2019—2020年最新北师大版高中数学必修四平面向量的应用同步练习(精品试题) (2)
2019-2020学年高中数学北师大版必修4练习:第2章 第4节 平面向量的坐标

§4 平面向量的坐标课后篇巩固探究A 组 基础巩固1.设向量a =(1,2),b =(-3,5),c =(4,x ),若a +b =λc (λ∈R ),则λ+x 的值是( ).-B .C .-D .112112292292a =(1,2),b =(2,3),c =(3,4),且c =λ1a +λ2b ,则λ1,λ2的值分别为()A.-2,1 B.1,-2D.-1,2c =λ1a +λ2b ,∴(3,4)=λ1(1,2)+λ2(2,3).解得λ1=-1,λ2=2.{3=λ1+2λ2,4=2λ1+3λ2,A (1,3),B (4,-1),则与同方向的单位向量是( )AB A .B .(35,-45)(45,-35)D .-35,45)(-45,35)=(4-1,-1-3)=(3,-4),所以与同方向的单位向量为(3,-4)=,故选A .AB AB |AB |=15(35,-45),可以把向量a =(3,2)表示出来的是( )A .e 1=(0,0),e 2=(1,2)B .e 1=(-1,2),e 2=(5,-2)C .e 1=(3,5),e 2=(6,10)(2,-3),e 2=(-2,3)a =k 1e 1+k 2e 2,选项,∵(3,2)=(k 2,2k 2),∴无解.{k 2=3,2k 2=2,B 选项,∵(3,2)=(-k 1+5k 2,2k 1-2k 2),∴解得{-k 1+5k 2=3,2k 1-2k 2=2,{k 1=2,k 2=1.故B 中的e 1,e 2可把a 表示出来.,C,D 选项同A 选项,无解.a =(1,-3),b =(-2,4),c =(-1,-2),若表示向量4a ,4b-2c ,2(a-c ),d 的有向线段首尾相连能构成四边形,则向量d =( )A.(2,6) B.(-2,6)6) D.(-2,-6)d =(x ,y ),由题意知4a =(4,-12),4b-2c =(-6,20),2(a-c )=(4,-2),易知4a +4b -2c +2(a-c )+d =0,解得x=-d =(-2,-6).ABCD 中,若=(1,3),=(2,5),则= ,= . AB AC AD BD =(1,2),=BC =AC ‒AB=(0,-1).BD=AD ‒AB (0,-1)e 1=(1,2),e 2=(-2,3),a =(-1,2),以e 1,e 2为基底将a 分解为a 1e 1+a 2e 2的形式为 . a =a 1e 1+a 2e 2(a 1,a 2∈R ),(-1,2)=a 1(1,2)+a 2(-2,3)=(a 1-2a 2,2a 1+3a 2),所以解得{-1=a 1-2a 2,2=2a 1+3a 2,{a 1=17,a 2=47.a=e 1+e 2.1747a=e 1+e 21747=(1,-2),=(a ,-1),=(-b ,0),a>0,b>0,O 为坐标原点,若A ,B ,C 三点共线,则a+的值是 .OA OB OC b2A ,B ,C 三点共线,∴共线,∴存在实数λ,使(a-1,1)=λ(-b-1,2),∴解得AB 与AC {a -1=-λb -λ,1=2λ,λ=,a+.2b 2=122的等边三角形ABC ,顶点A 在坐标原点,AB 边在x 轴上,点C 在第一象限,D 为AC 的,分别求向量的坐标.AB ,AC ,BC ,B D ,等边三角形ABC 的边长为2,则顶点A (0,0),B (2,0),C (2cos 60°,2sin 60°),∴C (1,),∴D ,3(12,32)∴=(2,0),=(1,),AB AC 3∴=(1-2,-0)=(-1,),BC 33.BD =(12-2,32-0)=(-32,32)10.设A (x ,1),B (2x ,2),C (1,2x ),D (5,3x ),当x 为何值时,共线且方向相同?此时点A ,B ,C ,D 能否在AB 与CD ?O 为坐标原点,则根据题意有=(2x ,2)-(x ,1)=(x ,1),AB =OB ‒OA =(1,2x )-(2x ,2)=(1-2x ,2x-2),=(5,3x )-(1,2x )=(4,x ).BC =OC ‒OB CD 由共线,得x 2-4=0,即x=±2.AB 与CD 又方向相同,∴x=2.AB 与CD 此时,=(2,1),=(-3,2),而2×2-1×(-3)=7≠0,∴不共线,AB BC AB 与BC ∴A ,B ,C 三点不在同一直线上.