专题强化测评(二十一)
语法专题 非谓语动词重难点分类强化及练习答案 -2022届高考英语总复习

第三组 Having done 做状语,表达having done动作发生在 谓语动词之前完成
• 1.__H_a_v_i_n_g_w__o_rk_e_d__ (work) for two days, Steve managed to finish his report on schedule.
• 2._H_a_v_i_n_g_o_v_e_r_c_o_m_e_ (overcome) all difficulties, Mr. Li and all the students smiled in relief.
• 3.The manager, h_a_v_i_n_g_m__a_d_e__ (make) it clear to us that he didn’t agree with us, left the
• meeting room. • 4._H_a_v_i_n_g_a_r_r_iv_e_d_ (arrive) early for his date, Mark spent time
• 14.By far, there are many problems ____l_e_ft______ (leave) to be solved.
•
15.A beggar in rags stood there with at the steak牛排on the plate盘子.
his
eyes
__s_t_a_ri_n_g______
•非谓语动词重难点分类强化 练习+讲解
第一组 动词作定语:being done正在被;done已被;to be done 将要被
1.The stadium体育场 __b_e_in_g__b_u_il_t_____ (build) at present目前 in our city is intended for为…打算/设计 the coming Asian Games.
备考突破 高三化学专题强化集训——溶度积常数的相关计算(精编解析)

备考突破2020高三化学专题强化集训——溶度积常数的相关计算(精编解析)一、单选题(本大题共25小题,共50分)1.侯德榜是近代化学工业的奠基人之一,是世界制碱业的权威。
某同学在实验室模拟侯氏制碱法生产的纯碱中含有少量NaCl,下列说法正确的是A. 相同温度下,碳酸钙在纯碱溶液中的溶度积小于在水中的溶度积B. 用标准盐酸滴定一定质量的样品,可以测量出纯碱的纯度C. 用托盘天平称取样品配制溶液进行实验D. 只用硝酸银溶液,即可鉴别样品溶液中是否含有氯离子2.《环境科学》刊发了我国科研部门采用零价铁活化过硫酸钠,其中S为价去除废水中的正五价砷的研究成果,其反应机制模型如图所示。
设阿伏加德罗常数的值为,。
下列叙述正确的是A. 过硫酸钠含个过氧键B. 若参加反应,共有个被还原C. 室温下,中间产物溶于水所得饱和溶液中为D. pH越小,越有利于去除废水中的正五价砷3.常温下,用溶液分别滴定浓度均为的KCl、溶液,所得的沉淀溶解平衡图像如图所示不考虑的水解。
下列叙述正确的是A. 的数量级等于B. n点表示AgCl的不饱和溶液C. 向的混合液中滴入溶液时,先生成沉淀D. 的平衡常数为4.已知: 时,,。
下列说法正确的是A. 若向饱和溶液中加入固体,则有固体析出B. 反应的平衡常数C. 相同条件下,CuS在水中的溶解度大于在水中的溶解度D. 溶液中含固体,则溶液中的物质的量浓度为5.已知298K时下列物质的溶度积下列说法正确的是A. 等体积浓度均为的和溶液混合能产生沉淀B. 浓度均为的和混合溶液中慢慢滴入溶液时,先沉淀C. 在悬浊液中加入盐酸发生反应的离子方程式:D. 298K时,上述四种饱和溶液的物质的量浓度:6.设为阿伏加德罗常数的值,下列说法正确的是A. 时,的溶液中含有的数目为B. 的乙醇溶液中含氧原子C. 与过量氯气发生取代反应,生成气体为D. 时,则该温度下饱和溶液中含有个7.常温下,,,下列叙述不正确的是A. 浓度均为的溶液和NaCl溶液等体积混合,有白色沉淀产生B. 将的溶液滴入的KCl和的混合溶液中,先产生AgCl沉淀C. 的溶液中要产生沉淀,溶液的pH要控制在9以上D. 其他条件不变,向饱和水溶液中加入少量溶液,溶液中减小8. ,为研究用溶液将混合溶液中的和沉淀分离,绘制了 时AgCl和两种难溶化合物的溶解平衡曲线。
溶液中离子浓度大小比较专题强化训练

溶液中离子浓度大小比较专题强化训练一、关于水的电离的有关叙述:例1、100℃时纯水电离出的氢离子是25℃纯水电离出的氢离子的多少倍(已知:100℃时Kw=1×10-12;25℃时Kw=1×10-14( )A 10-2B 2倍C 102D 10倍练习1:25℃时PH=3的盐酸溶液中由水电离出c(H+)是PH=5的盐酸溶液中由水电离出的c(H+)的多少倍( )A 103B 10-2C 10-3D 2练习2:常温下某溶液由水电离出的c(H+)=1×10-11mol/L,则该溶液的PH值可能等于( ) A 11 B 3 C 8 D 7练习3:25℃时,PH=11的NaOH溶液和NaCN溶液中,由水电离出的c(H+)的关系( )A 相等B 后者是前者的11倍C 后者是前者的108 D前者是后者的108练习4:将固体苛性钠溶于水配成100mL溶液,当溶液中由水本身电离产生的c(OH-)=1×10-13mol/l,则加入的苛性钠的质量为( )A 0.8gB 0.4gC 4gD 40g练习5:下列四种溶液(1)pH=0的盐酸溶液(2)0.1mol/L的盐酸溶液(3)0.01mol/L的NaOH (4)pH=11的NaOH溶液由水电离出的c(H+)浓度之比( )A 1:10:100:1000B 0:1:11:11C 14:13:12:11D 100;10:1:0练习6:在由水电离出的c(H+)=10-13mol·L-1的溶液中,一定能大量共存的离子组是( )A、 K+、Fe2+、 Br-、 NO3-B、 Ba2+、Na+、Cl-、 NO3-C、 NH4+、Na+、HCO3-、SO42-D、 Na+、Al3+、NO3-、Cl-二、单一溶质溶液中离子浓度大小关系:例2、H2S溶液中,各离子浓度大小关系为________________________________________,例3、Na2S溶液中有哪些微粒?_________________________________________________,例4、在2mol/L的CH3COONa溶液中,存在哪些平衡?存在哪些守恒关系?