,且 (0 , 0) 是曲线 y = f (x)的拐点 . (D) x = 0 不是 f (x)的极值点, (0 , 0) 也不是曲线y = f (x)的拐点 .[ C ]【分析 】由于 f (x)在 x = 0 处的一、二阶导数不存在,可利用定义判断极值情况,考查 f (x)在 x = 0 的左、右两侧的二阶导数的符号,判断拐点情况.【详解 】设 0 < < 1 ,当 x(, 0)(0 , )时, f (x) > 0 ,而 f (0) = 0 ,所以 x = 0 是 f (x)的极小值点 .显然, x = 0 是 f (x)的不可导点 . 当 x(, 0)时, f (x) = x(1x), f (x)2 0,当 x(0 , )时, f (x) = x(1x) , f ( x) 2 0 ,所以 (0 , 0) 是曲线 y = f (x)的拐点 .故选 (C).【评注 】对于极值情况,也可考查 f (x)在 x = 0 的某空心邻域内的一阶导数的符号来判断 .(10) 设有下列命题:(1) 若(u 2n 1 u 2n ) 收敛,则u n 收敛 .n 1n 1(2) 若u n 收敛,则u n 1000收敛.n 1n 1(3) 若 lim u n 1 1,则u 发散 .nu nnn 1(4) 若(u n v n ) 收敛,则u n ,v n 都收敛 .n 1n 1n 1则以上命题中正确的是(A) (1) (2).(B) (2) (3). (C) (3) (4). (D) (1) (4).[B ]【分析 】可以通过举反例及级数的性质来说明 4 个命题的正确性 .【详解 】 (1)是错误的,如令u(1)n ,显然,u 分散,而(uu )收敛.nn 2 n 12nn 1 n 1(2)是正确的,因为改变、增加或减少级数的有限项,不改变级数的收敛性.(3)是正确的,因为由lim un 11可得到 u不趋向于零 (n),所以u 发散.n u n n nn 1(4)是错误的,如令 un 1, vn1,显然,u ,v都发散,而n n n nn 1n 1(u n v n ) 收敛.故选(B).n 1【评注】本题主要考查级数的性质与收敛性的判别法,属于基本题型.(11) 设f ( x)在 [a , b] 上连续,且 f (a) 0, f (b)0 ,则下列结论中错误的是(A)至少存在一点 x0( a,b) ,使得 f ( x0 ) > f (a).(B)至少存在一点 x0(a, b) ,使得 f (x0 ) > f (b).(C)至少存在一点 x0 (a, b) ,使得 f ( x0 ) 0.(D) 至少存在一点x0( a,b) ,使得 f ( x0 ) = 0.[D]【分析】利用介值定理与极限的保号性可得到三个正确的选项,由排除法可选出错误选项.【详解】首先,由已知f( x) 在[a , b]上连续,且 f (a) 0, f (b)0 ,则由介值定理,至少存在一点x(a,b) ,使得 f(x) 0;00另外, f (a)lim f ( x) f (a)0,由极限的保号性,至少存在一点x0(a,b) x ax a使得f ( x)f ( a)0,即 f ( x ) f ( a) .同理,至少存在一点x(a,b)x0a00使得 f ( x0 ) f (b) .所以,(A) (B) (C)都正确,故选 (D).【评注】本题综合考查了介值定理与极限的保号性,有一定的难度.(12)设 n 阶矩阵A与B等价,则必有(A)当| A |a(a 0) 时, | B | a .(B) 当| A |a(a 0) 时, | B | a .(C) 当|A|0时, |B| 0.(D) 当|A|0时, |B| 0.[ D]【分析】利用矩阵 A 与 B 等价的充要条件:r ( A)r ( B) 立即可得.【详解】因为当 | A | 0时, r ( A) n ,又 A 与 B 等价,故r (B)n ,即| B |0 ,故选(D).【评注 】本题是对矩阵等价、行列式的考查, 属基本题型 .(13) 设 n 阶矩阵 A 的伴随矩阵 A *0, 若 ξ,ξ, ξ, ξ 是非齐次线性方程组Axb 的12 34互不相等的解,则对应的齐次线性方程组Ax 0 的基础解系(A) 不存在 .(B) 仅含一个非零解向量.(C) 含有两个线性无关的解向量. (D) 含有三个线性无关的解向量 . [ B]【分析 】 要确定基础解系含向量的个数 , 实际上只要确定未知数的个数和系数矩阵的秩 .【详解 】 因为基础解系含向量的个数= nr ( A) , 而且n,r ( A) n,r ( A * )1, r ( A) n 1, 0, r ( A) n 1.根据已知条件 A *0, 于是 r ( A) 等于 n 或 n 1 . 又 Ax b 有互不相等的解 ,即解不惟一 , 故 r ( A)n 1. 从而基础解系仅含一个解向量, 即选 (B).【评注 】本题是对矩阵 A 与其伴随矩阵 A * 的秩之间的关系、 线性方程组解的结构等多个知识点的综合考查.(14) 设随机变量X 服从正态分布N (0,1), 对给定的α (0,1), 数u α满足P{ Xα,u }α若P{| X | x} α, 则 x 等于(A)u α.(B) uα.(C)u 1 α.(D) u 1α.[ C ]2122【分析 】 利用标准正态分布密度曲线的对称性和几何意义即得.【详解】由P{| X|x} α, 以及标准正态分布密度曲线的对称性可得P{ Xx}1 α2 . 故正确答案为 (C)., 严格地说它的上分位数概念的考查.【评注 】本题是对标准正态分布的性质三、解答题 (本题共 9 小题,满分 94 分. 解答应写出文字说明、证明过程或演算步骤 .)(15) (本题满分 8 分)求 lim (1cos 2x ) . x 0sin 2 x x 2【分析 】先通分化为“”型极限,再利用等价无穷小与罗必达法则求解即可.【详解 】 lim (1 cos 2xx 2 sin 2 xcos 2 xsin 2xx 2) limx 2 sin 2 xx 0xx21sin 22x2x1sin 4 x1 cos4x 1(4 x)2= lim4lim2lim lim242.432【评注 】本题属于求未定式极限的基本题型,对于“”型极限,应充分利用等价无穷小替换来简化计算.(16) ( 本题满分 8 分 )求 ( x2y 2y)d,其中 D 是由圆 x2y24和 (x 1) 2 y 2 1 所围成的平面区域 (如图 ).D【分析 】首先,将积分区域D 分为大圆 D 1{( x, y) | x2y24} 减去小圆D 2{( x, y) | (x1)2 y 2 1} ,再利用对称性与极坐标计算即可 .【详解 】令 D{( x, y) | x2y24}, D2{( x, y) | ( x 1)2y21} ,1由对称性,yd0 .Dx 2y 2 dx 2y 2 dx 2y 2 dDD 1D 222 r 2dr 32cos r 2dr .d2 d2 016 32 16 (3 2)39 9所以,( x2y2y)d16 (32) .D9【评注 】本题属于在极坐标系下计算二重积分的基本题型,对于二重积分,经常利用对称性及将一个复杂 区域划分为两个或三个简单区域来简化计算.(17) ( 本题满分 8 分)设 f (x) , g( x)在 [a , b] 上连续,且满足x xg(t) dt ,x[a , b),b b af (t )dtf (t) dtg(t) dt .aaab b 证明:xf (x) dx xg(x)dx .aa【分析 】令 F(x) = f (x)g(x), G(x) xF (t )dt ,将积分不等式转化为函数不等式即可.a 【详解 】令 F(x) = f (x)g(x), G(x)x F (t )dt ,a由题设 G(x) 0,x [a , b],G(a) = G(b) = 0 , G (x) F ( x) .b b xG(x)bbb 从而xF ( x)dxxdG( x)G(x)dxG( x)dx ,aaaaa由于 G(x) 0, x[a , b] ,故有b0,G( x) dxab0 .即xF( x)dxab b因此xf ( x)dx xg( x)dx .a a【评注】引入变限积分转化为函数等式或不等式是证明积分等式或不等式的常用的方法.(18)(本题满分 9 分)设某商品的需求函数为Q = 100 5P,其中价格 P (0 , 20) ,Q 为需求量 .(I)求需求量对价格的弹性 E d( E d>0) ;(II)dRQ(1E d ) (其中R为收益),并用弹性E d说明价格在何范围内变化时,推导降低价格反而使dP收益增加 .【分析】由于 E> 0,所以E P dQ;由 Q=PQ 及EP dQ可推导d d Q dP d Q dP dRQ(1 E d ) .dP【详解】 (I) E dP dQ PQ dP .20 P (II)由R = PQ,得dR Q P dQ Q (1P dQ) Q (1 E d ) .dP dP Q dP又由 EP1,得P=10. d20P当 10<P<20dR0 ,时, E d> 1,于是dP故当 10<P<20时,降低价格反而使收益增加 .【评注】当 E d> 0时,需求量对价格的弹性公式为 E dP dQ P dQQ dP .Q dP 利用需求弹性分析收益的变化情况有以下四个常用的公式:dR(1E d )Qdp ,dR(1E d )Q ,dR(11) p ,dp dQ E dEREp 1 E d(收益对价格的弹性).(19)(本题满分 9 分)设级数x 4x6x 8(x)2 4 2 4 6 2 4 6 8的和函数为 S(x). 求:(I) S(x)所满足的一阶微分方程; (II) S(x)的表达式 .【分析 】对 S(x)进行求导,可得到 S(x)所满足的一阶微分方程,解方程可得S(x)的表达式 .【详解 】 (I) S(x) x 4 x6x 8 ,2 42 46 246 8易见S(0) = 0,S (x)x 3 x 5 x 72 2 4 2 4 6x(x 2 x 4x 6)2 2 4 2 4 6x[ x 2 S( x)] .2因此 S(x)是初值问题yxyx 30的解.2 , y(0)(II) 方程 yxyx 3的通解为2y exdxx 3 xdxC ][ edx2x 2x 21 Ce2,2由初始条件 y(0) = 0 ,得 C = 1.x 2 x 2x 2x 2故 ye 21 ,因此和函数 S( x)e 21 . 22【评注 】本题综合了级数求和问题与微分方程问题, 2002 年考过类似的题 .(20)( 本题满分 13 分 )设α1 (1,2,0)T ,α2(1,α2, 3α)T ,α ( 1, b 2, α 2b) T,β (1,3, 3)T ,3试讨论当 a,b 为何值时 ,(Ⅰ )β不能由 α1, α2 , α3 线性表示 ;(Ⅱ )β可由α1,α2 , α3唯一地线性表示 , 并求出表示式 ;(Ⅲ )β可由α1,α2 , α3线性表示 , 但表示式不唯一 , 并求出表示式 .【分析】将可否由α1,α2,α3线性表示的问题转化为线性方程组k1α1 k2α2 k3α3ββ是否有解的问题即易求解.【详解】设有数 k1, k2 , k3 , 使得k1α kαk αβ(*)12 2 3 3.记 A(α1, α2 , α3 ) .对矩阵 ( A, β)施以初等行变换, 有1111( A, β)2a2b2303a a 2b3 (Ⅰ ) 当a0时,有1111(A, β)00b 1 .0001可知 r ( A)r ( A, β) .故方程组 (*) 无解 ,β不能由11110a b 1 .00 a b0α,α ,α 线性表示.123(Ⅱ ) 当a0 ,且 a b 时,有100111111a( A, β)0a b 10101 a00 a b00010 r ( A) r ( A, β) 3 ,方程组(*)有唯一解:k1 1 1,k 21, k30.a a此时β可由α1,α2,α3唯一地线性表示,其表示式为β(11 α1α2.a)1a(Ⅲ ) 当a b 0时 ,对矩阵 ( A, β) 施以初等行变换,有100111111a1( A, β)0a b 1011,a00 a b00000r ( A) r ( A, β) 2 ,方程组 (*) 有无穷多解,其全部解为k111,k21 c ,k3 c ,其中 c 为任意常数.a aβ 可由α1,α2,α3线性表示,但表示式不唯一 ,其表示式为β(11 α1c) α2cα3.a)1( a【评注】本题属于常规题型,曾考过两次 (1991, 2000).(21)(本题满分 13 分)设n 阶矩阵1b bA b1b.b b1(Ⅰ ) 求A的特征值和特征向量;(Ⅱ )求可逆矩阵 P ,使得 P 1 AP为对角矩阵.【分析】这是具体矩阵的特征值和特征向量的计算问题, 通常可由求解特征方程| λE A |0和齐次线性方程组(λE A)x0来解决.【详解】(Ⅰ ) 1 当 b 0 时,λ 1b b| λE A |bλ 1bb bλ1= [ λ 1(n1)b][ λ (1 b)] n 1,得 A 的特征值为λ1(n1)b ,λλ1 b .12n 对λ 1(n1)b ,1(n1)b b b( n1)11λ1E Ab(n1)b b1(n1)1b b(n1)b11(n 1)n11111111n1n 1111n 11111n1111n1100000000111 1 n10010n0n010100n n001100000000解得ξ (1,1,1,,1) T,所以A的属于λ的全部特征向量为11kξ1k (1,1,1,,1)T( k为任意不为零的常数) .对λ 1 b ,2b b b111λ2E Ab b b000b b b000得基础解系为ξ2(1,1,0,,0)T,ξ3(1,0,1,,0)T,, ξn(1,0,0,, 1)T.故 A 的属于λ的全部特征向量为2k 2ξ2k3ξ3k nξn( k2, k3,, k n是不全为零的常数).2 当 b0 时,λ 100| λE A |0λ10(λ 1)n,00λ 1特征值为λλ1,任意非零列向量均为特征向量.1n( Ⅱ ) 1 当 b 0 时,A 有 n 个线性无关的特征向量,令 Pξ ξ ξ ,则(1 ,2 , ,n )1(n 1)bP 1AP1 b1 b2当 b 0 时, AE ,对任意可逆矩阵 P , 均有P 1APE.【评注 】本题通过考查矩阵的特征值和特征向量而间接考查了行列式的计算, 齐次线性方程组的求解和矩阵的对角化等问题 ,属于有一点综合性的试题. 另外 ,本题的解题思路是容易的, 只要注意矩阵中含有一个未知参数 , 从而一般要讨论其不同取值情况 .