∴点A ,B ,C ,D 不在同一直线上.11.已知点O 是△ABC 内一点,∠AOB=150°,∠BOC=90°,设=a ,=b ,=c 且|a |=2,|b |=1,|c |=3,OA OB OC 的坐标.AB ,BC 设点A (x ,y ),B (x 0,y 0),∵|a |=2,且∠AOx=45°,∴x=2cos 45°=,且y=2sin 45°=.22又|b |=3,∠xOB=90°+30°=120°,∴x 0=3cos 120°=-,y 0=3sin 120°=.32332故a ==(),b =.OA 2,2OB =(-32,332)(2)如图所示,以点O 为原点,所在直线为x 轴的非负半轴,建立平面直角坐标系.OA∵||=1,∠AOB=150°,OB ∴B (-cos 30°,sin 30°),∴B .(-32,12)∵||=3,∴C (-3sin 30°,-3cos 30°),OC 即C.(-32,-323)又A (2,0),∴-(2,0)=,AB =(-3,1)(-3-2,12).BC =(-32,-323)‒(-32,12)=(3-32,-33-12)B 组 能力提升1.设m =(a ,b ),n =(c ,d ),规定两向量m ,n 之间的一个运算“”为m n =(ac-bd ,ad+bc ),若已知p =(1,2),p q =(-4,-3),则q 等于( )A.(-2,1) B.(2,1)1) D.(-2,-1)q =(x ,y ),由题设中运算法则,得p q =(x-2y ,y+2x )=(-4,-3),即解得{x -2y =-4,y +2x =-3,{x =-2,y =1.q =(-2,1).a =(1,3),b =(m ,2m-3),平面上任意向量c 都可以唯一地表示为c =λa +μb (λ,μ∈R ),则实数m 的取值范围是( )A .(-∞,0)∪(0,+∞)B .(-∞,3)C .(-∞,-3)∪(-3,+∞)c 都可以用a ,b 唯一表示,所以a ,b 是平面向量的一组基底,即a ,b 为不共线,则3m ≠2m-3,即m ≠-3,故选C .3.平面上有A (2,-1),B (1,4),D (4,-3)三点,点C 在直线AB 上,且,连接DC 延长至点E ,使||=AC =12BCCE ,则点E 的坐标为 .14|ED,∴A 为BC 中点,∴点C 的坐标为(3,-6).又||=|,且E 在DC 的延长线上,AC =12BC CE 14|ED∴=-.CE 14ED设E (x ,y ),则(x-3,y+6)=-(4-x ,-3-y ).14于是解得{x -3=-14(4-x ),y +6=-14(-3-y ),{x =83,y =-7.E 坐标是.(83,-7)(83,-7)A (2,3),B (5,4),C (7,10),若+λ(λ∈R ),试求当点P 在第三象限时λ的取值范围.AP =AB AC =(3+5λ,1+7λ).AP 设点P (x ,y ),则=(x-2,y-3).AP 于是(x-2,y-3)=(3+5λ,1+7λ),所以{x -2=3+5λ,y -3=1+7λ,即{x =5+5λ,y =4+7λ.又点P 在第三象限,所以解得λ<-1.{x =5+5λ<0,y =4+7λ<0,所以λ的取值范围为(-∞,-1).5.导学号93774073如图所示,已知点A (4,0),B (4,4),C (2,6),求AC 和OB 的交点P 的坐标.方法一)设=t =t (4,4)=(4t ,4t ),OP OB 则=(4t ,4t )-(4,0)=(4t-4,4t ),AP =OP ‒OA =(2,6)-(4,0)=(-2,6).AC =OC ‒OA 由共线的条件知(4t-4)×6-4t×(-2)=0,AP ,AC 解得t=,∴=(4t ,4t )=(3,3),34OP ∴点P 的坐标为(3,3).(方法二)设P (x ,y ),则=(x ,y ),OP ∵共线,=(4,4),∴4x-4y=0.①OP ,OB OB 又=(x-2,y-6),CP =(2,-6),且向量共线,CA CP ,CA ∴-6(x-2)+2(6-y )=0.②解由①②组成的方程组,得x=3,y=3,∴点P 的坐标为(3,3).6.