练习7: 在NH4Cl溶液中,离子浓度大小排队正确的是( )A、c(NH4+)> c(Cl-)> c(OH-)> c(H+)B、c(Cl-)> c(NH4+)> c(OH-)> c(H+)C、c(Cl-)>c(NH4+)> c(H+)> c(OH-)D、 c(NH4+)> c(Cl-)> c(H+)> c(OH-)练习8:常温下,下列关于0.1mol/LNH4Cl溶液的说法正确的是( ) ①c(NH4+)=0.1mol·L-1 ; ②溶液中 c(H+)· c(OH-)=1.0×10-14 ;③水电离出来的 c(H+)= c(OH-); ④溶液的pH=1 ;⑤ c(OH-)= c(NH4+)+ c(H+)- c(Cl-); ⑥升高温度,溶液的pH增大;⑦加热蒸干溶液,将得不到固体物质; ⑧ c(NH4+)+ c(NH3·H2O)=0.1mol·L-1;⑨ c(OH-)+ c(NH3·H2O)= c(H+); ⑩ NH4Cl水解的离子方程式为: NH4++OH-== NH3·H2O、练习9: Na2S溶液中各种离子的物质的量浓度关系不正确的是( )A、c(Na+)>c(S2-)>c(OH-)>c(HS-)B、c(Na+)+c(H+)=c(HS-)+2c(S2-)+c(OH-)C、c(Na+)=2c(HS-)+2c(S2-)+2c(H2S)D、c(OH-)=c(H+) + c(HS-)练习10、在0.1 mol·L-1的NaHCO3溶液中,下列关系式正确的是( )A、c(Na+)>c(HCO3-)>c(H+)>c(OH-)B、c(Na+)+c(H+)=c(HCO3-)+c(OH-)+2c(CO32-)C、c(Na+)=c(HCO3-)>c(OH-)>c(H+)D、c(Na+)=c(HCO3-)+c(H2CO3)+c(CO32-)练习11、已知某温度下0.1mol·L-1的NaHB(强电解质)溶液中c(H+)> c(OH-),则下列有关说法或关系式一定正确的是( )①HB-的水解程度小于HB-的电离程度;②c(Na+)=0.1mol·L-1≥ c(B2-);③溶液的pH=1;④ c(Na+)= c(HB-)+2 c(B2-)+ c(OH-)、A、①②B、②③C、②④D、①②③练习12、已知某酸的酸式盐NaHY的水溶液的pH=8,则下列说法中正确的是( )A、在Na2Y、NaHY、H2Y的溶液中,阴离子的种类不同B、NaHY的溶液中,离子浓度大小顺序为:c(Na+)> c(Y-)> c(HY-)> c(OH-)> c(H+)C、HY-的水解离子方程式为:HY-+H2O Y-+H3O+D、相同物质的量浓度的Na2Y和NaHY溶液,前者的pH大于后者三、两种溶液混合后不同离子浓度的比较:1、两种物质混合不反应:例4、用物质的量都是0.1 mol的CH3COOH与CH3COONa配成1 L混合溶液,已知其中c(CH3COO-)大于c(Na+),对该混合溶液下列判断正确的是( )A、c(H+)>c(OH-)B、c(CH3COOH)+c(CH3COO-)=0.2 mol·L-1C、c(CH3COOH)>c(CH3COO-)D、c(CH3COO-)+c(OH-)=0.1 mol·L-1练习13、CH3COOH与CH3COONa等物质的量混合配制成稀溶液,pH值为4.7,下列说法错误的( ) A、CH3COOH的电离作用大于CH3COONa的水解作用 B、CH3COOH的存在抑制了CH3COONa的水解C、CH3COONa的水解作用大于CH3COOH的电离作用D、CH3COONa的存在抑制了CH3COOH的电离2、两种物质恰好完全反应:例5:100 mL 0.1 mol·L-1 醋酸与50 mL 0.2 mol·L-1 NaOH溶液混合,在所得溶液中( )A、c(Na+)>c(CH3COO-)>c(OH-)>c(H+)B、c(Na+)>c(CH3COO-)>c(H+)>c(OH-)C、c(Na+)>c(CH3COO-)>c(H+)=c(OH-)D、c(Na+)=c(CH3COO-)>c(OH-)>c(H+)练习14:在甲酸溶液中加入一定量NaOH溶液,恰好完全反应,对于生成的溶液,下列判断一定正确的是( )A、c(HCOO-)<c(Na+)B、c(HCOO-)>c(Na+)C、c(OH-)>c(HCOO-)D、c(OH-)<c(HCOO-)练习15:等体积等浓度的醋酸与NaOH溶液相混合,所得溶液中离子浓度由大到小的顺序是( )A、c(Na+)>c(Ac-)>c(OH-)>c(H+)B、c(Na+)=c(Ac-)>c(OH-)>c(H+)C、c(Na+)>c(OH-)>c(Ac-)>c(H+)D、c(Na+)>c(OH-)>c(H+)>c(Ac-)如果一定量的醋酸和氢氧化钠混合后,溶液的pH=7,则各离子浓度的关系为()A、c(Na+)>c(Ac-)B、c(Na+)=c(Ac-)C、c(Na+)<c(Ac-)D、c(OH-)>c(H+)3、两种物质反应,其中一种有剩余:例6、把0.02 mol·L-1 HAc溶液与0.01 mol·L-1NaOH溶液等体积混合,则混合液中微粒浓度关系正确的是( )A、c(Ac-)>c(Na+)B、c(HAc)>c(Ac-)C、2c(H+)=c(Ac-)+c(HAc)D、c(HAc)+c(Ac-)=0.01 mol·L-1例7、将0.2 mol·L-1 CH3COOK 与0.1 mol·L-1盐酸等体积混合后,溶液的pH<7,则溶液中下列微粒的物质的量浓度的关系正确的是( )A、c(CH3COO-)=c(Cl-)=c(H+)>c(CH3COOH)B、c(CH3COO-)=c(Cl-)>c(CH3COOH)>c(H+)C、c(CH3COO-)>c(Cl-)>c(H+)>c(CH3COOH)D、c(CH3COO-)>c(Cl-)>c(CH3COOH)>c(H+)练习16:将0.4mol/LNH4Cl溶液和0.2mol/LNaOH溶液等体积混合后,溶液中下列微粒的物质的量关系正确的是( )A 、c(NH4+)=c(Na+)=c(OH-)>c(NH3·H 2O)B、c(NH4+)=c(Na+)>c(NH3·H2O) >c(OH-)>c(H+)C、c(NH4+)>c(Na+)>c(OH-)>c(NH3·H2O)D、c(NH4+)>c(Na+)>c(NH3·H2O) >c(OH-)>c(H+)4、未指明酸碱的强弱:例8、一元酸HA溶液中,加入一定量强碱MOH溶液后,恰好完全反应,反应后的溶液中,下列判断正确的是( )A.[A-]≥[M+] B.[A-]≤[M+]C.若MA不水解,则[OH-]<[A-] D.若MA水解,则[OH-]>[A-]练习17、实验测得常温下0.1mol/L某一元酸(HA)溶液的pH值等于1, 0.1mol/L某一元碱(BOH)溶液里[H+]/[OH-]=10-12、将此两种溶液等体积混合后,所得溶液呈的各离子的浓度由大到小排列的顺序是( )A.