(22) ( 本题满分 13 分 )设 A , B 为两个随机事件 ,且 P( A)1P(B | A) 11,, P(A|B), 令4321,发生,1,发生,XAYB, 不发生,, B 不发生 .0 A求(Ⅰ ) 二维随机变量 ( X ,Y) 的概率分布 ;(Ⅱ )X 与 Y 的相关系数 ρXY ;(Ⅲ ) Z X 2Y 2 的概率分布 .【分析 】本题的关键是求出 ( X ,Y) 的概率分布,于是只要将二维随机变量 ( X ,Y) 的各取值对转化为随机事件 A 和 B 表示即可.【详解】(Ⅰ ) 因为 P( AB)P( A)P( B | A)1 于是 P( B)P( AB) 1,P(A | B),126则有P{ X1,Y 1}1P( AB),12 1P{ X1,Y0} P( AB)P( A) P( AB),6P{ X 0,Y1} P( AB)P(B) P( AB) 1 ,122P{ X 0,Y0} P( A B) 1P(AB) 1 [P(A) P( B) P( AB)],1 112 3( 或P{ X0,Y 0}16 12),123即 ( X ,Y) 的概率分布为:YX01021 312111 612(Ⅱ )方法一:因为EX P( A)11, E( XY)1, EY P(B)6,412EX 2P( A)1,EY2P(B) 1 ,436(EY)25DX EX 2(EX )2, DY EY 2,16116Cov ( X ,Y)E( XY)EXEY,24所以 X 与 Y 的相关系数ρCov( X ,Y)1 1 5.XY DX DY 1 5 1 5方法二:X, Y的概率分布分别为X01Y01P 31P51 4466则 EX 1,EY1, DX3, DY=5, E(XY)=1, 461613612故 Cov ( X ,Y )E(XY)EX EY,从而24XY Cov( X ,Y )15 .DX DY15 (Ⅲ ) Z的可能取值为:0,1, 2.P{ Z0}P{ X0,Y0}2,31P{ Z1}P{ X1, Y0}P{ X0,Y1},41P{ Z2}P{ X1, Y1},12即 Z 的概率分布为:Z012P2113412【评注】本题考查了二维离散随机变量联合概率分布,数字特征和二维离散随机变量函数的分布等计算问题,属于综合性题型(23) ( 本题满分13 分 )设随机变量X 的分布函数为β1αx,F ( x, α,β)αxx,α,其中参数α 0, β1.设 X1,X2,, X n为来自总体X的简单随机样本,(Ⅰ )当α 1时 ,求未知参数β的矩估计量 ;(Ⅱ )当α 1时 ,求未知参数β的最大似然估计量 ;(Ⅲ )当β 2 时,求未知参数α的最大似然估计量 .【分析】本题是一个常规题型, 只要注意求连续型总体未知参数的矩估计和最大似然估计都须已知密度函数,从而先由分布函数求导得密度函数.【详解】当α 1 时, X 的概率密度为f(xβββ1 ,x1,,)xx1,0,(Ⅰ )由于ββEX xf ( x; β)dx1xx β 1dx,β 1令βX ,解得βX,β 1X1所以 , 参数β的矩估计量为βX. X1(Ⅱ )对于总体 X 的样本值x1, x2,, x n,似然函数为nnβL ( β) f (x i ;α)(x1x2x n)β 1,x i1(i 1,2, , n),i 10,其他.当 x i1(i1,2,, n) 时,L ( β)0,取对数得nln L( β)n ln β ( β 1)i 1ln x i,对β求导数,得d[ln L( β)]nnln x i ,d ββ i 1d[ln L ( β)]nn ln x i 0 ,n令解得 β n ,d ββ i 1ln xi i 1于是β的最大似然估计量为? βn n.ln x ii 1( Ⅲ ) 当 β2 时 , X 的概率密度为2α,f ( x, β)23 ,xxα, x,α对于总体 X 的样本值 x 1, x 2 ,, x n , 似然函数为n 2nn2 α, x i α(i 1,2, , n), L ( β)f (x i ; α)( x 1 x 2 x n ) 3 i 10, 其他 .当 x α(i1,2,, n)时 , ααi越大, L(α) 越大 , 即的最大似然估计值为α?m in{ x 1 , x 2 , , x n } ,于是 α的最大似然估计量为? , X 2 , , X n } . α min{ X 1。
考研数学三(微积分)历年真题试卷汇编15(题后含答案及解析)

考研数学三(微积分)历年真题试卷汇编15(题后含答案及解析) 题型有:1. 选择题 2. 填空题 3. 解答题选择题下列每题给出的四个选项中,只有一个选项符合题目要求。
1.(2005年)当a取值为( )时,函数f(x)=2x3一9x2+12x—a恰有两个不同的零点。
A.2。
B.4。
C.6。
D.8。
正确答案:B解析:由f’(x)=6x2一18x+12=6(x一1)(x一2),知可能极值点为x=1,x=2,当x<1和x>2时,函数单调增加,1<x<2时,函数单调减小,且f(1)=5一a,f(2)=4一a。
可见当a=4时,f(1)=1>0,且=一∞,由单调性和零点存在性定理可知,函数在(-∞,1)上有唯一的零点,而此时f(2)=0,在(1,2)和(2,+∞)上无零点,因此a=4时,f(x)恰好有两个零点。
故应选B。
知识模块:微积分2.(2001年)设函数f(x)的导数在x=a处连续,又,则( )A.x=a是f(x)的极小值点。
B.x=a是f(x)的极大值点。
C.(a,f(a))是曲线y=f(x)的拐点。
D.x=a不是f(x)的极值点,(a,f(a))也不是曲线y=f(x)的拐点。
正确答案:B解析:又函数f(x)的导数在x=a处连续,根据函数在某点连续的定义,左极限等于右极限且等于函数在该点的值,所以f’(a)=0,于是即f’(a)=0,f”(a)=一1<0,根据判定极值的第二充分条件知x=a是f(x)的极大值点,因此,正确选项为B。
知识模块:微积分3.(2004年)设f(x)=|x(1-x)|,则( )A.x=0是f(x)的极值点,但(0,0)不是曲线y=f(x)的拐点。
B.x=0不是f(x)的极值点,但(0,0)是曲线y=f(x)的拐点。
C.x=0是f(x)的极值点,且(O,O)是曲线y=f(x)的拐点。
D.x=0不是f(x)的极值点,(0,0)也不是曲线y=f(x)的拐点。
正确答案:C解析:令φ(x)=x(x一1),则φ(x)=是以直线x=为对称轴,顶点坐标为开口向上的一条抛物线,与x轴相交的两点坐标为(0,0),(1,0),f(x)=|φ(x)|的图形如图。
考研数学三真题完整版 .doc

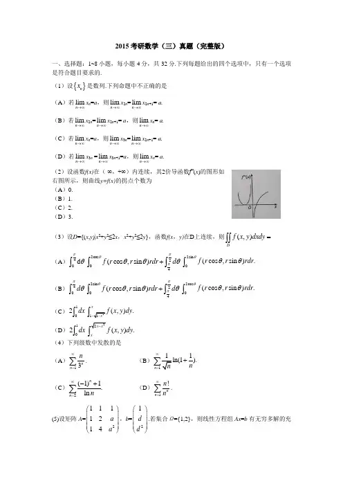
2015考研数学(三)真题(完整版)一、选择题:1~8小题,每小题4分,共32分.下列每题给出的四个选项中,只有一个选项 是符合题目要求的.(1)设{}n x 是数列.下列命题中不正确的是 (A )若lim n →∞x n =a ,则lim n →∞x 2n =lim n →∞x 2n +1= a.(B )若lim n →∞x 2n =lim n →∞x 2n +1= a ,则lim n →∞x n = a.(C )若lim n →∞x n =a ,则lim n →∞x 3n =lim n →∞x 2n +1= a.(D )若lim n →∞x 3n =lim n →∞x 3n +1=a ,则lim n →∞x n = a.(2)设函数f(x)在(-∞,+∞)内连续,其2价导函数f″(x )的图形如右图所示,则曲线y=f(x)的拐点个数为 (A )0. (B )1. (C )2. (D )3.(3)设D ={(x ,y )|x 2+y 2≤2x ,x 2+y 2≤2y },函数f(x ,y)在D 上连续,则(,)Df x y dxdy =⎰⎰(A )40d πθ⎰2cos 204(cos ,sin )f r r rdr d πθπθθθ+⎰⎰2sin 0(cos ,sin ).f r r rdr θθθ⎰(B )40d πθ⎰2sin 204(cos ,sin )f r r rdr d πθπθθθ+⎰⎰2cos 0(cos ,sin ).f r r rdr θθθ⎰(C )102dx⎰211(,).xx f x y dy --⎰(D )102dx⎰22(,).x x xf x y dy -⎰(4)下列级数中发散的是(A )13n n n∞=∑.(B )11ln(1).n n n∞=+∑(C )2(1)1.ln n n n ∞=-+∑(D )1!n n n n ∞=∑. (5)设矩阵A =21111214a a ⎛⎫ ⎪ ⎪ ⎪⎝⎭,b =21d d ⎛⎫⎪⎪ ⎪⎝⎭.若集合Ω={1,2},则线性方程组Ax =b 有无穷多解的充分必要条件为 (A ),.a d ∉Ω∉Ω (B ),.a d ∉Ω∈Ω (C ),.a d ∈Ω∉Ω(D ),.a d ∈Ω∈Ω(6)设二次型123(,,)f x x x 在正交交换x py =下的标准形为2221232.y y y +-,其中123(,,)p e e e =.若132(,,)Q e e e =-,则123(,,)x x x 在正交交换下x Qy =的标准形为(A )2221232.y y y -+ (B )2221232.y y y +- (C )2221232y y y --(D )2221232y y y ++(7)若A ,B 为任意两个随机事件,则 (A )()()().P AB P A P B ≤(B )()()().P AB P A P B ≥(C )()P AB ≤()().2P A P B +(D )()P AB ≥()().2P A P B +(8)设总体X ~B (m ,θ),x 1,x 2…,x n 为来自该总体的简单随机样本,X 为样本均值,则21()n i i E X X =⎡⎤-=⎢⎥⎢⎥⎣⎦∑ (A )()()11m n θθ--(B )()()11m n θθ-- (C )()()1(1)1m n θθ---(D )()1mn θθ-二、填空题:9~14小题,每小题4分,共24分. (9)2ln(cos )limx x x→∞= . (10)设函数()f x 连续,2()().x x xf t dt ϕ=⎰若(1)1ϕ=,(1)ϕ'=5,则()1f = .(11)若函数(),z z x y =由方程23e1x y zxyz +++=确定,则()0,0d z= .(12)设函数()y y x =是微分方程20y y y '''+-=的解,且在0x =处()y x 取得极值3,则()y x = .(13)设3阶矩阵A 的特征值为2,-2,1,B=A 2- A+E ,其中E 为3阶单位矩阵,则行列式B = .(14)设二维随机变量(X ,Y )服从正态分布N (1,0;1,1;0),则P {XY -Y <0}= .三、解答题:15~23小题,共94分.解答应写出文字说明、证明过程或验算步骤.(15)(本题满分10分)设函数3()ln(1)sin ,().f x x a x bx x g x kx =+++=若()f x 与()g x 在0x →时是等价无穷小,求,,a b k 的值.(16)(求本题满分10分)计算二重积分()d d ,Dx x y x y +⎰⎰其中222{(,)|2,}.D x y x y y x =+≤≥(17)(本题满分10分) 为了实现利润最大化,厂商需要对某商品确定其定价模型,设Q 为该商品的需求量,p 为价格,MC 为边际成本,η为需求弹性(η>0). (Ⅰ)证明定价模型为:11MCp η=-(Ⅱ)若该商品的成本函数为2()1600,C Q Q =+需求函数为40,Q p =-试由(Ⅰ)中的定价模型确定此商品的价格.(18)(本题满分10分)设函数()f x 在定义域I 上的导数大于零.若对任意的0,x I ∈曲线()y f x =在点00(,())x f x 处的切线与直线0x x =及x 轴所围成区域的面积恒为4,且(0)2,f =求()f x 的表达式.(19)(本题满分10分)(Ⅰ)设函数(),()u x v x 可导,利用导数定义证明[()()]()()()():u x v x u x v x u x v x '''=+ (Ⅱ)设函数12(),(),,()n u x u x u x K 可导,12()()()(),n f x u x u x u x =L 写出()f x 的求导公式. (20)(本题满分11分)设矩阵1011,01a A a a ⎛⎫⎪=- ⎪ ⎪⎝⎭且30.A =(Ⅰ)求a 的值;(Ⅱ)若矩阵X 满足22,X XA AX AXA E --+=其中E 为3阶单位矩阵,求X . (21)(本题满分11分)设矩阵02313312A a -⎛⎫ ⎪=-- ⎪ ⎪-⎝⎭相似于矩阵12000.031B b -⎛⎫ ⎪= ⎪ ⎪⎝⎭(Ⅰ)求,a b 的值;(Ⅱ)求可逆矩阵P ,使1P AP -为对角矩阵.(22)(本题满分11分)设随机变量X 的概率密度为2ln 2,0,()0,0x x f x x -⎧>=⎨≤⎩对X 进行独立重复的观测,直到第2个大于3的观测值出现时停止,记Y 为观测次数.(Ⅰ)求Y 的概率分布; (Ⅱ) 求EY .(23)(本题满分11分) 设总体X 的概率密度为1,1,(:)10,x f x θθθ⎧≤≤⎪=-⎨⎪⎩其他, 其中θ为未知参数,12,,,n X X X L 为来自该总体的简单随机样本. (Ⅰ)求θ的矩估计量;(Ⅱ)求θ的最大似然估计量.。
2004年考研数学三真题及解析