导学号93774074已知向量u =(x ,y )与向量v =(y ,2y-x )的对应关系可用v =f (u )表示.(1)证明:对于任意向量a ,b 及常数m ,n ,恒有f (m a +n b )=mf (a )+nf (b )成立;(2)设a =(1,1),b =(1,0),求向量f (a )及f (b )的坐标;(c )=(3,5)成立的向量c .a =(x 1,y 1),b =(x 2,y 2).(mx 1+nx 2,my 1+ny 2)=(my 1+ny 2,2my 1+2ny 2-mx 1-nx 2),又mf (a )=(my 1,2my 1-mx 1),nf (b )=(ny 2,2ny 2-nx 2),所以mf (a )+nf (b )=(my 1+ny 2,2my 1+2ny 2-mx 1-nx 2),f (m a +n b )=mf (a )+nf (b ).(a )=(1,1),f (b )=(0,-1).c =(x 3,y 3),则{y 3=3,2y 3-x 3=5,解得所以c =(1,3).{x 3=1,y 3=3,。
北师大版高中数学必修四平面向量应用举例同步练习(精品试题)

平面向量应用举例基 础 巩 固一、选择题1.若向量OF 1→=(2,2),OF 2→=(-2,3)分别表示两个力F 1与F 2,则|F 1+F 2|为( )A .2.5B .4 2C .2 2D .5[答案] D[解析] 因为F 1+F 2=OF 1→+OF 2→=(2,2)+(-2,3) =(0,5),所以|F 1+F 2|=5,故选D.2.已知△ABC 中,|AB →|=|AC →|,则一定有( ) A.AB →⊥AC →B.AB →=AC →C .(AB →+AC →)⊥(AB →-AC →) D.AB →+AC →=AB →-AC → [答案] C[解析] ∵|AB →|=|AC →|∴(AB →+AC →)(AB →-AC →)=|AB →|2-|AC →|2=0, ∴(AB →+AC →)⊥(AB →-AC →).3.已知两个力F 1,F 2的夹角为90°,它们的合力大小为10N ,合力与F 1的夹角为60°,那么F 1的大小为( )A .53NB .5NC .10ND .52N[答案] B[解析] 如图所示,由向量加法的平行四边形法则知F 合=F 1+F 2,四边形OABC 是矩形,∵∠AOB =60°, ∴|F 1|=|F 合|cos60°=10×12=5(N).4.已知点B(2,0),点O 为坐标原点且点A 在圆(x -2)2+(y -2)2=1上,则OA →与OB →夹角θ的最大值与最小值分别是( )A.π4,0 B.5π12,π4 C.5π12,π12 D.π2,5π12[答案] C[解析] 如图,当直线OA 与圆C 相切时,OA →与OB →夹角最小或最大;由于C(2,2)∴∠BOC =π4又由于|OC|=2,r =1.∴∠AOC =π6;因此OA →与OB →夹角的最大、小值分别为5π12,π12,故选C. 5.(文)已知直线l :mx +2y +6=0,向量(1-m,1)与l 平行,则实数m 的值为( )A .-1B .1C .2D .-1或2[答案] D[解析] k 1=-m2,向量(1-m,1)所在直线的斜率k =11-m ,由题意得-m 2=11-m. 解得m =2或-1.(理)已知A(7,1),B(1,4),直线y =12ax 与线段AB 交于C ,且AC →=2CB →,则实数a 等于( )A .2B .1 C.45 D.53[答案] A[解析] 设C(x ,y),则AC →=(x -7,y -1),CB →=(1-x,4-y),∵AC →=2CB →,∴⎩⎨⎧ x -7=21-x ,y -1=24-y ,解得⎩⎨⎧x =3,y =3,∴C(3,3).又∵C 在直线y =12ax 上,∴3=12a ×3,∴a =2.6.已知向量a =(x +z,3),b =(2,y -z),且a ⊥b ,若x ,y 满足不等式|x|+|y|≤1,则z 的取值范围为( )A .[-2,2]B .[-2,3]C .[-3,2]D .[-3,3][答案] D [解析]本题考查向量垂直的充要条件及线性规划问题的求解.∵a⊥b,∴a·b=0,即(x+z,3)·(2,y-z)=0,∴z =2x+3y.不等式|x|+|y|≤1表示如图所示平面区域.作直线l0:2x+3y=0,平移l0过点A(0,1)时z取最大值3.