[B+]>[A-]>[OH-]>[H+] B.[A-]>[B+]>[H+]>[OH-]C.[B+]=[A-]>[H+]=[OH-] D.[B+]>[A-]>[H+]>[OH-] 5、pH之和等于14的酸和碱溶液的混合:例9、将pH=3的盐酸和pH=11的氨水等体积混合后溶液呈_____性,溶液中c(NH4+)与c(Cl-)的大小关系是___________________;练习18:将pH=3的CH3COOH与pH=11的NaOH溶液等体积混合后,所得的混合溶液中,下列关系式正确的是( )A、 c(Na+)>c(CH3COO-)>c(H+) >c(OH-)B、 c(CH3COO-)>c(Na+)>c(H+)>c(OH-)C、 c(CH3COO-)>c(H+)>c(Na+)>c(OH-)D、c(CH3COO-)>c(Na+)> c(OH-) >c(H+)练习19:将pH=2的盐酸与pH=12的氨水等体积混合,在所得的混合溶液中,下列关系式正确的是( )A、c(Cl-)>c(NH4+)>c(OH-)>c(H+)B、c(NH4+)>c(Cl-)> c(OH-)>c(H+)C、c(Cl-)=c(NH4+)>c(H+)=c(OH-)D、c(NH4+)>c(Cl-)>c(H+)>c(OH-)四、不同物质相同离子浓度的比较:练习20:物质的量浓度相同的下列溶液①(NH4)2CO3 ② (NH4)2SO4 ③NH4HCO3④NH4HSO4⑤NH4Cl ⑥NH3·H2O;按c(NH4+)由小到大的排列顺序正确的是( )A.③⑤④⑥①③B.⑥③⑤④①②C.⑥⑤③④①②D.⑥③⑤④②①高考模拟:1.某二元弱酸(简写为H2A)溶液,按下式发生一级和二级电离:H2A H++HA-,HA-H++A2-已知相同浓度时的电离度α(H2A)>α(HA-),设有下列四种溶液:A.0.01 mol·L-1的H2A溶液B.0.01 mol·L-1的NaHA溶液C.0.02 mol·L-1的HCl与0.04 mol·L-1的NaHA溶液等体积混合液D.0.02 mol·L-1的NaOH与0.02 mol·L-1的NaHA溶液等体积混合液据此,填写下列空白(填代号):(1) c(H+)最大的是,最小的是。
《健全培养选拔优秀年轻干部常态化工作机制,培养造就堪当重任的可靠接班人》测试题答案

《健全培养选拔优秀年轻干部常态化工作机制,培养造就堪当重任的可靠接班人》测试题答案2024-08-27 21:10:05第1题(单选题) [10分]2019年3月,习近平总书记以()为主题给中央党校中青班学员讲了第一课。
• A.加强理论修养,坚定理想信念• B.发扬斗争精神,增强斗争本领• C.年轻干部要提高解决实际问题的能力• D.立志做党光荣传统和优良作风的忠实传人本题回答:正确正确答案: A第2题(单选题) [10分]习近平总书记强调,讲规矩守底线,首先要有敬畏心,心有所畏,方能言有所戒、行有所止。
干部一定要知敬畏、存戒惧、守底线,敬畏()。
• A.党• B.法纪• C.人民• D.党、人民、法纪本题回答:正确正确答案: D第3题(单选题) [10分]20个字的好干部标准是:信念坚定、()。
• A.为民服务、无私奉献、敢于担当、清正廉洁• B.为民服务、勤政务实、无私奉献、清正廉洁• C.为民服务、勤政务实、敢于担当、无私奉献• D.为民服务、勤政务实、敢于担当、清正廉洁本题回答:正确正确答案: D第4题(单选题) [10分]党的十九大以后,习近平总书记共()次到中央党校给中青班学员亲自讲第一课。
• A.4• B.5• C.6• D.7本题回答:错误正确答案: C第5题(单选题) [10分]2018年6月29日,中共中央政治局召开会议,审议()。
• A.关于适应新时代要求大力发现培养选拔优秀年轻干部的意见• B.关于进一步激励广大干部新时代新担当新作为的意见• C.推进领导干部能上能下规定• D.党政领导干部选拔任用工作条例本题回答:正确正确答案: A第6题(单选题) [10分]2024年3月1日,中央书记处书记蔡奇同志在中央党校中青班开班上传达习近平总书记重要指示后,特别强调习近平总书记的重要指示高屋建瓴、深谋远虑,具有很强的()。
• A.政治性、理论性、指导性、针对性• B.政治性、思想性、指导性、针对性• C.政治性、思想性、理论性、针对性• D.政治性、思想性、理论性、指导性本题回答:正确正确答案: B第7题(单选题) [10分]2023年,全国纪检监察机关运用四种形态,批评教育和处理的党员干部171.8万人次。
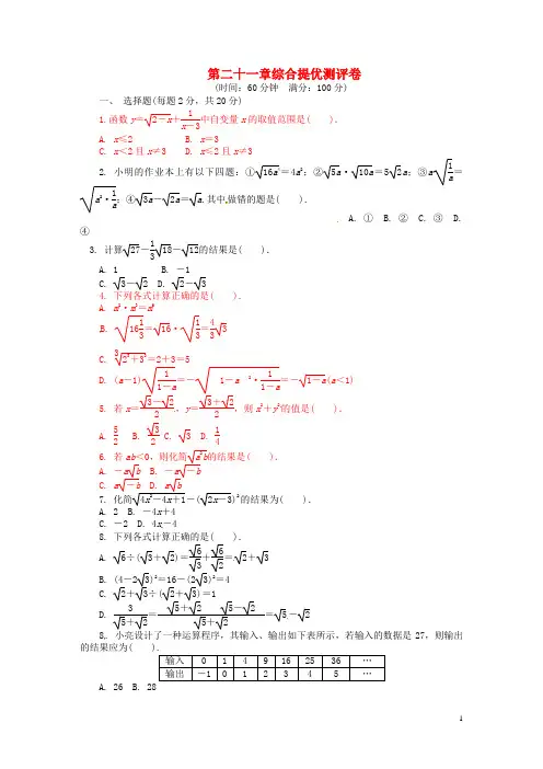
2014九年级数学上册 第21章综合提优测评卷 新人教版

第二十一章综合提优测评卷(时间:60分钟 满分:100分)一、 选择题(每题2分,共20分)1.函数y =2-x +1x -3中自变量x 的取值范围是( ).A. x ≤2B. x =3C. x <2且x ≠3D. x ≤2且x ≠32. 小明的作业本上有以下四题:①16a 4=4a 2;②5a ·10a =52a ;③a1a=a 2·1a;④3a -2a =a .其中做错的题是( ).A. ①B. ②C. ③D. ④3. 计算27-1318-12的结果是( ). A. 1 B. -1 C. 3- 2 D. 2- 34. 下列各式计算正确的是( ).A. m 2·m 3=m 6B. 1613=16·13=43 3C. 323+33=2+3=5 D. (a -1)11-a=--a2·11-a=-1-a (a <1) 5. 若x =3-22,y =3+22,则x 2+y 2的值是( ). A. 52 B. 32 C. 3 D. 146. 若ab <0,则化简a 2b 的结果是( ). A. -a b B. -a -b C. a -b D. a b7. 化简4x 2-4x +1-(2x -3)2的结果为( ). A. 2 B. -4x +4 C. -2 D. 4x -48. 下列各式计算正确的是( ).A. 6÷(3+2)=63+62=2+ 3B. (4-23)2=16-(23)2=4C. 2+3÷(2+3)=1D. 35+2=5+25-25+2=5- 28. 小亮设计了一种运算程序,其输入、输出如下表所示,若输入的数据是27,则输出的结果应为(C. 33-1D. 32+110. 设0<m <1,则在实数m ,1m,m ,3m 中,最小的数是( ).A. mB. 1mC. mD. 3m二、 填空题(每题3分,共24分) 11. 计算:3-2+3=_______.12. 对于任意不相等的两个数a ,b ,定义一种运算※如下:a ※b =a +b a -b ,如3※2=3+23-2= 5.