2004年考研数学(三)真题一、填空题(本题共6小题,每小题4分,满分24分. 把答案填在题中横线上) (1) 若5)(cos sin lim=--→b x ae x xx ,则a =______,b =______.(2) 设函数f (u , v )由关系式f [xg (y ) , y ] = x + g (y )确定,其中函数g (y )可微,且g (y ) ≠ 0,则2f u v∂=∂∂.(3) 设⎪⎩⎪⎨⎧≥-<≤-=21,12121,)(2x x xe x f x ,则212(1)f x dx -=⎰.(4) 二次型213232221321)()()(),,(x x x x x x x x x f ++-++=的秩为 . (5) 设随机变量X 服从参数为λ的指数分布, 则=>}{DX X P _______.(6) 设总体X 服从正态分布),(21σμN , 总体Y 服从正态分布),(22σμN ,1,,21n X X X 和 2,,21nY Y Y 分别是来自总体X 和Y 的简单随机样本, 则12221112()()2n n i j i j X X Y Y E n n ==⎡⎤-+-⎢⎥⎢⎥=⎢⎥+-⎢⎥⎢⎥⎣⎦∑∑.二、选择题(本题共6小题,每小题4分,满分24分. 每小题给出的四个选项中,只有一项符合题目要求,把所选项前的字母填在题后的括号内) (7) 函数2)2)(1()2sin(||)(---=x x x x x x f 在下列哪个区间内有界. (A) (-1 , 0). (B) (0 , 1).(C) (1 , 2).(D) (2 , 3). [ ](8) 设f (x )在(-∞ , +∞)内有定义,且a x f x =∞→)(lim , ⎪⎩⎪⎨⎧=≠=0,00,)1()(x x x f x g ,则(A) x = 0必是g (x )的第一类间断点. (B) x = 0必是g (x )的第二类间断点.(C) x = 0必是g (x )的连续点.(D) g (x )在点x = 0处的连续性与a 的取值有关. [ ] (9) 设f (x ) = |x (1 - x )|,则(A) x = 0是f (x )的极值点,但(0 , 0)不是曲线y = f (x )的拐点. (B) x = 0不是f (x )的极值点,但(0 , 0)是曲线y = f (x )的拐点. (C) x = 0是f (x )的极值点,且(0 , 0)是曲线y = f (x )的拐点.(D) x = 0不是f (x )的极值点,(0 , 0)也不是曲线y = f (x )的拐点. [ ] (10) 设有下列命题:(1) 若∑∞=-+1212)(n n n u u 收敛,则∑∞=1n n u 收敛.(2) 若∑∞=1n n u 收敛,则∑∞=+11000n n u 收敛.(3) 若1lim1>+∞→nn n u u ,则∑∞=1n n u 发散.(4) 若∑∞=+1)(n n n v u 收敛,则∑∞=1n n u ,∑∞=1n n v 都收敛.则以上命题中正确的是(A) (1) (2). (B) (2) (3).(C) (3) (4). (D) (1) (4). [ ](11) 设)(x f '在[a , b]上连续,且0)(,0)(<'>'b f a f ,则下列结论中错误的是 (A) 至少存在一点),(0b a x ∈,使得)(0x f > f (a ). (B) 至少存在一点),(0b a x ∈,使得)(0x f > f (b ). (C) 至少存在一点),(0b a x ∈,使得0)(0='x f .(D) 至少存在一点),(0b a x ∈,使得)(0x f = 0.[ D ](12) 设n 阶矩阵A 与B 等价, 则必有(A) 当)0(||≠=a a A 时, a B =||. (B) 当)0(||≠=a a A 时, a B -=||. (C) 当0||≠A 时, 0||=B . (D) 当0||=A 时, 0||=B . [ ] (13) 设n 阶矩阵A 的伴随矩阵,0*≠A 若4321,,,ξξξξ是非齐次线性方程组 b Ax =的互不相等的解,则对应的齐次线性方程组0=Ax 的基础解系 (A) 不存在. (B) 仅含一个非零解向量.(C) 含有两个线性无关的解向量. (D) 含有三个线性无关的解向量.[ ](14) 设随机变量X 服从正态分布)1,0(N , 对给定的)1,0(∈α, 数αu 满足αu X P α=>}{,若αx X P =<}|{|, 则x 等于 (A) 2αu . (B) 21αu-. (C) 21αu -. (D) αu -1. [ ]三、解答题(本题共9小题,满分94分. 解答应写出文字说明、证明过程或演算步骤.) (15) (本题满分8分)求)cos sin1(lim 222xx xx -→.(16) (本题满分8分)求⎰⎰++Dd y yx σ)(22,其中D 是由圆422=+y x 和1)1(22=++y x 所围成的平面区域(如图).(17) (本题满分8分) 设f (x ) , g (x )在[a , b ]上连续,且满足⎰⎰≥xaxadt t g dt t f )()(,x ∈ [a , b ),⎰⎰=ba badt t g dt t f )()(.证明:⎰⎰≤ba ba dx x xg dx x xf )()(.(18) (本题满分9分) 设某商品的需求函数为Q = 100 - 5P ,其中价格P ∈ (0 , 20),Q 为需求量. (I) 求需求量对价格的弹性d E (d E > 0);(II) 推导)1(d E Q dPdR -=(其中R 为收益),并用弹性d E 说明价格在何范围内变化时,降低价格反而使收益增加. (19) (本题满分9分) 设级数)(864264242864+∞<<-∞+⋅⋅⋅+⋅⋅+⋅x xxx的和函数为S (x ). 求:(I) S (x )所满足的一阶微分方程; (II) S (x )的表达式. (20)(本题满分13分)设T α)0,2,1(1=, T ααα)3,2,1(2-+=, Tb αb α)2,2,1(3+---=, Tβ)3,3,1(-=,试讨论当b a ,为何值时,(Ⅰ) β不能由321,,ααα线性表示;(Ⅱ) β可由321,,ααα唯一地线性表示, 并求出表示式;(Ⅲ) β可由321,,ααα线性表示, 但表示式不唯一, 并求出表示式. (21) (本题满分13分) 设n 阶矩阵⎪⎪⎪⎪⎪⎭⎫⎝⎛=111bb b bb b A . (Ⅰ) 求A 的特征值和特征向量; (Ⅱ) 求可逆矩阵P , 使得AP P 1-为对角矩阵.(22) (本题满分13分)设A ,B 为两个随机事件,且41)(=A P , 31)|(=A B P , 21)|(=B A P , 令⎩⎨⎧=不发生,,发生,A A X 0,1 ⎩⎨⎧=.0,1不发生,发生,B B Y 求(Ⅰ) 二维随机变量),(Y X 的概率分布; (Ⅱ) X 与Y 的相关系数 XY ρ; (Ⅲ) 22Y XZ +=的概率分布.(23) (本题满分13分)设随机变量X 的分布函数为⎪⎩⎪⎨⎧≤>⎪⎭⎫ ⎝⎛-=,,,αx αx x αβαx F β0,1),,(其中参数1,0>>βα. 设n X X X ,,,21 为来自总体X 的简单随机样本,(Ⅰ) 当1=α时, 求未知参数β的矩估计量; (Ⅱ) 当1=α时, 求未知参数β的最大似然估计量; (Ⅲ) 当2=β时, 求未知参数α的最大似然估计量.2004年考研数学(三)真题解析一、填空题(本题共6小题,每小题4分,满分24分. 把答案填在题中横线上) (1) 若5)(cos sin lim=--→b x ae x xx ,则a =1,b =4-.【分析】本题属于已知极限求参数的反问题. 【详解】因为5)(cos sin lim=--→b x ae x xx ,且0)(cos sin lim 0=-⋅→b x x x ,所以0)(lim 0=-→a e xx ,得a = 1. 极限化为51)(cos lim)(cos sin lim=-=-=--→→b b x xx b x ae x x xx ,得b = -4.因此,a = 1,b = -4. 【评注】一般地,已知)()(limx g x f = A ,(1) 若g (x ) → 0,则f (x ) → 0;(2) 若f (x ) → 0,且A ≠ 0,则g (x ) → 0.(2) 设函数f (u , v )由关系式f [xg (y ) , y ] = x + g (y )确定,其中函数g (y )可微,且g (y ) ≠ 0,则)()(22v g v g vu f '-=∂∂∂.【分析】令u = xg (y ),v = y ,可得到f (u , v )的表达式,再求偏导数即可. 【详解】令u = xg (y ),v = y ,则f (u , v ) =)()(v g v g u +,所以,)(1v g uf =∂∂,)()(22v g v g vu f '-=∂∂∂.(3) 设⎪⎩⎪⎨⎧≥-<≤-=21,12121,)(2x x xe x f x ,则21)1(221-=-⎰dx x f .【分析】本题属于求分段函数的定积分,先换元:x - 1 = t ,再利用对称区间上奇偶函数的积分性质即可.【详解】令x - 1 = t ,⎰⎰⎰--==-121121221)()()1(dt x f dt t f dx x f=21)21(0)1(12121212-=-+=-+⎰⎰-dx dx xex.【评注】一般地,对于分段函数的定积分,按分界点划分积分区间进行求解. (4) 二次型213232221321)()()(),,(x x x x x x x x x f ++-++=的秩为 2 .【分析】二次型的秩即对应的矩阵的秩, 亦即标准型中平方项的项数, 于是利用初等变换或配方法均可得到答案. 【详解一】因为213232221321)()()(),,(x x x x x x x x x f ++-++=323121232221222222x x x x x x x x x -++++=于是二次型的矩阵为 ⎪⎪⎪⎭⎫⎝⎛--=211121112A , 由初等变换得 ⎪⎪⎪⎭⎫⎝⎛--→⎪⎪⎪⎭⎫⎝⎛---→000330211330330211A , 从而 2)(=A r , 即二次型的秩为2.【详解二】因为213232221321)()()(),,(x x x x x x x x x f ++-++=323121232221222222x x x x x x x x x -++++= 2322321)(23)2121(2x x x x x -+++=2221232y y +=,其中 ,21213211x x x y ++= 322x x y -=.所以二次型的秩为2.(5) 设随机变量X 服从参数为λ的指数分布, 则=>}{DX X Pe1.【分析】 根据指数分布的分布函数和方差立即得正确答案.【详解】 由于21λDX =, X 的分布函数为⎩⎨⎧≤>-=-.0,0,0,1)(x x e x F x λ故=>}{DX X P =≤-}{1DX X P =≤-}1{1λX P )1(1λF -e1=. 【评注】本题是对重要分布, 即指数分布的考查, 属基本题型.(6) 设总体X 服从正态分布),(21σμN , 总体Y 服从正态分布),(22σμN ,1,,21n XX X 和 2,,21n Y Y Y 分别是来自总体X 和Y 的简单随机样本, 则22121212)()(21σn n Y Y X X En j j n i i =⎥⎥⎥⎥⎥⎦⎤⎢⎢⎢⎢⎢⎣⎡-+-+-∑∑==.【分析】利用正态总体下常用统计量的数字特征即可得答案. 【详解】因为 2121])(11[1σX X n E n i i=--∑=, 2122])(11[2σY Y n E n j j=--∑=,故应填 2σ.【评注】本题是对常用统计量的数字特征的考查.二、选择题(本题共6小题,每小题4分,满分24分. 每小题给出的四个选项中,只有一项符合题目要求,把所选项前的字母填在题后的括号内) (7) 函数2)2)(1()2sin(||)(---=x x x x x x f 在下列哪个区间内有界. (A) (-1 , 0). (B) (0 , 1).(C) (1 , 2).(D) (2 , 3). [ A ] 【分析】如f (x )在(a , b )内连续,且极限)(limx f ax +→与)(limx f bx -→存在,则函数f (x )在(a , b )内有界.【详解】当x ≠ 0 , 1 , 2时,f (x )连续,而183sin )(lim1-=+-→x f x ,42sin )(lim-=-→x f x ,42sin )(lim=+→x f x ,∞=→)(lim 1x f x ,∞=→)(lim 2x f x ,所以,函数f (x )在(-1 , 0)内有界,故选(A).【评注】一般地,如函数f (x )在闭区间[a , b ]上连续,则f (x )在闭区间[a , b ]上有界;如函数f (x )在开区间(a , b )内连续,且极限)(limx f ax +→与)(limx f bx -→存在,则函数f (x )在开区间(a , b )内有界.(8) 设f (x )在(-∞ , +∞)内有定义,且a x f x =∞→)(lim ,⎪⎩⎪⎨⎧=≠=0,00,)1()(x x xf xg ,则 (A) x = 0必是g (x )的第一类间断点. (B) x = 0必是g (x )的第二类间断点.(C) x = 0必是g (x )的连续点.(D) g (x )在点x = 0处的连续性与a 的取值有关. [ D ] 【分析】考查极限)(lim 0x g x →是否存在,如存在,是否等于g (0)即可,通过换元xu 1=,可将极限)(lim 0x g x →转化为)(lim x f x ∞→.【详解】因为)(lim )1(lim )(lim 00u f xf xg u x x ∞→→→=== a (令x u 1=),又g (0) = 0,所以,当a = 0时,)0()(lim 0g x g x =→,即g (x )在点x = 0处连续,当a ≠ 0时,)0()(lim 0g x g x ≠→,即x = 0是g (x )的第一类间断点,因此,g (x )在点x = 0处的连续性与a 的取值有关,故选(D).【评注】本题属于基本题型,主要考查分段函数在分界点处的连续性. (9) 设f (x ) = |x (1 - x )|,则(A) x = 0是f (x )的极值点,但(0 , 0)不是曲线y = f (x )的拐点. (B) x = 0不是f (x )的极值点,但(0 , 0)是曲线y = f (x )的拐点. (C) x = 0是f (x )的极值点,且(0 , 0)是曲线y = f (x )的拐点.(D) x = 0不是f (x )的极值点,(0 , 0)也不是曲线y = f (x )的拐点. [ C ] 【分析】由于f (x )在x = 0处的一、二阶导数不存在,可利用定义判断极值情况,考查f (x )在x = 0的左、右两侧的二阶导数的符号,判断拐点情况.【详解】设0 < δ < 1,当x ∈ (-δ , 0) ⋃ (0 , δ)时,f (x ) > 0,而f (0) = 0,所以x = 0是f (x )的极小值点. 显然,x = 0是f (x )的不可导点. 当x ∈ (-δ , 0)时,f (x ) = -x (1 - x ),02)(>=''x f ,当x ∈ (0 , δ)时,f (x ) = x (1 - x ),02)(<-=''x f ,所以(0 , 0)是曲线y = f (x )的拐点.故选(C).