平移l0过点C(0,-1)时,z取最小值-3,∴z∈[-3,3].二、填空题7.在长江南岸渡口处,江水以12.5km/h的速度向东流,渡船的速度为25km/h.渡船要垂直地渡过长江,则航向为________.[答案] 北偏西30°[解析] 如图,渡船速度为OB →,水流速度为OA →,船实际垂直过江的速度为OD →,依题意知,|OA →|=12.5,|OB →|=25,由于四边形OADB 为平行四边形,则|BD →|=|OA →|,又OD ⊥BD ,∴在Rt △OBD 中,∠BOD =30°, ∴航向为北偏西30°.8.(2012·宁冈模拟)已知△ABO 三顶点的坐标为A(1,0),B(0,2),O(0,0),P(x ,y)是坐标平面内一点,且满足AP →·OA →≤0,BP →·OB →≥0,则OP →·AB →的最小值为________.[答案] 3[解析] 由已知得AP →·OA →=(x -1,y)·(1,0)=x -1≤0,且BP →·OB →=(x ,y -2)·(0,2)=2(y -2)≥0,即x ≤1,且y ≥2,所以 OP →·AB →=(x ,y)·(-1,2)=-x +2y ≥-1+4=3.三、解答题9.已知a ,b 是非零向量,若a +3b 与7a -5b 垂直,a -4b 与7a -2b 垂直.试求a 与b 的夹角.[分析] 要求a ,b 的夹角θ,就需要利用公式a ·b =|a||b|cos θ,因此我们利用题设中的垂直条件,用|a|,|b|等来表示a ·b ,这样就可以将它代入公式,即可求出θ的值.[解析] 解法1:由条件知⎩⎨⎧a +3b ·7a -5b =0a -4b ·7a -2b =0所以⎩⎨⎧7a 2+16a ·b -15b 2=0 ①7a 2-30a ·b +8b 2=0 ②由①-②得46a ·b -23b 2=0,所以b 2=2a ·b. 将它代入②得a 2=2a ·b.所以|a|=|b|. 所以由b 2=2a ·b 可知|b|2=2|a||b|cos θ, 所以cos θ=12,所以θ=60°.即所求的向量a 与b 的夹角为60°. 解法2:由条件知:⎩⎨⎧a +3b ·7a -5b =0a -4b ·7a -2b =0∴⎩⎨⎧7a 2+16a ·b -15b 2=0 ①7a 2-30a ·b +8b 2=0 ②①×15+②×8得|a|=|b|,由①得7|a|2+16|a||b|cos θ-15|b|2=0,∴7+16cos θ-15=0,∴cos θ=12. ∵0°≤θ≤180°,∴θ=60°.即向量a 与b 的夹角为60°.[点评] 向量的数量积满足交换律a ·b =b ·a ,但不满足a ·b =|a||b|,这与平时的数量乘积运算不同,同时要注意如果a ·b =b ·c ,但不能得出a =c.能 力 提 升一、选择题1.(2012·许昌一模)平面上有四个互异点A 、B 、C 、D ,已知(DB →+DC →-2DA →)·(AB →-AC →)=0,则△ABC 的形状是( )A .直角三角形B .等腰三角形C .等腰直角三角形D .等边三角形[答案] B[解析] 由(DB →+DC →-2DA →)·(AB →-AC →)=0,得[(DB →-DA →)+(DC →-DA →)]·(AB →-AC →)=0,∴(AB →+AC →)·(AB →-AC →)=0.∴|AB →|2-|AC →|2=0,∴|AB →|=|AC →|,∴△ABC 是等腰三角形,应选B.2.一质点受到平面上的三个力F 1,F 2,F 3(单位:N)的作用而处于平衡状态.已知F 1,F 2成60°角,且F 1,F 2的大小分别为2和4,则F 3的大小为( )A .6B .2C .2 5D .27[答案] D[解析] 考查平面向量的运算法则、概念.由条件知,F 1+F 2+F 3=0,∴F 3=-(F 1+F 2),∵F 1·F 2=|F 1|·|F 2|·cos 〈F 1,F 2〉=2×4×cos60°=4,∴|F 3|2=|F 1|2+|F 2|2+2F 1·F 2=22+42+2×4=28,∴|F 3|=27. 二、填空题 3.已知A(3,0),B(0,1),坐标原点O 在直线AB 上的射影为点C ,则OA →·OC →=________.[答案] 34[解析] 由射影定理求出|OC →|=32,OC →与OA →成角60°, ∴OA →·OC →=|OA →|·|OC →|·cos60°=3×32×12=34. 