那么12※4=__________.13. 如果5+7,5-7的小数部分分别为a ,b ,那么a +b 的值为________.14. 若已知一个梯形的上底长为(7-2)cm ,下底长为(7+2)cm ,高为27cm ,则这个梯形的面积为________.15. 如图,数轴上表示1, 3的对应点分别为点A 、B ,点B 关于点A 的对称点为C ,设点C 所表示的数为x ,则x +3x的值为____________.(第15题)16. 若a ,b 为实数,b =a 2-9+9-a 2a -3+5,则a 2+b 2=________.17. 先阅读,再回答问题:因为12+1=2,且1<2<2,所以12+1的整数部分是1;因为22+2=6,且2<6<3,所以22+2的整数部分是2;因为32+3=12,且3<12<4,所以32+3的整数部分是3.以此类推,我们会发现a 2+a (a 为正整数)的整数部分是________,理由为___________________________________.18. 交通警察通常根据刹车后车轮滑过的距离估计车辆行驶的速度,所依据的公式是v =16df ,其中v 表示车速(单位:km/h),d 表示刹车后车轮滑过的距离(单位:m),f 表示摩擦系数.在某次交通事故调查中测得d =24 m ,f =1.3,则肇事汽车的车速大约是______km/h.三、 解答题(第19题16分,第20――23每题6分, 24、25题每题8分,共56分) 19. 计算:(1)50-38+18;(2)⎝ ⎛⎭⎪⎫5-122+5-12+1;(3)24- 1.5+223-53+623; (4)xx x x x 14962123-+.20.先化简,再求值: 22112()2yx y x y x xy y -÷-+++, 其中,23+=x 23-=y .21.已知x +y =5,xy =3,求xyyx +的值.22. 观察下列各式,通过分母有理数,把不是最简二次根式的化成最简二次根式: 12+1=2-2+2-=2-12-1=2-1,13+2=3-23+23-2=3-23-2=3-2, 同理可得14+3=4-3,……从计算结果中找出规律,并利用这一规律计算:23. 生活经验表明,靠墙摆放梯子时,若梯子底端离墙的距离约为梯子长度的13,则梯子比较稳定.现有一梯子,稳定摆放时,顶端达到5米的墙头,请问梯子有多长?24.某小区有一块等腰三角形的草地,它的一边长为20 m ,面积为160 m 2,为美化小区环境,现要给这块三角形草地围上白色的低矮栅栏,则需要栅栏的长度为多少米.25.先观察下列等式,再回答问题.①;211111*********2=+-+=++②;6111212113121122=+-+=++ ③⋅=+-+=++12111313114131122 (1)请根据上面三个等式提供的信息,猜想2251411++的结果; (2)请按照上面各等式反映的规律,试写出用n (n 为正整数)表示的等式.附加题(共10分,不计入总分)26. 宽与长之比为5-12∶1的矩形叫黄金矩形,黄金矩形令人赏心悦目,它给我们以协调,匀称的美感,如图所示,如果在一个黄金矩形里画一个正方形,那么留下的矩形还是黄金矩形吗?请证明你的结论.(第26题)数学家谈祥柏改诗谈祥柏是中国人民解放军军医大学数学教授,在科普领域辛勤耕耘,创作出不少优秀作品,深受广大青少年喜爱,此外,他对文学诗歌很有研究,常将数学与文学诗歌有机地结合在一起,显现了他的非凡才识与创新精神.有一次,他将我国近代著名诗人徐志摩一首很有名的新诗《再别康桥》:轻轻的,我走了…… 正如我轻轻的来……组成了一个有趣的数学题目,使数趣渗入到了诗歌领域.经改编,上述两句诗文成了如下的等式组:⎩⎨⎧轻轻的=我+走了 正-如÷我=轻轻的÷来这里,相同的汉字代表0,1,2,3,…,9中相同的数字,不同的汉字代表不同的数字,开平方得出的数,当然都是整数,这组等式有唯一的解答,你能试着把它解出来吗?这个问题的答案为:⎩⎨⎧225=4+13 7-8÷4=225÷9第二十一章综合提优测评卷1.D 2. D 3. C 4. D 5. A 6. A 7. A 8. D 9. C 10. A11. 2 12. 1213. 114. 14 cm 215. 8+2 3 16. 34 17. a 理由略 18. 89.419. (1)2 2 (2) (2)2 (3)166-5(4)x x 23- 20.原式y x y x -+=.把,23+=x 23-=y 代入上式,得原式=26.2122. 2 011 23. 梯子长5.3 m24.89420+ m 或m 5840+或51640+ m 25.(1);2011141411=+-+ (2).)1(111111)1(11122++=+-+=+++n n n n n n 26. 留下的矩形CDFE 是黄金矩形. ∵ 四边形ABEF 是正方形, ∴ AB =DC =AF .∵ AB AD =5-12,∴ FD DC =AD -AF DC =AD DC -1=AD AB -1=25-1-1=5-12. ∴ 矩形CDFE 是黄金矩形.。
2022年高考物理一轮复习高频考点强化训练 专题11 电场性质的综合分析(解析版)

专题11 电场性质的综合分析1.(2021·1月湖北学业水平选择性考试模拟演练,4)如图所示,在电场强度大小为E的匀强电场中,某电场线上有两点M和N,距离为2d。
在M和N处分别固定电荷量为+q和-q的两个点电荷。
下列说法正确的是()A.点电荷+q和-q受到的静电力大小均为qE,方向相反B.将点电荷+q沿MN连线向N点移动距离d,静电力对点电荷+q做功为qEdC.交换两个点电荷的位置,静电力对两个点电荷做功之和为零D.将两点电荷沿MN连线移动距离d,保持两个点电荷的距离不变,静电力对两个点电荷做功之和为零【答案】D【解析】静电力指匀强电场对电荷的作用力和电荷间的库仑力的合力,静电力做功即为合力做功,A错误;将点电荷+q沿MN连线向N点移动距离d,静电力对点电荷做功大于qEd,故B错误;交换两点电荷位置,静电力均对电荷做正功,故静电力对两点电荷做功之和不为零,C错误;将两点电荷沿MN连线移动距离d,且保持两个点电荷的距离不变,位移大小相等,方向相同,两点电荷受到的静电力保持等大反向,则静电力对两个点电荷做功之和为零,D正确。
2.(2021·1月湖南普高校招生适应性考试,3)如图,两个带等量正电的点电荷,分别固定在绝缘水平桌面上的A、B两点,一绝缘圆形细管水平固定在桌面A、B两点间,且圆形细管圆心O位于A、B连线的中点。
细管与A、B连线及中垂线交点分别为C、E、D、F。
一个带负电的小球在细管中按顺时针方向做完整的圆周运动。