【评注】对于极值情况,也可考查f (x )在x = 0的某空心邻域内的一阶导数的符号来判断. (10) 设有下列命题:(1) 若∑∞=-+1212)(n n n u u 收敛,则∑∞=1n n u 收敛.(2) 若∑∞=1n n u 收敛,则∑∞=+11000n n u 收敛.(3) 若1lim1>+∞→nn n u u ,则∑∞=1n n u 发散.(4) 若∑∞=+1)(n n n v u 收敛,则∑∞=1n n u ,∑∞=1n n v 都收敛.则以上命题中正确的是 (A) (1) (2). (B) (2) (3). (C) (3) (4). (D) (1) (4). [ B ]【分析】可以通过举反例及级数的性质来说明4个命题的正确性.【详解】(1)是错误的,如令nn u )1(-=,显然,∑∞=1n n u 分散,而∑∞=-+1212)(n n n u u 收敛.(2)是正确的,因为改变、增加或减少级数的有限项,不改变级数的收敛性. (3)是正确的,因为由1lim1>+∞→nn n u u 可得到n u 不趋向于零(n → ∞),所以∑∞=1n n u 发散.(4)是错误的,如令nv nu n n 1,1-==,显然,∑∞=1n n u ,∑∞=1n n v 都发散,而∑∞=+1)(n n n v u 收敛. 故选(B).【评注】本题主要考查级数的性质与收敛性的判别法,属于基本题型.(11) 设)(x f '在[a , b]上连续,且0)(,0)(<'>'b f a f ,则下列结论中错误的是 (A) 至少存在一点),(0b a x ∈,使得)(0x f > f (a ). (B) 至少存在一点),(0b a x ∈,使得)(0x f > f (b ). (C) 至少存在一点),(0b a x ∈,使得0)(0='x f .(D) 至少存在一点),(0b a x ∈,使得)(0x f = 0.[ D ]【分析】利用介值定理与极限的保号性可得到三个正确的选项,由排除法可选出错误选项. 【详解】首先,由已知)(x f '在[a , b]上连续,且0)(,0)(<'>'b f a f ,则由介值定理,至少存在一点),(0b a x ∈,使得0)(0='x f ;另外,0)()(lim)(>--='+→ax a f x f a f ax ,由极限的保号性,至少存在一点),(0b a x ∈使得0)()(00>--ax a f x f ,即)()(0a f x f >. 同理,至少存在一点),(0b a x ∈使得)()(0b f x f >. 所以,(A) (B) (C)都正确,故选(D).【评注】 本题综合考查了介值定理与极限的保号性,有一定的难度. (12) 设n 阶矩阵A 与B 等价, 则必有(A) 当)0(||≠=a a A 时, a B =||. (B) 当)0(||≠=a a A 时, a B -=||. (C) 当0||≠A 时, 0||=B . (D) 当0||=A 时, 0||=B . [ D ] 【分析】 利用矩阵A 与B 等价的充要条件: )()(B r A r =立即可得.【详解】因为当0||=A 时, n A r <)(, 又 A 与B 等价, 故n B r <)(, 即0||=B , 故选(D).【评注】本题是对矩阵等价、行列式的考查, 属基本题型.(13) 设n 阶矩阵A 的伴随矩阵,0*≠A 若4321,,,ξξξξ是非齐次线性方程组 b Ax =的 互不相等的解,则对应的齐次线性方程组0=Ax 的基础解系 (A) 不存在. (B) 仅含一个非零解向量.(C) 含有两个线性无关的解向量. (D) 含有三个线性无关的解向量. [ B ] 【分析】 要确定基础解系含向量的个数, 实际上只要确定未知数的个数和系数矩阵的秩. 【详解】 因为基础解系含向量的个数=)(A r n -, 而且⎪⎩⎪⎨⎧-<-===.1)(,0,1)(,1,)(,)(*n A r n A r n A r n A r 根据已知条件,0*≠A 于是)(A r 等于n 或1-n . 又b Ax =有互不相等的解, 即解不惟一, 故1)(-=n A r . 从而基础解系仅含一个解向量, 即选(B).【评注】本题是对矩阵A 与其伴随矩阵*A 的秩之间的关系、线性方程组解的结构等多个知识点的综合考查. (14) 设随机变量X 服从正态分布)1,0(N , 对给定的)1,0(∈α, 数αu 满足αu X P α=>}{,若αx X P =<}|{|, 则x 等于 (A) 2αu . (B) 21αu-. (C) 21αu -. (D) αu -1. [ C ]【分析】 利用标准正态分布密度曲线的对称性和几何意义即得. 【详解】 由αx X P =<}|{|, 以及标准正态分布密度曲线的对称性可得21}{αx X P -=>. 故正确答案为(C).【评注】本题是对标准正态分布的性质, 严格地说它的上分位数概念的考查.三、解答题(本题共9小题,满分94分. 解答应写出文字说明、证明过程或演算步骤.) (15) (本题满分8分) 求)cos sin1(lim 222xx xx -→.【分析】先通分化为“0”型极限,再利用等价无穷小与罗必达法则求解即可.【详解】xx xx x xx xx x 222220222sincos sinlim)cos sin1(lim -=-→→=346)4(21lim 64cos 1lim44sin 212lim2sin 41lim22230422==-=-=-→→→→xx xx xxx xxx x x x x .【评注】本题属于求未定式极限的基本题型,对于“00”型极限,应充分利用等价无穷小替换来简化计算.(16) (本题满分8分) 求⎰⎰++Dd y yx σ)(22,其中D 是由圆422=+y x 和1)1(22=++y x 所围成的平面区域(如图).【分析】首先,将积分区域D 分为大圆}4|),{(221≤+=y x y x D 减去小圆}1)1(|),{(222≤++=y x y x D ,再利用对称性与极坐标计算即可.【详解】令}1)1(|),{(},4|),{(222221≤++=≤+=y x y x D y x y x D ,由对称性,0=⎰⎰Dyd σ.⎰⎰⎰⎰⎰⎰+-+=+21222222D D Dd y x d y x d y x σσσ⎰⎰⎰⎰--=θπππθθcos 20223220220dr r d dr rd .)23(916932316-=-=ππ所以,)23(916)(22-=++⎰⎰πσDd y y x .【评注】本题属于在极坐标系下计算二重积分的基本题型,对于二重积分,经常利用对称性及将一个复杂区域划分为两个或三个简单区域来简化计算. (17) (本题满分8分) 设f (x ) , g (x )在[a , b ]上连续,且满足⎰⎰≥xaxadt t g dt t f )()(,x ∈ [a , b ),⎰⎰=ba badt t g dt t f )()(.证明:⎰⎰≤ba ba dx x xg dx x xf )()(.【分析】令F (x ) = f (x ) - g (x ),⎰=xa dt t F x G )()(,将积分不等式转化为函数不等式即可. 【详解】令F (x ) = f (x ) - g (x ),⎰=x a dtt F x G )()(,由题设G (x ) ≥ 0,x ∈ [a , b ],G (a ) = G (b ) = 0,)()(x F x G ='.从而⎰⎰⎰⎰-=-==babab ababadx x G dx x G x xG x xdG dx x xF )()()()()(,由于 G (x ) ≥ 0,x ∈ [a , b ],故有0)(≤-⎰ba dxx G ,即0)(≤⎰ba dx x xF .因此 ⎰⎰≤ba badx x xg dx x xf )()(.【评注】引入变限积分转化为函数等式或不等式是证明积分等式或不等式的常用的方法. (18) (本题满分9分) 设某商品的需求函数为Q = 100 - 5P ,其中价格P ∈ (0 , 20),Q 为需求量. (I) 求需求量对价格的弹性d E (d E > 0);(II) 推导)1(d E Q dPdR -=(其中R 为收益),并用弹性d E 说明价格在何范围内变化时,降低价格反而使收益增加.【分析】由于d E > 0,所以dPdQ Q P E d =;由Q = PQ 及dPdQ Q P E d =可推导)1(d E Q dPdR -=.【详解】(I) PP dPdQ Q P E d -==20.(II) 由R = PQ ,得)1()1(d E Q dPdQ Q P Q dPdQ PQ dPdR -=+=+=.又由120=-=PP E d ,得P = 10.当10 < P < 20时,d E > 1,于是0<dPdR ,故当10 < P < 20时,降低价格反而使收益增加.【评注】当d E > 0时,需求量对价格的弹性公式为dPdQ Q P dPdQ Q P E d -==.利用需求弹性分析收益的变化情况有以下四个常用的公式:Qdp E dR d )1(-=,Q E dpdR d )1(-=,p E dQdR d)11(-=,d E EpER -=1(收益对价格的弹性).(19) (本题满分9分) 设级数)(864264242864+∞<<-∞+⋅⋅⋅+⋅⋅+⋅x xxx的和函数为S (x ). 求:(I) S (x )所满足的一阶微分方程; (II) S (x )的表达式.【分析】对S (x )进行求导,可得到S (x )所满足的一阶微分方程,解方程可得S (x )的表达式. 【详解】(I) +⋅⋅⋅+⋅⋅+⋅=864264242)(864xxxx S ,易见 S (0) = 0,+⋅⋅+⋅+='642422)(753xxxx S)642422(642+⋅⋅+⋅+=xxxx)](2[2x S xx +=.因此S (x )是初值问题0)0(,23=+='y xxy y 的解.(II) 方程23xxy y +='的通解为]2[3C dx e x e y xdx xdx+⎰⎰=⎰-22212xCex+--=,由初始条件y(0) = 0,得C = 1.故12222-+-=xexy ,因此和函数12)(222-+-=xexx S .【评注】本题综合了级数求和问题与微分方程问题,2002年考过类似的题. (20)(本题满分13分)设T α)0,2,1(1=, T ααα)3,2,1(2-+=, Tb αb α)2,2,1(3+---=, Tβ)3,3,1(-=,试讨论当b a ,为何值时,(Ⅰ) β不能由321,,ααα线性表示;(Ⅱ) β可由321,,ααα唯一地线性表示, 并求出表示式;(Ⅲ) β可由321,,ααα线性表示, 但表示式不唯一, 并求出表示式.【分析】将β可否由321,,ααα线性表示的问题转化为线性方程组βαk αk αk =++332211是否有解的问题即易求解. 【详解】 设有数,,,321k k k 使得βαk αk αk =++332211. (*) 记),,(321αααA =. 对矩阵),(βA 施以初等行变换, 有⎥⎥⎥⎦⎤⎢⎢⎢⎣⎡-+---+-=323032221111),(ba ab a βA ⎥⎥⎥⎦⎤⎢⎢⎢⎣⎡---→00101111ba b a . (Ⅰ) 当0=a 时, 有⎥⎥⎥⎦⎤⎢⎢⎢⎣⎡---→101001111),(b βA . 可知),()(βA r A r ≠. 故方程组(*)无解, β不能由321,,ααα线性表示. (Ⅱ) 当0≠a , 且b a ≠时, 有⎥⎥⎥⎦⎤⎢⎢⎢⎣⎡---→00101111),(ba b a βA ⎥⎥⎥⎥⎥⎥⎦⎤⎢⎢⎢⎢⎢⎢⎣⎡-→01101011001a a 3),()(==βA r A r , 方程组(*)有唯一解:ak 111-=, ak 12=, 03=k .此时β可由321,,ααα唯一地线性表示, 其表示式为 211)11(αa αa β+-=.(Ⅲ) 当0≠=b a 时, 对矩阵),(βA 施以初等行变换, 有⎥⎥⎥⎦⎤⎢⎢⎢⎣⎡---→00101111),(ba b a βA ⎥⎥⎥⎥⎥⎥⎦⎤⎢⎢⎢⎢⎢⎢⎣⎡--→00111011001a a , 2),()(==βA r A r , 方程组(*)有无穷多解, 其全部解为ak 111-=, c ak +=12, c k =3, 其中c 为任意常数.β 可由321,,ααα线性表示, 但表示式不唯一, 其表示式为321)1()11(αc αc aαaβ+++-=.【评注】本题属于常规题型, 曾考过两次(1991, 2000).(21) (本题满分13分) 设n 阶矩阵⎪⎪⎪⎪⎪⎭⎫⎝⎛=111bb b bb b A . (Ⅰ) 求A 的特征值和特征向量; (Ⅱ) 求可逆矩阵P , 使得AP P1-为对角矩阵.【分析】这是具体矩阵的特征值和特征向量的计算问题, 通常可由求解特征方程0||=-A E λ和齐次线性方程组0)(=-x A E λ来解决.【详解】 (Ⅰ)1当0≠b 时,111||---------=-λbbb λb b b λA E λ=1)]1(][)1(1[------n b λb n λ ,得A 的特征值为b n λ)1(11-+=,b λλn -===12 . 对b n λ)1(11-+=,⎪⎪⎪⎪⎪⎭⎫⎝⎛---------=-b n bb b bn bbb b n A E λ)1()1()1(1→⎪⎪⎪⎪⎪⎭⎫⎝⎛---------)1(111)1(111)1(n n n→⎪⎪⎪⎪⎪⎪⎭⎫ ⎝⎛------------0000111111111111n n n →⎪⎪⎪⎪⎪⎪⎭⎫⎝⎛---------0000111111111111n n n→⎪⎪⎪⎪⎪⎪⎭⎫ ⎝⎛---0000001111n nn n n →⎪⎪⎪⎪⎪⎪⎭⎫⎝⎛---000110010101001解得T ξ)1,,1,1,1(1 =,所以A 的属于1λ的全部特征向量为 T k ξk )1,,1,1,1(1 = (k 为任意不为零的常数). 对b λ-=12,⎪⎪⎪⎪⎪⎭⎫⎝⎛---------=-b bb b b bb b bA E λ2→⎪⎪⎪⎪⎪⎭⎫⎝⎛000000111得基础解系为Tξ)0,,0,1,1(2 -=,Tξ)0,,1,0,1(3 -=,Tn ξ)1,,0,0,1(,-= .故A 的属于2λ的全部特征向量为n n ξk ξk ξk +++ 3322 (n k k k ,,,32 是不全为零的常数).2 当0=b 时,nλλλλA E λ)1(1010001||-=---=-,特征值为11===n λλ ,任意非零列向量均为特征向量.