不计一切摩擦,下列说法正确的是()A.小球从C运动到D的过程中,速度先减小后增大B.在两个带正电的点电荷产生的电场中,C点的电势比F点的电势低C.小球在C、E两点的速度大小相等,有相同的电势能D.小球在D、F两点所受的电场力相同【答案】C【解析】由两正点电荷电场线的分布特点知,φC=φE>φD=φF,B错误;因φC=φE,故小球在C、E两点的电势能相等,动能相等,速度大小相等,C正确;小球从C点运动到D点的过程中,电势能增加,动能减小,A错误;小球在D、F两点所受的电场力方向相反,D错误。
备战2021中考化学重点知识强化训练——专题二十一:溶液
备战2021中考化学重点知识强化训练——专题二十一:溶液【专题一:溶液的形成】【例1】下列关于溶液的说法正确的是( )A.溶液一定是无色、透明的混合物B.溶液加水稀释前后,溶质的质量一定不变C.溶剂量不变时,加入的溶质越多,溶液质量一定越大D.物质溶于水形成溶液时,溶液温度一定不变【强化训练】1.下列有关溶液的说法正确的是()A.面粉与水混合可形成溶液B.溶液中的溶质都是固体C.溶液中可以含有多种溶质D.无色透明的液体都是溶液2.20℃时,50g水中最多溶解2.5gM物质;30℃时,80g水中最多溶解4.0gN物质,则两种物质的溶解度相比较是()A.M>N B.M<N C.M=N D.无法比较【专题二:饱和溶液与不饱和溶液】【例2】通常情况下,将一杯不饱和的蔗糖溶液变成饱和溶液,最适宜的方法是( ) A.加蔗糖B.加水C.升温D.增大压强【强化训练】1.某“天气瓶”通过樟脑在酒精溶液中的结晶情况反映气温变化。
如图为该“天气瓶”在三种不同气温下的状况,则瓶内溶液一定为相应气温下樟脑饱和溶液的是()A.甲、乙B.甲、丙C.乙、丙D.甲、乙、丙2.下列有关叙述中,正确的是()A.20℃,100g 水中加入36gNaCl,没有固体析出,那么所得的溶液一定是不饱和溶液B.NaCl 饱和溶液中加入大量水后,溶液中溶质的质量减少了C.饱和溶液降温后,都有溶质结晶析出D.在同一温度下,NaCl 的饱和溶液一定比不饱和溶液浓【专题三:溶解度曲线】【例3】(1)图1是A、B、C三种固体物质的溶解度曲线,请用“大于”“小于”或“等于”填空。
①t1℃时A物质的溶解度________t2℃时A物质的溶解度。
②t2℃时B物质的饱和溶液中溶质的质量分数________C物质的饱和溶液中溶质的质量分数。
(2)化学中有许多概念是对立的,又是统一的。
图2反映了饱和溶液、不饱和溶液、浓溶液以及稀溶液的关系。
①从图2可以看出,饱和溶液与浓溶液、稀溶液的关系是________。
高中生物专题复习《生物膜系统》强化训练试题
1.下图为某动物细胞内部分蛋白质合成及转运的示意图,据图分析下列有关叙述错误的是( )A.高尔基体加工后的各种蛋白质会被转运到不同部位,胞内、胞外、细胞膜上均有分布B.核糖体合成的多肽通过囊泡运输到内质网加工C.内质网、高尔基体以及囊泡这三者的膜结构属于生物膜系统的一部分D.细胞膜上出现的糖蛋白与内质网和高尔基体有关2.在研究分泌蛋白的合成和分泌时,用含有3H标记的亮氨酸的培养基培养豚鼠的胰腺腺泡细胞,下列现象中不会出现的是( )A.内质网的膜面积减小,细胞膜的膜面积增大B.线粒体的生命活动比较旺盛C.高尔基体的膜面积不变,膜成分有更新D.放射性依次出现在核糖体、高尔基体、内质网中3.用放射性同位素标记的某种氨基酸培养胰腺细胞,最后测出细胞分泌带有放射性的胰岛素。
如果用仪器测试放射性在细胞中出现的顺序,这个顺序最可能是( )①线粒体②核糖体③内质网④染色体⑤高尔基体⑥细胞膜⑦细胞核A.①③④⑦⑥B.⑥②③⑤⑥C.②③④⑤⑥D.⑥②⑦④⑤4.(新余一模)细胞内的小囊泡可来自( )①内质网②高尔基体③细胞膜④液泡⑤线粒体A.①②③B.①②⑤C.②③④D.③④⑤5.细胞内很多化学反应是在生物膜上进行的,如图所示。
下列有关叙述正确的是( )A.抗体的加工与过程①有关B.根尖分生区细胞不能发生②过程C.溶酶体内的酶的合成与过程①无关D.②过程合成的纤维素是植物细胞中的能源物质6.(黄冈第一次调研)下图是三种细胞器中有机物的含量关系,有关说法正确的是( )A.在细胞器甲中可发生:C6H12O6+6H2O+6O2酶,6CO2+12H2O+能量B.细胞器乙一定与蛋白质、脂质、核酸的合成有关C.在细胞器丙中可发生:mRNA→蛋白质D.在肺炎双球菌细胞内可分离得到这三种细胞器7.(定州模拟)科学家研究蚕丝腺细胞的亚显微结构时,取得了下表中的数据。
研究结果表明,凡是高产品种蚕,丝腺细胞中粗面型内质网(内质网上附着有核糖体)特别发达。
1马井堂-高考英语--专题强化测评(二十二)阅读表达、写作(二)
英语高考专题辅导与训练精练精析(SDZY):专题强化测评(二十二)阅读表达、写作(二)(限时45分钟/每组)(1)Ⅰ. 阅读表达[2011·潍坊模拟]阅读下面的短文,并根据短文后的要求答题(请注意问题后的词数要求)[1] A new study by the scientists at Pennsylvania State University finds that children who take a nap(小睡)when they are 4 and 5 years old, are less likely to be hyperactive(活动过度的)or experience depression(抑郁).[2] The results of the study showed that kids between the age s of 4 and 5 years, who discontinued to take daytime naps, showed higher levels of hyperactivity, anxiety and depression, compared to their fellow kids who ________ at this point of their lives.In their research, the researchers were happy to show the importance of taking naps for perfect daytime functioning in young kids.[3] It all depends on every individual case when children are ready not to take naps any more, said an author of the study, Dr.Brian Crosby, doctor of psychology at Pennsylvania State University.Dr.Crosby suggested that parents include a quiet “rest” time in the daily schedule of their children to allow kids to nap if needed.[4] For the study purposes, the experts gathered data from 62 children between the ages of 4 and 5 years.All the kids were classified as either ones who took naps—77 percent, or the ones who did not tak e naps—23 percent, based on actigraphy(体动记录仪)data.Actigraphy data for each child who took part in the study, was collected continuously for 7 days to 14 days.Parents and caregivers were asked to provide information on their child’s typical weekday and weekend bedtime and rise time, as well as their napping patterns, and also had to completea behavioral assessment of the child.[5]Dr.Crosby hopes that the new findings will encourage other researchers to study the ways in which napping influences daytime performances in children.1.What’s the result of the new study?(no more than 20 words)____________________________________________________________________2.Fill in the blank in Paragraph 2 with words to complete the sentence. (no more than 5 words) ____________________________________________________________________3.What suggestion can parents get from Dr. Crosby according to Paragraph 3? (no more than 15 words)4. What’s the main idea of Paragraph 4? (no more than 10 words)____________________________________________________________________5.Translate the underlined sentence into Chinese.____________________________________________________________________Ⅱ.写作[2011·潍坊模拟]假设你是李明,即将高中毕业,请用英语给你的外教Ms.Smith写一封信,要点如下:1. 感谢老师的培育;2. 根据图画提示,回忆发生在你们之间一件令人难忘的事;3. 对老师的祝福。
高中政治人教版选修五学业分层测评:专题5 21 用证据说话 含答案
学业分层测评(二十一) 用证据说话(建议用时:45分钟)[学业达标]1.下列属于我国行政诉讼法规定的证据种类是( )①物证②书证③证人证言④现场笔录A.①②③B.②③④C.①②③④D.①③④【解析】我国行政诉讼法规定的共同的证据种类包括物证、书证、证人证言、视听资料、电子数据、鉴定意见、当事人的陈述、勘验笔记、现场笔录。
据此规定,可知①②③④全选。
【答案】 C2.双方当事人对同一事实分别举出相反的证据,但都没有足够的依据否定对方证据的,人民法院应当怎样处理( )A.结合案件情况,并对证明力度较大的证据予以确认B.通过双方辩论确定胜负C.应当不予采信双方的证据D.责令当事人提出新的证据【解析】依据法律规定,应对双方证据进行对比,取信于证明力度较大的证据,以维护公正。
【答案】 A3.赵某在不知情的情况下,代销了一批商品,后经县工商局检验为假货,赵某被没收了商品,吊销了营业执照,并罚款2万元。
赵某认为处罚太重,于是申请了行政复议,但仍然维持了原处罚。
在这种情况下,赵某将工商局告上了法院。
在此案中负有举证责任的是( )A.赵某B.工商局C.法院D.公安机关【解析】本案属于行政诉讼。
按法律规定,在行政诉讼中,由作为被告的行政机关提供该具体行政行为的证据和所依据的规范性文件,所以上述案件应该由工商局负举证责任。
【答案】 B4.在行政诉讼中,作为被告的__________应当提供作出该具体行政行为的证据和所依据的规范性文件( )A.公安机关B.行政机关C.司法机关D.人民法院【解析】由于行政诉讼的核心问题是行政机关作出的具体行政行为是不是合法,这种具体行政行为是由行政机关单方作出的;况且,较之行政机关的物力、财力、人力,普通公民无法与之抗衡。
所以,作为被告的行政机关负有举证责任。
【答案】 B[能力提升]5.家住南京的老林与郑某再婚,遭到同住一起的女儿林某的再三阻挠,但他们最终成婚并生活在了一起。
后来老林生病住院,其女儿林某对他不闻不问,老林很生气,一怒之下将林某赶走。
- 1、下载文档前请自行甄别文档内容的完整性,平台不提供额外的编辑、内容补充、找答案等附加服务。
- 2、"仅部分预览"的文档,不可在线预览部分如存在完整性等问题,可反馈申请退款(可完整预览的文档不适用该条件!)。
- 3、如文档侵犯您的权益,请联系客服反馈,我们会尽快为您处理(人工客服工作时间:9:00-18:30)。
温馨提示:此套题为Word版,请按住Ctrl,滑动鼠标滚轴,调节合适的观看比例,答案解析附后。