(Ⅱ)1当0≠b 时,A 有n 个线性无关的特征向量,令),,,(21n ξξξP =,则⎪⎪⎪⎪⎪⎭⎫⎝⎛---+=-b bb n AP P 11)1(112 当0=b 时,E A =,对任意可逆矩阵P , 均有E AP P=-1.【评注】本题通过考查矩阵的特征值和特征向量而间接考查了行列式的计算, 齐次线性方程组的求解和矩阵的对角化等问题, 属于有一点综合性的试题. 另外,本题的解题思路是容易的, 只要注意矩阵中含有一个未知参数, 从而一般要讨论其不同取值情况. (22) (本题满分13分)设A ,B 为两个随机事件,且41)(=A P , 31)|(=A B P , 21)|(=B A P , 令⎩⎨⎧=不发生,,发生,A A X 0,1 ⎩⎨⎧=.0,1不发生,发生,B B Y 求(Ⅰ) 二维随机变量),(Y X 的概率分布; (Ⅱ) X 与Y 的相关系数 XY ρ; (Ⅲ) 22Y XZ +=的概率分布.【分析】本题的关键是求出),(Y X 的概率分布,于是只要将二维随机变量),(Y X 的各取值对转化为随机事件A 和B 表示即可.【详解】 (Ⅰ) 因为 121)|()()(==A B P A P AB P , 于是 61)|()()(==B A P AB P B P ,则有 121)(}1,1{====AB P Y X P ,61)()()(}0,1{=-====AB P A P B A P Y X P , 121)()()(}1,0{=-====AB P B P B A P Y X P ,32)]()()([1)(1)(}0,0{=-+-=⋃-=⋅===AB P B P A P B A P B A P Y X P ,( 或 32121611211}0,0{=---===Y X P ),即),(Y X 的概率分布为:Y X0 1 0 132 12161121(Ⅱ) 方法一:因为 41)(==A P EX ,61)(==B P EY ,121)(=XY E ,41)(2==A P EX,61)(2==B P EY,163)(22=-=EX EX DX ,165)(22=-=EY EYDY ,241)(),(=-=EXEY XY E Y X Cov , 所以X 与Y 的相关系数 1515151),(==⋅=DYDX Y X Cov ρXY .方法二: X, Y 的概率分布分别为X 0 1 Y 0 1 P 4341 P 65 61则61,41==EY EX ,163=DX ,DY=365, E(XY)=121,故 241)(),(=⋅-=EY EX XY E Y X Cov ,从而.1515),(=⋅=DYDX Y X Cov XY ρ(Ⅲ) Z 的可能取值为:0,1,2 .32}0,0{}0{=====Y X P Z P ,41}1,0{}0,1{}1{===+====Y X P Y X P Z P ,121}1,1{}2{=====Y X P Z P ,即Z 的概率分布为:Z 0 1 2 P32 41121【评注】本题考查了二维离散随机变量联合概率分布,数字特征和二维离散随机变量函数的分布等计算问题,属于综合性题型 (23) (本题满分13分)设随机变量X 的分布函数为⎪⎩⎪⎨⎧≤>⎪⎭⎫ ⎝⎛-=,,,αx αx x αβαx F β0,1),,(其中参数1,0>>βα. 设n X X X ,,,21 为来自总体X 的简单随机样本,(Ⅰ) 当1=α时, 求未知参数β的矩估计量; (Ⅱ) 当1=α时, 求未知参数β的最大似然估计量; (Ⅲ) 当2=β时, 求未知参数α的最大似然估计量.【分析】本题是一个常规题型, 只要注意求连续型总体未知参数的矩估计和最大似然估计都须已知密度函数, 从而先由分布函数求导得密度函数.【详解】 当1=α时, X 的概率密度为⎪⎩⎪⎨⎧≤>=+,,,101,),(1x x x ββx f β(Ⅰ) 由于⎰⎰+∞++∞∞--=⋅==11,1);(ββdx xβx dx βx xf EX β令X ββ=-1, 解得 1-=X X β,所以, 参数β的矩估计量为 1-=X X β.(Ⅱ) 对于总体X 的样本值n x x x ,,,21 , 似然函数为∏=+⎪⎩⎪⎨⎧=>==ni i βn ni n i x x x x βαx f βL 1121.,0),,,2,1(1,)();()(其他当),,2,1(1n i x i =>时, 0)(>βL , 取对数得∑=+-=ni i x ββn βL 1ln )1(ln )(ln ,对β求导数,得∑=-=ni i x βn βd βL d 1ln)]([ln ,令0ln )]([ln 1=-=∑=ni i x βn βd βL d , 解得 ∑==ni ix nβ1ln, 于是β的最大似然估计量为 ∑==ni ix nβ1lnˆ. ( Ⅲ) 当2=β时, X 的概率密度为⎪⎩⎪⎨⎧≤>=,,,αx αx x αβx f 0,2),(32对于总体X 的样本值n x x x ,,,21 , 似然函数为∏=⎪⎩⎪⎨⎧=>==ni i n nn i n i αx x x x ααx f βL 13212.,0),,,2,1(,)(2);()(其他当),,2,1(n i αx i =>时, α越大,)(αL 越大, 即α的最大似然估计值为 },,,min{ˆ21n x x x α=, 于是α的最大似然估计量为},,,min{ˆ21n X X X α=.。
考研数学三概率论04-15年真题

[ (D)
2
]
uα .
2
(B)
u
1α 2.Fra bibliotek(C)
u 1α .
2
u1α .
2 2 2
(06, 2 4 分)设随机变量 X 服从正态分布 N 1 , 1 且 P X 1 1 P Y 2 1 ,则必有 (A)
,随机变量 Y 服从正态分布 N , ,
计算有关随机事件的概率.
六、数理统计的基本概念 考试内容 总体 个体 简单随机样本 统计量 经验分布函数 样本均值 样本方差和样本矩
2 分布 t 分布
F 分布 分位数 正态总体的常用抽样分布
考试要求 1.了解总体、简单随机样本、统计量、样本均值、样本方差及样本矩的概念,其中样 本方差定义为
B(n, p) 、几何分布、超几何分布、泊松(Poisson)分布 P( ) 及其应用.
3.掌握泊松定理的结论和应用条件,会用泊松分布近似表示二项分布 . 4.理解连续型随机变量及其概率密度的概念,掌握均匀分布 U (a, b) 、正态
2 分布 N ( , ) 、 指数分布及其应用, 其中参数为 ( 0) 的指数分布 E ( ) 的概率
1 (2)求 Z 的概率密度 f Z ( z ) 。 X 0} ; 2
9 (08,4 分) 设随机变量 X , Y 独立同分布, 且 X 的分布函数为 F ( x) , 则Z m a x { X ,Y} 的分布函数为 [ ]
A
F 2 ( x)
B
F ( x) F ( y )
C
1 [1 F ( x)]2
间断点个数为 [ ] (A)0 (B)1 (C)2 (D)3 11(09, 11分)袋中有一个红色球,两个黑色球,三个白球,现有放回的从袋中取两次, 每次取一球,以X,Y,Z分别表示两次取球所取得的红、黑、白球的个数。 ①
考研数学三真题及答案解析
2004年考研数学三真题一、填空题本题共6小题;每小题4分;满分24分. 把答案填在题中横线上 1 若5)(cos sin lim0=--→b x ae xx x ;则a =______;b =______.2 设函数f u ; v 由关系式f xgy ; y = x + gy 确定;其中函数gy 可微;且gy 0;则2fu v ∂=∂∂.3 设⎪⎩⎪⎨⎧≥-<≤-=21,12121,)(2x x xe x f x ;则212(1)f x dx -=⎰.4 二次型2132********)()()(),,(x x x x x x x x x f ++-++=的秩为 .5 设随机变量X 服从参数为λ的指数分布; 则=>}{DX X P _______.6 设总体X 服从正态分布),(21σμN ; 总体Y 服从正态分布),(22σμN ;1,,21n X X X 和 2,,21n Y Y Y 分别是来自总体X 和Y 的简单随机样本; 则12221112()()2n n i j i j X X Y Y E n n ==⎡⎤-+-⎢⎥⎢⎥=⎢⎥+-⎢⎥⎢⎥⎣⎦∑∑.二、选择题本题共6小题;每小题4分;满分24分. 每小题给出的四个选项中;只有一项符合题目要求;把所选项前的字母填在题后的括号内 7 函数2)2)(1()2sin(||)(---=x x x x x x f 在下列哪个区间内有界. A 1 ; 0.B 0 ; 1.C 1 ; 2.D 2 ; 3.8 设f x 在 ; + 内有定义;且a x f x =∞→)(lim ; ⎪⎩⎪⎨⎧=≠=0,00,)1()(x x x f x g ;则A x = 0必是gx 的第一类间断点.B x = 0必是gx 的第二类间断点.C x = 0必是gx 的连续点.D gx 在点x = 0处的连续性与a 的取值有关. 9 设f x = |x 1 x |;则A x = 0是f x 的极值点;但0 ; 0不是曲线y = f x 的拐点.B x = 0不是f x 的极值点;但0 ; 0是曲线y = f x 的拐点.C x = 0是f x 的极值点;且0 ; 0是曲线y = f x 的拐点.D x = 0不是f x 的极值点;0 ; 0也不是曲线y = f x 的拐点. 10 设有下列命题:1 若∑∞=-+1212)(n n n u u 收敛;则∑∞=1n n u 收敛.2 若∑∞=1n n u 收敛;则∑∞=+11000n n u 收敛.3 若1lim1>+∞→nn n u u ;则∑∞=1n n u 发散. 4 若∑∞=+1)(n n n v u 收敛;则∑∞=1n n u ;∑∞=1n n v 都收敛.则以上命题中正确的是A 1 2.B 2 3.C 3 4.D 1 4.11 设)(x f '在a ; b 上连续;且0)(,0)(<'>'b f a f ;则下列结论中错误的是 A 至少存在一点),(0b a x ∈;使得)(0x f > f a . B 至少存在一点),(0b a x ∈;使得)(0x f > f b . C 至少存在一点),(0b a x ∈;使得0)(0='x f .D 至少存在一点),(0b a x ∈;使得)(0x f = 0.D12 设n 阶矩阵A 与B 等价; 则必有A 当)0(||≠=a a A 时; aB =||. B 当)0(||≠=a a A 时; a B -=||.C 当0||≠A 时; 0||=B .D 当0||=A 时; 0||=B . 13 设n 阶矩阵A 的伴随矩阵,0*≠A 若4321,,,ξξξξ是非齐次线性方程组 b Ax =的互不相等的解;则对应的齐次线性方程组0=Ax 的基础解系 A 不存在. B 仅含一个非零解向量.C 含有两个线性无关的解向量.D 含有三个线性无关的解向量.14 设随机变量X 服从正态分布)1,0(N ; 对给定的)1,0(∈α; 数αu 满足αu X P α=>}{;若αx X P =<}|{|; 则x 等于 A 2αu . B 21αu-. C 21αu -. D αu -1.三、解答题本题共9小题;满分94分. 解答应写出文字说明、证明过程或演算步骤. 15 本题满分8分求)cos sin 1(lim 2220xxx x -→. 16 本题满分8分求⎰⎰++Dd y y x σ)(22;其中D22122=所围成的 平面区域如图.17 本题满分8分 设f x ; gx 在a ; b 上连续;且满足⎰⎰≥x a x a dt t g dt t f )()(;x a ; b ;⎰b a f 证明:⎰⎰≤babadx x xg dx x xf )()(.18 本题满分9分 设某商品的需求函数为Q = 100 5P;其中价格P 0 ; 20;Q 为需求量. I 求需求量对价格的弹性d E d E > 0;II 推导)1(d E Q dPdR-=其中R 为收益;并用弹性d E 说明价格在何范围内变化时; 降低价格反而使收益增加. 19 本题满分9分 设级数的和函数为Sx . 求:I Sx 所满足的一阶微分方程; II Sx 的表达式. 20本题满分13分设T α)0,2,1(1=; T ααα)3,2,1(2-+=; T b αb α)2,2,1(3+---=; Tβ)3,3,1(-=;试讨论当b a ,为何值时;Ⅰ β不能由321,,ααα线性表示;Ⅱ β可由321,,ααα唯一地线性表示; 并求出表示式;Ⅲ β可由321,,ααα线性表示; 但表示式不唯一; 并求出表示式. 21 本题满分13分 设n 阶矩阵⎪⎪⎪⎪⎪⎭⎫ ⎝⎛=111 b b b b b b A .Ⅰ 求A 的特征值和特征向量;Ⅱ 求可逆矩阵P ; 使得AP P 1-为对角矩阵. 22 本题满分13分设A ;B 为两个随机事件;且41)(=A P ; 31)|(=AB P ; 21)|(=B A P ; 令 求Ⅰ 二维随机变量),(Y X 的概率分布; Ⅱ X 与Y 的相关系数 XY ρ; Ⅲ 22Y X Z +=的概率分布. 23 本题满分13分设随机变量X 的分布函数为其中参数1,0>>βα. 设n X X X ,,,21 为来自总体X 的简单随机样本;Ⅰ 当1=α时; 求未知参数β的矩估计量; Ⅱ 当1=α时; 求未知参数β的最大似然估计量; Ⅲ 当2=β时; 求未知参数α的最大似然估计量.2004年考研数学三真题解析一、填空题本题共6小题;每小题4分;满分24分. 把答案填在题中横线上 1 若5)(cos sin lim0=--→b x ae xx x ;则a =1;b =4-.分析本题属于已知极限求参数的反问题. 详解因为5)(cos sin lim0=--→b x a e xx x ;且0)(cos sin lim 0=-⋅→b x x x ;所以0)(lim 0=-→a e x x ;得a = 1. 极限化为51)(cos lim )(cos sin lim00=-=-=--→→b b x x xb x a e x x x x ;得b = 4.因此;a = 1;b = 4. 评注一般地;已知)()(limx g x f = A ; 1 若gx 0;则f x 0;2 若f x 0;且A 0;则gx 0.2 设函数f u ; v 由关系式f xgy ; y = x + gy 确定;其中函数gy 可微;且gy 0;则)()(22v g v g vu f'-=∂∂∂.分析令u = xgy ;v = y ;可得到f u ; v 的表达式;再求偏导数即可. 详解令u = xgy ;v = y ;则f u ; v =)()(v g v g u+;所以;)(1v g u f =∂∂;)()(22v g v g v u f '-=∂∂∂. 