专题强化测评(二十一)阅读表达、写作(一)(限时45分钟/每组)(1)Ⅰ.阅读表达[2011·聊城模拟]阅读下面的短文,并根据短文后的要求答题(请注意问题后的词数要求)[1]When you have a question about something, where do you go? For many people the answer is simple.They go online to a search engine like Google or Yahoo.But what about people in rural or undeveloped areas who ____________________ ?[2]A consultant in California, Rose Shuman, has found the answer.Her solution is Question Box.Question Box is a service that provides answers—free of charge—for people who cannot search the Internet directly.[3]Question Box began two years ago in India.As Rose Shuman said: “You just push a button, a big green button, and that will connect you directly to our operators who are sitting in front of computers, and speak your language.And you can ask them any sort of question you want, and they’ll look it up in English or in Hindi, or whatever the main language is, and translate the answer right back foryou.”[4]The service is currently offered in two villages.The latest version of the box uses mobile phone technology and solar panels in case the electrical power fails.Rose Shuman said the aim was to make the box as easy as possible for users.[5]Question Box has expanded to Uganda where the Internet service has proved slow also ask about current events and many other subjects.It’s believed that Question Box will play an important part in the development of undeveloped areas. 1.What’s the main idea of this text? (no more than 15 words)____________________________________________________________________ 2.Please fill in the blank in Paragraph 1 with proper words. (no more than 8 words)____________________________________________________________________ 3.Which sentence in the text is closest in meaning to the following one?The newly-invented Question Box works with the help of mobile phone technology and the use of solar energy in case of electricity failure.____________________________________________________________________ ____________________________________________________________________ 4.Sum up the three steps to get the information you need from Question Box.(no more than 10 words for each)①We ____________________ .②We ____________________ .③The operators ____________________ .5.Translate the underlined sentence in Paragraph 5 into Chinese.____________________________________________________________________ Ⅱ. 写作美国耶鲁大学法学院华裔教授蔡美儿(Amy Chua)的新书《虎妈战歌》(The Battle Hymn of a Tiger Mother)记录了她用严格的中式教育方法培养孩子的经历,引起了美国《时代》周刊等全球媒体关于东西方教育观念的讨论,其中的焦点之一是:“教育是否应该是快乐的?”请你为学校的英文校报写一篇文章,向同学们介绍这本新书以及其引发的讨论,并表达你自己的观点。
注意:1. 词数120~150;2. 文章开头已给出,不计入总词数;3. 文中不得提及考生所在学校和本人姓名。