3 设⎪⎩⎪⎨⎧≥-<≤-=21,12121,)(2x x xe x f x ;则21)1(221-=-⎰dx x f .分析本题属于求分段函数的定积分;先换元:x 1 = t ;再利用对称区间上奇偶函数的积分性质即可.详解令x 1 = t ;⎰⎰⎰--==-121121221)()()1(dt x f dt t f dx x f=21)21(0)1(12121212-=-+=-+⎰⎰-dx dx xe x .评注一般地;对于分段函数的定积分;按分界点划分积分区间进行求解.4 二次型2132********)()()(),,(x x x x x x x x x f ++-++=的秩为 2 .分析二次型的秩即对应的矩阵的秩; 亦即标准型中平方项的项数; 于是利用初等变换或配方法均可得到答案.详解一因为2132********)()()(),,(x x x x x x x x x f ++-++=于是二次型的矩阵为 ⎪⎪⎪⎭⎫ ⎝⎛--=211121112A ;由初等变换得 ⎪⎪⎪⎭⎫ ⎝⎛--→⎪⎪⎪⎭⎫ ⎝⎛---→000330211330330211A ;从而 2)(=A r ; 即二次型的秩为2.详解二因为2132********)()()(),,(x x x x x x x x x f ++-++=2221232y y +=; 其中 ,21213211x x x y ++= 322x x y -=. 所以二次型的秩为2.5 设随机变量X 服从参数为λ的指数分布; 则=>}{DX X Pe1. 分析 根据指数分布的分布函数和方差立即得正确答案. 详解 由于21λDX =; X 的分布函数为 故=>}{DX X P =≤-}{1DX X P =≤-}1{1λX P )1(1λF -e1=.评注本题是对重要分布; 即指数分布的考查; 属基本题型.6 设总体X 服从正态分布),(21σμN ; 总体Y 服从正态分布),(22σμN ;1,,21n X X X 和 2,,21n Y Y Y 分别是来自总体X 和Y 的简单随机样本; 则22121212)()(21σn n Y Y X X E n j j n i i =⎥⎥⎥⎥⎥⎦⎤⎢⎢⎢⎢⎢⎣⎡-+-+-∑∑==.分析利用正态总体下常用统计量的数字特征即可得答案.详解因为 2121])(11[1σX X n E n i i =--∑=; 2122])(11[2σY Y n E n j j=--∑=; 故应填 2σ.评注本题是对常用统计量的数字特征的考查.二、选择题本题共6小题;每小题4分;满分24分. 每小题给出的四个选项中;只有一项符合题目要求;把所选项前的字母填在题后的括号内 7 函数2)2)(1()2sin(||)(---=x x x x x x f 在下列哪个区间内有界.A 1 ; 0.B 0 ; 1.C 1 ; 2.D 2 ; 3. A分析如f x 在a ; b 内连续;且极限)(lim x f a x +→与)(lim x f b x -→存在;则函数f x在a ; b 内有界.详解当x 0 ; 1 ; 2时;f x 连续;而183sin )(lim1-=+-→x f x ;42sin )(lim 0-=-→x f x ;42sin )(lim 0=+→x f x ;∞=→)(lim 1x f x ;∞=→)(lim 2x f x ;所以;函数f x 在 1 ; 0内有界;故选A.评注一般地;如函数f x 在闭区间a ; b 上连续;则f x 在闭区间a ; b 上有界;如函数f x 在开区间a ; b 内连续;且极限)(lim x f a x +→与)(lim x f b x -→存在;则函数f x 在开区间a ; b 内有界.8 设f x 在 ; + 内有定义;且a x f x =∞→)(lim ;⎪⎩⎪⎨⎧=≠=0,00,)1()(x x xf xg ;则 A x = 0必是gx 的第一类间断点. B x = 0必是gx 的第二类间断点.C x = 0必是gx 的连续点.D gx 在点x = 0处的连续性与a 的取值有关. D 分析考查极限)(lim 0x g x →是否存在;如存在;是否等于g 0即可;通过换元xu 1=; 可将极限)(lim 0x g x →转化为)(lim x f x ∞→.详解因为)(lim )1(lim )(lim 0u f x f x g u x x ∞→→→=== a 令xu 1=;又g 0 = 0;所以;当a = 0时;)0()(lim 0g x g x =→;即gx 在点x = 0处连续;当a 0时;)0()(lim 0g x g x ≠→;即x = 0是gx 的第一类间断点;因此;gx 在点x = 0处的连续性与a 的取值有关;故选D.评注本题属于基本题型;主要考查分段函数在分界点处的连续性. 9 设f x = |x 1 x |;则A x = 0是f x 的极值点;但0 ; 0不是曲线y = f x 的拐点.B x = 0不是f x 的极值点;但0 ; 0是曲线y = f x 的拐点.C x = 0是f x 的极值点;且0 ; 0是曲线y = f x 的拐点.D x = 0不是f x 的极值点;0 ; 0也不是曲线y = f x 的拐点. C 分析由于f x 在x = 0处的一、二阶导数不存在;可利用定义判断极值情况;考查f x 在x = 0的左、右两侧的二阶导数的符号;判断拐点情况. 详解设0 < < 1;当x ; 0 0 ; 时;f x > 0;而f 0 = 0;所以x = 0是f x的极小值点. 显然;x = 0是f x 的不可导点. 当x ; 0时;f x = x 1 x ;02)(>=''x f ;当x 0 ; 时;f x = x 1 x ;02)(<-=''x f ;所以0 ; 0是曲线y = f x 的拐点.故选C.评注对于极值情况;也可考查f x 在x = 0的某空心邻域内的一阶导数的符号来判断. 10 设有下列命题:1 若∑∞=-+1212)(n n n u u 收敛;则∑∞=1n n u 收敛.2 若∑∞=1n n u 收敛;则∑∞=+11000n n u 收敛.3 若1lim1>+∞→nn n u u ;则∑∞=1n n u 发散. 4 若∑∞=+1)(n n n v u 收敛;则∑∞=1n n u ;∑∞=1n n v 都收敛.则以上命题中正确的是 A 1 2. B 2 3. C 3 4. D 1 4. B 分析可以通过举反例及级数的性质来说明4个命题的正确性. 详解1是错误的;如令nn u )1(-=;显然;∑∞=1n n u 分散;而∑∞=-+1212)(n n n u u 收敛.2是正确的;因为改变、增加或减少级数的有限项;不改变级数的收敛性.3是正确的;因为由1lim1>+∞→nn n u u 可得到n u 不趋向于零n ;所以∑∞=1n n u 发散. 4是错误的;如令n v n u n n 1,1-==;显然;∑∞=1n n u ;∑∞=1n n v 都发散;而∑∞=+1)(n n n v u 收敛. 故选B.评注本题主要考查级数的性质与收敛性的判别法;属于基本题型.11 设)(x f '在a ; b 上连续;且0)(,0)(<'>'b f a f ;则下列结论中错误的是 A 至少存在一点),(0b a x ∈;使得)(0x f > f a . B 至少存在一点),(0b a x ∈;使得)(0x f > f b . C 至少存在一点),(0b a x ∈;使得0)(0='x f .D 至少存在一点),(0b a x ∈;使得)(0x f = 0.D分析利用介值定理与极限的保号性可得到三个正确的选项;由排除法可选出错误选项. 详解首先;由已知)(x f '在a ; b 上连续;且0)(,0)(<'>'b f a f ;则由介值定理;至少存在一点),(0b a x ∈;使得0)(0='x f ;另外;0)()(lim)(>--='+→ax a f x f a f a x ;由极限的保号性;至少存在一点),(0b a x ∈使得0)()(00>--ax a f x f ;即)()(0a f x f >. 同理;至少存在一点),(0b a x ∈使得)()(0b f x f >. 所以;A B C 都正确;故选D.评注 本题综合考查了介值定理与极限的保号性;有一定的难度. 12 设n 阶矩阵A 与B 等价; 则必有A 当)0(||≠=a a A 时; aB =||. B 当)0(||≠=a a A 时; a B -=||.C 当0||≠A 时; 0||=B .D 当0||=A 时; 0||=B . D 分析 利用矩阵A 与B 等价的充要条件: )()(B r A r =立即可得.详解因为当0||=A 时; n A r <)(; 又 A 与B 等价; 故n B r <)(; 即0||=B ; 故选D. 评注本题是对矩阵等价、行列式的考查; 属基本题型.13 设n 阶矩阵A 的伴随矩阵,0*≠A 若4321,,,ξξξξ是非齐次线性方程组 b Ax =的 互不相等的解;则对应的齐次线性方程组0=Ax 的基础解系 A 不存在. B 仅含一个非零解向量.C 含有两个线性无关的解向量.D 含有三个线性无关的解向量. B 分析 要确定基础解系含向量的个数; 实际上只要确定未知数的个数和系数矩阵的秩. 详解 因为基础解系含向量的个数=)(A r n -; 而且根据已知条件,0*≠A 于是)(A r 等于n 或1-n . 又b Ax =有互不相等的解;即解不惟一; 故1)(-=n A r . 从而基础解系仅含一个解向量; 即选B.评注本题是对矩阵A 与其伴随矩阵*A 的秩之间的关系、线性方程组解的结构等多个知识点的综合考查. 14 设随机变量X 服从正态分布)1,0(N ; 对给定的)1,0(∈α; 数αu 满足αu X P α=>}{;若αx X P =<}|{|; 则x 等于 A 2αu . B 21αu-. C 21αu -. D αu -1. C分析 利用标准正态分布密度曲线的对称性和几何意义即得. 详解 由αx X P =<}|{|; 以及标准正态分布密度曲线的对称性可得21}{αx X P -=>. 故正确答案为C. 评注本题是对标准正态分布的性质; 严格地说它的上分位数概念的考查.三、解答题本题共9小题;满分94分. 解答应写出文字说明、证明过程或演算步骤. 15 本题满分8分求)cos sin 1(lim 2220xxx x -→. 分析先通分化为“”型极限;再利用等价无穷小与罗必达法则求解即可. 详解xx xx x x x x x x 2222202220sin cos sin lim )cos sin 1(lim -=-→→ =346)4(21lim 64cos 1lim 44sin 212lim 2sin 41lim 22020304220==-=-=-→→→→x x x x x x x x x x x x x x . 评注本题属于求未定式极限的基本题型;对于“0”型极限;应充分利用等价无穷小替换来简化计算.16 本题满分8分 求⎰⎰++Dd y y x σ)(22;其中D 是由圆422=+y x 和1)1(22=++y x 所围成的平面区域如图. 分析首先;将积分区域D 分为大圆}4|),{(221≤+=y x y x D 减去小圆}1)1(|),{(222≤++=y x y x D ;再利用对称性与极坐标计算即可.详解令}1)1(|),{(},4|),{(222221≤++=≤+=y x y x D y x y x D ;由对称性;0=⎰⎰Dyd σ.⎰⎰⎰⎰--=θπππθθcos 20223220220dr r d dr r d . 所以;)23(916)(22-=++⎰⎰πσD d y y x . 评注本题属于在极坐标系下计算二重积分的基本题型;对于二重积分;经常利用对称性及将一个复杂区域划分为两个或三个简单区域来简化计算.17 本题满分8分设f x ; gx 在a ; b 上连续;且满足⎰⎰≥x a x adt t g dt t f )()(;x a ; b ;⎰⎰=b a b a dt t g dt t f )()(. 证明:⎰⎰≤ba b a dx x xg dx x xf )()(. 分析令Fx = f x gx ;⎰=x a dt t F x G )()(;将积分不等式转化为函数不等式即可. 详解令Fx = f x gx ;⎰=x a dt t F x G )()(;由题设Gx 0;x a ; b ;Ga = Gb = 0;)()(x F x G ='.从而 ⎰⎰⎰⎰-=-==b a b a b a b a b a dx x G dx x G x xG x xdG dx x xF )()()()()(;由于 Gx 0;x a ; b ;故有0)(≤-⎰b a dx x G ;即 0)(≤⎰b a dx x xF . 因此 ⎰⎰≤ba b a dx x xg dx x xf )()(. 评注引入变限积分转化为函数等式或不等式是证明积分等式或不等式的常用的方法.18 本题满分9分设某商品的需求函数为Q = 100 5P;其中价格P 0 ; 20;Q 为需求量.I 求需求量对价格的弹性d E d E > 0; II 推导)1(d E Q dPdR -=其中R 为收益;并用弹性d E 说明价格在何范围内变化时;降低价格反而使收益增加.分析由于d E > 0;所以dP dQ Q P E d =;由Q = PQ 及dPdQ Q P E d =可推导 )1(d E Q dPdR -=.详解I P P dP dQ Q P E d -==20.II 由R = PQ;得 )1()1(d E Q dPdQ Q P Q dP dQ P Q dP dR -=+=+=. 又由120=-=P P E d ;得P = 10.当10 < P < 20时;d E > 1;于是0<dP dR ; 故当10 < P < 20时;降低价格反而使收益增加.评注当d E > 0时;需求量对价格的弹性公式为dP dQ Q P dP dQ Q P E d -==.利用需求弹性分析收益的变化情况有以下四个常用的公式: Qdp E dR d )1(-=;Q E dpdR d )1(-=;p E dQ dR d )11(-=; d E EpER -=1收益对价格的弹性. 19 本题满分9分设级数的和函数为Sx . 求:I Sx 所满足的一阶微分方程;II Sx 的表达式.分析对Sx 进行求导;可得到Sx 所满足的一阶微分方程;解方程可得Sx 的表达式.详解I +⋅⋅⋅+⋅⋅+⋅=864264242)(864x x x x S ;易见 S 0 = 0;)](2[2x S x x +=.因此Sx 是初值问题 0)0(,23=+='y x xy y 的解. II 方程23x xy y +='的通解为22212x Ce x +--=;由初始条件y0 = 0;得C = 1. 故12222-+-=x e xy ;因此和函数12)(222-+-=x e xx S .评注本题综合了级数求和问题与微分方程问题;2002年考过类似的题.20本题满分13分设T α)0,2,1(1=; T ααα)3,2,1(2-+=; T b αb α)2,2,1(3+---=; T β)3,3,1(-=;试讨论当b a ,为何值时;Ⅰ β不能由321,,ααα线性表示;Ⅱ β可由321,,ααα唯一地线性表示; 并求出表示式;Ⅲ β可由321,,ααα线性表示; 但表示式不唯一; 并求出表示式.分析将β可否由321,,ααα线性表示的问题转化为线性方程组βαk αk αk =++332211是否有解的问题即易求解.详解 设有数,,,321k k k 使得βαk αk αk =++332211. *记),,(321αααA =. 对矩阵),(βA 施以初等行变换; 有⎥⎥⎥⎦⎤⎢⎢⎢⎣⎡-+---+-=323032221111),(b a a b a βA ⎥⎥⎥⎦⎤⎢⎢⎢⎣⎡---→000101111b a b a . Ⅰ 当0=a 时; 有⎥⎥⎥⎦⎤⎢⎢⎢⎣⎡---→10001001111),(b βA . 可知),()(βA r A r ≠. 故方程组*无解; β不能由321,,ααα线性表示.Ⅱ 当0≠a ; 且b a ≠时; 有3),()(==βA r A r ; 方程组*有唯一解:ak 111-=; a k 12=; 03=k .此时β可由321,,ααα唯一地线性表示; 其表示式为211)11(αaαa β+-=. Ⅲ 当0≠=b a 时; 对矩阵),(βA 施以初等行变换; 有⎥⎥⎥⎦⎤⎢⎢⎢⎣⎡---→000101111),(b a b a βA ⎥⎥⎥⎥⎥⎥⎦⎤⎢⎢⎢⎢⎢⎢⎣⎡--→0000111011001a a ; 2),()(==βA r A r ; 方程组*有无穷多解; 其全部解为a k 111-=; c ak +=12; c k =3; 其中c 为任意常数. β 可由321,,ααα线性表示; 但表示式不唯一; 其表示式为321)1()11(αc αc aαa β+++-=. 评注本题属于常规题型; 曾考过两次1991; 2000.21 本题满分13分设n 阶矩阵⎪⎪⎪⎪⎪⎭⎫ ⎝⎛=111 b b b b b b A . Ⅰ 求A 的特征值和特征向量;Ⅱ 求可逆矩阵P ; 使得AP P 1-为对角矩阵.分析这是具体矩阵的特征值和特征向量的计算问题; 通常可由求解特征方程 0||=-A E λ和齐次线性方程组0)(=-x A E λ来解决.详解 Ⅰ 1当0≠b 时;=1)]1(][)1(1[------n b λb n λ ;得A 的特征值为b n λ)1(11-+=;b λλn -===12 .对b n λ)1(11-+=;解得Tξ)1,,1,1,1(1 =;所以A 的属于1λ的全部特征向量为Tk ξk )1,,1,1,1(1 = k 为任意不为零的常数.对b λ-=12;得基础解系为 T ξ)0,,0,1,1(2 -=;T ξ)0,,1,0,1(3 -=;T n ξ)1,,0,0,1(,-= .故A 的属于2λ的全部特征向量为n n ξk ξk ξk +++ 3322 n k k k ,,,32 是不全为零的常数.2 当0=b 时;n λλλλA E λ)1(100010001||-=---=-; 特征值为11===n λλ ;任意非零列向量均为特征向量.Ⅱ 1当0≠b 时;A 有n 个线性无关的特征向量;令),,,(21n ξξξP =;则2 当0=b 时;E A =;对任意可逆矩阵P ; 均有E AP P =-1.评注本题通过考查矩阵的特征值和特征向量而间接考查了行列式的计算; 齐次线性方程组的求解和矩阵的对角化等问题; 属于有一点综合性的试题. 另外;本题的解题思路是容易的; 只要注意矩阵中含有一个未知参数; 从而一般要讨论其不同取值情况.22 本题满分13分设A ;B 为两个随机事件;且41)(=A P ; 31)|(=A B P ; 21)|(=B A P ; 令 求Ⅰ 二维随机变量),(Y X 的概率分布;Ⅱ X 与Y 的相关系数 XY ρ;Ⅲ 22Y X Z +=的概率分布.分析本题的关键是求出),(Y X 的概率分布;于是只要将二维随机变量),(Y X 的各取值对转化为随机事件A 和B 表示即可.详解 Ⅰ 因为 121)|()()(==A B P A P AB P ; 于是 61)|()()(==B A P AB P B P ;则有 121)(}1,1{====AB P Y X P ; 61)()()(}0,1{=-====AB P A P B A P Y X P ; 121)()()(}1,0{=-====AB P B P B A P Y X P ; 32)]()()([1)(1)(}0,0{=-+-=⋃-=⋅===AB P B P A P B A P B A P Y X P ; 或 32121611211}0,0{=---===Y X P ; 即),(Y X 的概率分布为:Ⅱ 方法一:因为 4)(==A P EX ;6)(==B P EY ;12)(=XY E ; 41)(2==A P EX ;61)(2==B P EY ; 163)(22=-=EX EX DX ;165)(22=-=EY EY DY ; 241)(),(=-=EXEY XY E Y X Cov ; 所以X 与Y 的相关系数 1515151),(==⋅=DY DX Y X Cov ρXY . 方法二: X; Y 的概率分布分别为X 0 1 Y 0 1P43 41 P 65 61 则61,41==EY EX ;163=DX ;DY=365; EXY=121; 故 241)(),(=⋅-=EY EX XY E Y X Cov ;从而 Ⅲ Z 的可能取值为:0;1;2 .32}0,0{}0{=====Y X P Z P ; 41}1,0{}0,1{}1{===+====Y X P Y X P Z P ; 121}1,1{}2{=====Y X P Z P ;即Z评注本题考查了二维离散随机变量联合概率分布;数字特征和二维离散随机变量函数的分布等计算问题;属于综合性题型23 本题满分13分设随机变量X 的分布函数为其中参数1,0>>βα. 设n X X X ,,,21 为来自总体X 的简单随机样本;Ⅰ 当1=α时; 求未知参数β的矩估计量;Ⅱ 当1=α时; 求未知参数β的最大似然估计量;Ⅲ 当2=β时; 求未知参数α的最大似然估计量.分析本题是一个常规题型; 只要注意求连续型总体未知参数的矩估计和最大似然估计都须已知密度函数; 从而先由分布函数求导得密度函数.详解 当1=α时; X 的概率密度为 Ⅰ 由于令 X ββ=-1; 解得 1-=X X β; 所以; 参数β的矩估计量为 1-=X X β. Ⅱ 对于总体X 的样本值n x x x ,,,21 ; 似然函数为当),,2,1(1n i x i =>时; 0)(>βL ; 取对数得∑=+-=n i i x ββn βL 1ln )1(ln )(ln ;对β求导数;得 ∑=-=ni i x βn βd βL d 1ln )]([ln ; 令 0ln )]([ln 1=-=∑=ni i x βn βd βL d ; 解得 ∑==n i ixn β1ln ; 于是β的最大似然估计量为∑==n i ixnβ1ln ˆ. Ⅲ 当2=β时; X 的概率密度为 对于总体X 的样本值n x x x ,,,21 ; 似然函数为 当),,2,1(n i αx i =>时; α越大;)(αL 越大; 即α的最大似然估计值为},,,m in{ˆ21n x x x α=; 于是α的最大似然估计量为},,,m in{ˆ21n X X X α =.。
历年全国硕士研究生入学统一考试数学三真题及答案
【考点】初等函数的连续性
【难易度】★
【详解】
解析:因为 ,又 ,
所以,当 时, ,即 在点 处连续,当 时, ,即 是 的第一类间断点,因此, 在点 处的连续性
与 的取值有关,故选(D).
(9)设 ,则()
(A) 是 的极值点,但 不是曲线 的拐点.
(B) 不是 的极值点,但 是曲线 的拐点.
【详解】
解析:由标准正态分布概率密度函数的对称性知, ,于是
即有 ,可见根据定义有 ,故应选(C).
三、解答题(本题共9小题,满分94分.解答应写出文字说明、证明过程或演算步骤.)
(15)(共题满分8分)
方法3: 与 等价,经过若干次初等变换变为矩阵的初等变换对矩阵的行列式的影响有:(1) 中某两行(列)互换得 ,则 .
(2) 中某行(列)乘 得 ,则 .
(3) 中某行倍加到另一行得 ,则 .
故当 时, ,虽仍不等于0,但数值大、小、正负要改变,但 ,则 ,故有结论:初等变换后,矩阵的行列式的值要改变,但不改变行列式值的非零性,即若 ,若 .故应选(D).
(C) 是 的极值点,且 是曲线 的拐点.
(D) 不是 的极值点, 也不是曲线 的拐点.
【答案】(C)
【考点】函数图形的拐点
【难易度】★★
【详解】
解析:方法1: 的图形是一条抛物线,
的图形如图.点 是极小值点;
又在点 左侧邻近曲线是凹的,右侧邻近曲线是凸的,
所以点 是拐点,选 .
方法2:写出 的分段表达式: ,
.但在 上 .
方法2:证明(A)、(B)、(C)正确.
由已知 在 上连续,且 ,则由介值定理,
至少存在一点 ,使得 ;
2004年考研数学三真题
2004年全国硕士研究生入学统一考试数学三试题一、填空题:本题共6小题,每小题4分,满分24分. 请将答案写在答题纸指定位置上.(1) 若()0sin lim cos 5x x xx b e a→-=-,则a =______,b =______.(2) 函数(),f u v 由关系式()(),f xg y y x g y =+⎡⎤⎣⎦确定,其中函数()g y 可微,且()0g y ≠,则2f u v∂=∂∂______.(3) 设()211,,2211,,2x xe x f x x ⎧-≤<⎪⎪=⎨⎪-≥⎪⎩ 则()2121f x dx -=⎰_____.(4) 二次型()()()()222123122331,,f x x x x x x x x x =++-++的秩为______. (5) 设随机变量X 服从参数为λ的指数分布,则{}P X DX >=______. (6) 设总体X 服从正态分布()21,N μσ,总体Y 服从正态分布()22,N μσ,112,,,n X X X 和212,,,n Y Y Y 分别是来自总体X 和Y 的简单随机样本,则()()122211122n n i j i j X X Y Y E n n ==⎡⎤-+-⎢⎥⎢⎥=⎢⎥+-⎢⎥⎣⎦∑∑______. 二、选择题:本题共8小题,每小题4分,满分24分. 在每小题给出的四个选项中,只有一项符合题目要求,请把所选项前的字母填在答题纸指定位置上.(7) 函数()()()()2sin 212x x f x x x x -=--在下列哪个区间内有界.(A )()1,0- (B )()0,1 (C )()1,2 (D )()2,3(8) 设()f x 在(),-∞+∞内有定义,且()lim x f x a →∞=,()1,0,0,0,fx g x x x ⎧⎛⎫≠⎪ ⎪=⎝⎭⎨⎪=⎩则(A )0x =必是()g x 的第一类间断点 (B )0x =必是()g x 的第二类间断点(C )0x =必是()g x 的连续点 (D )()g x 在点0x =处的连续性与a 的值有关.(9) 设()()1f x x x =-,则(A )0x =是()f x 的极值点,但()0,0不是曲线()y f x =的拐点 (B )0x =不是()f x 的极值点,但()0,0是曲线()y f x =的拐点 (C )0x =是()f x 的极值点,且()0,0是曲线()y f x =的拐点 (D )0x =不是()f x 的极值点,()0,0也不是曲线()y f x =的拐点 (10) 设有以下命题:① 若()2121n n n u u ∞-=+∑收敛,则1n n u ∞=∑收敛② 若1n n u ∞=∑收敛,则10001n n u ∞+=∑收敛③ 若1lim 1n n nu u +→∞>,则1n n u ∞=∑发散④ 若()1n n n u v ∞=+∑收敛,则1n n a ∞=∑,1n n v ∞=∑都收敛则以上命题中正确的是(A )①② (B )②③ (C )③④ (D )①④(11) 设()f x '在[],a b 上连续,且()()0,0f a f b ''><,则下列结论中错误的是(A )至少存在一点()0,x a b ∈,使得()()0f x f a > (B )至少存在一点()0,x a b ∈,使得()()0f x f b > (C )至少存在一点()0,x a b ∈,使得()00f x '=(D )至少存在一点()0,x a b ∈,使得()00f x = (12) 设n 阶矩阵A 与B 等价,则必有(A )当()0A a a =≠时,B a = (B )当()0A a a =≠时,B a =- (C )当0A ≠时,0B = (D )当0A =时,0B =(13) 设n 阶矩阵A 的伴随矩阵*0A ≠,若1234,,,ξξξξ是非齐次线性方程组Ax b =的互不相等的解,则对应的齐次线性方程组0Ax =的基础解系(A )不存在 (B )仅含一个非零解向量(C )含有两个线性无关的解向量 (D )含有三个线性无关的解向量(14) 设随机变量X 服从正态分布()0,1N ,对给定的()0,1α∈,数n u 满足{}P X u αα>=,若{}P X x α<=,则x 等于(A )2u α (B )12uα-(C )12u α- (D )1u α-三、解答题:本题共9小题,满分94分. 请将解答写在答题纸指定的位置上. 解答应写出文字说明、证明过程或演算步骤.(15)(本题满分8分)求22201cos lim sin x x x x →⎛⎫- ⎪⎝⎭. (16)(本题满分8分) 求()22Dx y y d σ++⎰⎰,其中D 是由圆224x y +=和()2211x y ++=所围成的平面区域(如图).(17)(本题满分8分)设()(),f x g x 在[],a b 上连续,且满足()()x xaaf t dtg t dt ≥⎰⎰,[),x a b ∈,()()b baaf t dtg t dt =⎰⎰证明:()()b baaxf x dx xg x dx ≤⎰⎰.(18)(本题满分9分)设某商品的需求函数为1005Q P =-,其中价格()0,20P ∈,Q 为需求量. (Ⅰ)求需求量对价格的弹性()0d d E E >;(Ⅱ)推导()1d dRQ E dP=-(其中R 为收益),并用弹性d E 说明价格在何范围内变化时,降低价格反而使收益增加.(19)(本题满分9分)设级数()468242462468x x x x +++-∞<<+∞⋅⋅⋅⋅⋅⋅ 的和函数为()S x .求:(Ⅰ)()S x 所满足的一阶微分方程; (Ⅱ)()S x 的表达式.(20)(本题满分13分)设()()()1231,2,0,1,2,3,1,2,2TTTa ab a b ααα==+-=---+,()1,3,3Tβ=-. 试讨论当,a b 为何值时,(Ⅰ)β不能由123,,ααα线性表示;(Ⅱ)β可由123,,ααα唯一地线性表示,并求出表示式;(Ⅲ)β可由123,,ααα线性表示,但表示式不唯一,并求出表示式.(21)(本题满分13分)设n 阶矩阵111b b b b A b b ⎡⎤⎢⎥⎢⎥=⎢⎥⎢⎥⎣⎦. (Ⅰ)求A 的特征值和特征向量;(Ⅱ)求可逆矩阵P ,使得1P AP -为对角矩阵.(22)(本题满分13分)设,A B 为两个随机事件,且()()()111,,432P A P B A P A B ===,令1,0,.A X A ⎧=⎨⎩发生,不发生 1,0,.B Y B ⎧=⎨⎩发生,不发生求:(Ⅰ)二维随机变量(),X Y 的概率分布; (Ⅱ)X 与Y 的相关系数XY ρ; (Ⅲ)22Z X Y =+的概率分布.(23)(本题满分13分)设随机变量X 的分布函数为()1,,;,0,.x F x x x βαααβα⎧⎛⎫->⎪ ⎪=⎨⎝⎭⎪≤⎩其中参数0,1αβ>>. 设12,,,n X X X 为来自总体X 的简单随机样本. (Ⅰ)当1α=时,求未知参数β的矩估计量; (Ⅱ)当1α=时,求未知参数β的最大似然估计量; (Ⅲ)当2β=时,求未知参数α的最大似然估计量.。