A debate heated up recently, thanks to Amy Chua’s book about a Chinese “tiger mother”. ___________________________________________________________________________________________________________________________ ____________________________________________________________________ ____________________________________________________________________ ____________________________________________________________________ ____________________________________________________________________.(2)Ⅰ.阅读表达[2011·太原模拟]阅读下面的短文,并根据短文后的要求答题(请注意问题后的词数要求)[1]Have you ever been offered an alcoholic drink? What about someone’s saying “Don’t worry, just have one little sip”? Most people have their first drink by the time they’re 13. That first drink can b e the start of a troubled life.[2]Drink can make teens feel good, but that feeling lasts only a short time. Alcohol clouds your brain and hinders your ability to make decisions. Excessive drinking literally makes your brain shrink and can cause serious damage. Over-drinking can cause learning disabilities and damage your memory. It distorts your vision and leads to blackouts. Teenagers often think that drinking will give them more energy, but alcohol isn’t an energy drink—it’s a depressant(镇静剂).[3]Drunk driving is one of the top causes of ________ or teen boys. An alcohol-related motor vehicle crash kills one person every 33 minutes and injures someone every two minutes. The rate of teen drunk driving is so high that the government is trying to pass new laws to restrict teen driving.[4]When we get to high school, friends start pressurising us to drink. High school students see alcohol as glamorous(富有刺激的) and a way to become popular.I conducted a survey at my school. 24 of the 63 respondents predicted they would drink in high school. 11 said maybe, and 28 said they didn’t plan on drinking.[5]Regardless of what they say now, things can change. Teens starting highschool want to fit in. They think that one drink won’t do anything harmful. A little bit of al cohol probably won’t kill you, but it can lead to poor decisions. High school is the time to experiment with what you want to do in life, but if y ou’re experimenting with alcohol you could hurt someone, including yourself.1. What is the purpose of the author in writing the passage? (no more than 15 words) ____________________________________________________________________2. Complete the following statement with proper words. (no more than 5 words)It’s wrong to see alcohol as an energy drink; it just makes teenagers __________ . 3. Fill in the blank in Paragraph 3 with proper words. (no more than 5 words)____________________________________________________________________ 4. List three kinds of negative influences caused by drinking mentioned in this passage. (no more than 12 words)① __________________________________________________________________② __________________________________________________________________③ __________________________________________________________________5. What does the word “it” (Paragraph 5) probably refer to? (no more than 5 words) ____________________________________________________________________ Ⅱ.写作[2011·烟台模拟]假如你是某国际外国语学校的高三学生李华,2011年4月2日你在报纸上读到重庆女生张姣以满分成绩考入耶鲁(Yale)大学的报道,心情十分激动。