2004-2015年考研线代试题整理(数三)(学生复印)
c1, c2, c3 , c4为任意常数,则下列向量组线性相关的是(
(A) 1 , 2, 3 (C) 1 , 3, 4 (B) 1 , 2, 4 (D) 2, 3, 4
2010 年每小题 4 分(5) 设向量组Ⅰ: 1, 2, 下列命题正确的是 (A)若向量组Ⅰ线性无关,则 r s (C)若向量组Ⅱ线性无关,则 r s
2 1 0 (A) 1 1 0 . 0 0 2 2 0 0 (C) 0 1 0 . 0 0 2
1 1 0 (B) 1 2 0 . 0 0 2 1 0 0 (D) 0 2 0 . 0 0 2
*
O A | A | 2,| B | 3 ,则分块矩阵 的伴随矩阵为 B O
(A)
O 2A O 2B
* *
3B* . O 3 A* . O
2
(B)
O 3A O 3B
* *
2 B* . O 2 A* . O
(A) a , d
)
(B) a , d
(C) a , d (D) a , d
1 2 3 4 2014 年(20) (本题满分 11 分)设 A 0 1 1 1 , E 为 3 阶单位矩阵。 1 2 0 3
4.3 向量组的秩 4.4 线性方程组的解的结构
1 1 1 1 2015 年每小题 4 分(5)设矩阵 A 1 2 a , b d .若集合 1, 2 ,则线性方程组 1 4 a 2 d2
Ax b 有无穷多解的充分必要条件为 (
1 (A) 2 1 2 (C) 1 2
- 1、下载文档前请自行甄别文档内容的完整性,平台不提供额外的编辑、内容补充、找答案等附加服务。
- 2、"仅部分预览"的文档,不可在线预览部分如存在完整性等问题,可反馈申请退款(可完整预览的文档不适用该条件!)。
- 3、如文档侵犯您的权益,请联系客服反馈,我们会尽快为您处理(人工客服工作时间:9:00-18:30)。
2015年全国硕士研究生入学统一考试数学三试题一、选择题:1~8小题,每小题4分,共32分.下列每题给出的四个选项中,只有一个选项符合题目要求的,请将所选项前的字母填在答题纸...指定位置上. 1.设{k x }是数列,下列命题中不正确的是() (A)若lim k k x a →∞=,则221lim lim k k k k x x a +→∞→∞==.(B)若221lim lim k k k k x x a +→∞→∞==,则lim k k x a →∞=(C) 若lim k k x a →∞=,则321lim lim k k k k x x a +→∞→∞==(D)若331lim lim k k k k x x a +→∞→∞==,则lim k k x a →∞=2.设函数()f x 在(,)-∞+∞连续,其二阶导函数()f x ''的图形如右图所示,则曲线()y f x =的拐点个数为()(A )0 (B)1 (C)2 (D)33.设{}2222(,)2,2D x y x y x x y y =+≤+≤,函数(,)f x y D 上连续, 则(,)Df x y dxdy ⎰⎰=()2cos 2sin 4200042sin 2cos 42000410110()(cos ,sin )(cos ,sin )()(cos ,sin )(cos ,sin )()2(,)()2(,)xXA d f r r rdr d f r r rdrB d f r r rdr d f r r rdrC dx f x y dyD dx f x y dyππθθπππθθπθθθθθθθθθθθθ++⎰⎰⎰⎰⎰⎰⎰⎰⎰⎰⎰4.下列级数中发散的是()(A )13n n n ∞=∑(B)11)n n ∞=+ (C)2(1)1ln n n n ∞=-+∑ (D)1!n n n n∞=∑5.设矩阵22111112,,14A a b d a d ⎛⎫⎛⎫⎪ ⎪== ⎪ ⎪ ⎪ ⎪⎝⎭⎝⎭若集合(1,2)Ω=,则线性方程组Ax b =有无穷多解的充分必要条件为()(),A a d ∉Ω∉Ω (),B a d ∉Ω∈Ω (),C a d ∈Ω∉Ω (),D a d ∈Ω∈Ω6.设二次型1,23(,)f x x x 在正交变换x py =下的标准形为2221232y y y +-,其中123(,,)p e e e =,若132(,,),Q e e e =-则123(,,)x x x 在正交变换x Qy =下的标准形为()(A )2221232y y y -+ (B)2221232y y y +- (C)2221232y y y -- (D)2221232y y y ++7.设A,B 为任意两个随机事件,则()(A )()()()P AB P A P B ≤ (B)()()()P AB P A P B ≥(C) ()()()2P A P B P AB +≤ (D)()()()2P A P B P AB +≥8.设总体(,)XB m θ,12,,n x x x 为来自该总体的简单随机样本,X 为样本均值,则21()n i i E x X =⎡⎤-=⎢⎥⎣⎦∑() (A )(1)(1)m n θθ-- (B) (1)(1)m n θθ-- (C) (1)(1)(1)m n θθ--- (D) (1)mn θθ-二、填空题:9~14小题,每小题4分,共24分.请将答案写在答题纸...指定位置上. 92ln(cos )limx x x →∞= 。
10设函数()f x 连续,2()()x x xf t ϕ=⎰,若(1)ϕ1=,'(1)5ϕ=,则(1)f =11若函数z = (,)z x y 由方程2+3z1x y e xyz ++=确定,则(0,0)dz = 12设函数()y y x =是微分方程'''20y y y +-=的解,且在x =0处()y x 取得极值3,则()y x = 13设3阶矩阵A 的特征值为2,-2,1,2B A A E =-+,其中E 为3阶单位矩阵,则行列式B = 14设二维随机变量(,)X Y 服从正态分布(1,0;1,1;0)N ,则(0)P XY Y -<=三、解答题:15~23小题,共94分.请将解答写在答题纸...指定位置上.解答应写出文字说明、证明过程或演算步骤.15、(本题满分10分)设函数3()ln(1)sin ,(),f x x x bx x g x kx α=+++⋅=若()f x 与()g x 在0x →时 是等价无穷小,求a,b,k 的值。
16、(本题满分10分) 计算二重积分()Dx x y dxdy +⎰⎰,其中{}222(,)2,D x y xy y x =+≤≥17、(本题满分10分)为了实现利润最大化,厂商需要对某商品确定其定价模型,设Q 为该商品的需求量,p 为价格,MC 为边际成本,η为需求弹性(η>0) (i )证明定价模型为11MCp η=-(ii )若该商品的成本函数为2()1600C Q Q =+,需求函数为40Q p =-,试由(1)中的定价模型确定此商品的价格。
18、(本题满分10分)设函数()f x 在定义域I 上的导数大于零,若对任意的0x I ∈,曲线()y f x =在点()00,()x f x 处的切线与直线0x x =及x 轴所围成区域的面积恒为4,且(0)2f =,求()f x 的表达式。
19、(本题满分10分)(i )设函数()u x ,()v x 可导,利用导数定义证明[]'''()()()()()()u x v x u x v x u x v x =+(ii )设函数12*(),(),,()u x u x K u x 可导,12*()()()()f x u x u x Ku x =,写出()f x 的求导公式。
20(本题满分11分)(20)设矩阵101101a A a a ⎛⎫ ⎪=- ⎪ ⎪⎝⎭,且30A =.(i )求a 的值;(ii )若矩阵X 满足22X XA AX AXA E --+=,其中E 为3阶单位矩阵,求X .21(本题满分11分)设矩阵02313312A a -⎛⎫ ⎪=-- ⎪ ⎪-⎝⎭,相似于矩阵12000031B b -⎛⎫ ⎪= ⎪ ⎪⎝⎭,(i )求a,b 的值(ii )求可逆矩阵P ,使1P AP -为对角矩阵。
22(本题满分11分)设随机变量X 的概率密度为2ln 2,0,()0,0x x f x x -⎧=⎨≤⎩>对X 进行独立重复的观测,直到第2个大于3的观测值出现时停止,记Y 为观测次数。
(1) 求Y 的概率分布; (2) 求EY 。
23(本题满分11分) 设总体X 的概率密度为11(:)10,x f x θθθ⎧≤≤⎪=-⎨⎪⎩,其他其中θ为未知参数,12,,R X X L X ,为来自该总体的简单随机样本。
、(1) 求θ的矩估计量;(2) 求θ的最大似然估计量2014年全国硕士研究生入学统一考试数学三试题一、选择题:1~8小题,每小题4分,共32分,下列每小题给出的四个选项中,只有一项符合题目要求的,请将所选项前的字母填在答题纸...指定位置上. (1)设lim ,n a a =且0,a ≠则当n 充分大时有( ) (A )2n aa >(B )2n aa <(C )1n a a n >-(D )1n a a n<+(2)下列曲线有渐近线的是( ) (A )sin y x x =+ (B )2sin y x x =+ (C )1siny x x=+(D )21siny x x=+ (3)设23(x)a P bx cx dx =+++ ,当0x → 时,若(x)tanx P - 是比x 3高阶的无穷小,则下列试题中错误的是 (A )0a = (B )1b = (C )0c = (D )16d =(4)设函数()f x 具有二阶导数,()(0)(1)(1)g x f x f x =-+,则在区间[0,1]上( ) (A )当'()0f x ≥时,()()f x g x ≥ (B )当'()0f x ≥时,()()f x g x ≤ (C )当'()0f x ≤时,()()f x g x ≥ (D )当'()0f x ≤时,()()f x g x ≥(5)行列式00000000ab a bcd cd= (A )2()ad bc - (B )2()ad bc -- (C )2222a d b c - (D )2222b c a d -(6)设123,,a a a 均为3维向量,则对任意常数,k l ,向量组1323,k l αααα++线性无关是向量组123,,ααα线性无关的(A )必要非充分条件 (B )充分非必要条件 (C )充分必要条件(D )既非充分也非必要条件(7)设随机事件A 与B 相互独立,且P (B )=0.5,P(A-B)=0.3,求P (B-A )=( ) (A )0.1 (B )0.2(C )0.3 (D )0.4(8)设123,,X X X 为来自正态总体2(0,)N σ服从的分布为(A )F (1,1) (B )F (2,1) (C )t(1) (D )t(2)二、填空题:9-14小题,每小题4分,共24分,请将答案写在答题纸...指定位置上. (9)设某商品的需求函数为402Q P =-(P 为商品价格),则该商品的边际收益为_________。
(10)设D 是由曲线10xy +=与直线0y x +=及y=2围成的有界区域,则D 的面积为_________。
(11)设2014ax xe dx =⎰,则_____.a = (12)二次积分22110()________.xy y e dy e dx x-=⎰⎰ (13)设二次型22123121323(,,)24f x x x x x ax x x x =-++的负惯性指数为1,则a 的取值范围是_________(14)设总体X 的概率密度为222(;)30x x f x θθθθ⎧<<⎪=⎨⎪⎩其它,其中θ是未知参数,12,,...,,n X X X 为来自总体X 的简单样本,若21nii c x=∑ 是2θ的无偏估计,则c = _________三、解答题:15—23小题,共94分.请将解答写在答题纸...指定位置上.解答应写出文字说明、证明过程或演算步骤.(15)(本题满分10分)求极限12121lim1ln(1)xtx t e t dt x x→+∞⎡⎤⎛⎫--⎢⎥ ⎪⎢⎥⎝⎭⎣⎦+⎰(16)(本题满分10分)设平面区域22{(,)|14,0,0}D x y x y x y =≤+≤≥≥,计算.D(17)(本题满分10分)设函数()f u 具有2阶连续导数,(cos )xz f e y =满足222224(cos )x xz z z e y e x y∂∂+=+∂∂,若(0)0,'(0)0f f ==,求()f u 的表达式。