4.(2012·山东理,16)如图,在平面直角坐标系xOy 中,一单位圆的圆心的初始位置在(0,1),此时圆上一点P 的位置在(0,0),圆在x 轴上沿正向滚动.当圆滚动到圆心位于(2,1)时,OP →的坐标为________.[答案] (2-sin2,1-cos2)[解析] 本题考查了三角函数的定义以及分析问题解决问题的能力.根据题意可知圆滚动了2个单位弧长,点P 旋转了21=2弧度,此时点P 的坐标为 x P =2-cos(2-π2)=2-sin2, y P =1+sin(2-π2)=1-cos2, OP →=(2-sin2,1-cos2).三、解答题5.已知向量OA →=(3,4),OB →=(6,-3),OC →=(5-m ,-(3+m)).(1)若点A ,B ,C 能构成三角形,求实数m 应满足的条件;(2)若△ABC 为直角三角形,且∠A 为直角,求实数m 的值.[解析] (1)OA →=(3,-4),OB →=(6,-3),OC →=(5-m ,-(3+m)).若点A ,B ,C 能构成三角形,则这三点不共线, ∵AB →=(3,1),AC →=(2-m,1-m),故知3(1-m)≠2-m.∴实数m ≠12时,满足条件. (2)若△ABC 为直角三角形,且∠A 为直角,则AB →⊥AC →,∴3(2-m)+(1-m)=0,解得m =74. 6.如图,在五边形ABCDE 中,点M 、N 、P 、Q 分别是AB 、CD 、BC 、DE 的中点,点K 和L 分别是MN 和PQ 的中点.求证:KL →=14AE →.[分析] 本题涉及条件较多,故需确定多个封闭图形才能把已知与求证结合起来.[解析] 由题意可得KL →+LQ →+QE →+EA →+AM →+MK →=0①KL →+LP →+PB →+BM →+MK →=0②KL →+LQ →+QD →+DN →+NK →=0③KL →+LP →+PC →+CN →+NK →=0④①+②+③+④,得4KL →=AE →,即KL →=14AE →. 7.在△ABC 中,角A ,B ,C 所对的边分别为a ,b ,c.已知m =(cos 3A 2,sin 3A 2),n =(cos A 2,sin A 2),且满足|m +n|= 3. (1)求角A 的大小;(2)若|AC →|+|AB →|=3|BC →|,试判断△ABC 的形状.[解析] (1)由|m +n|=3,得m 2+n 2+2m ·n =3,即1+1+2(cos 3A 2cos A 2+sin 3A 2sin A 2)=3,∴cosA =12,∵0<A<π,∴A =π3. (2)∵|AC →|+|AB →|=3|BC →|,∴b +c =3a , ∴sinB +sinC =3sin A ,∴sinB +sin(2π3-B)=3×32, 即32sinB +12cosB =32, ∴sin(B +π6)=32. ∵0<B<2π3, ∴π6<B +π6<5π6, ∴B +π6=π3或2π3,故B =π6或π2. 当B =π6时,C =π2;当B =π2时,C =π6.故△ABC是直角三角形.。
2019-2020学年高一数学北师大版必修4同步单元卷:(16)向量应用举例 Word版含答案

姓名,年级:时间:同步单元卷(16)向量应用举例1、直线3470x y -+=的方向向量a 与法向量b 可以为( ) A. (3,4),(3,4)a b ==- B 。
(3,4),(4,3)a b =-=- C 。
(4,3),(3,4)a b ==- D 。
(4,3),(3,4)a b =-=2、一个人骑自行车的速度为1v ,风速为2v ,则逆风行驶的速度的大小为( ) A. 12v v - B 。
12v v + C. 12v v - D.12v v 3、水平面上的物体受到力12,F F 的作用, 1F 水平向右, 2F 与水平向右方向的夹角为θ,物体在运动过程中,力1F 与2F 的合力所做的功为W ,若物体一直沿水平地面运动,则力2F 对物体做功的大小为( ) A 。
212F W F F +B.212cos F W F F θ+C 。
212cos F W F F θ+D.212cos cos F W F F θθ+4、如图,在重600N 的物体上有两根绳子,绳子与铅垂线的夹角分别为30,60︒︒,物体平衡时,两根绳子拉力的大小分别为( )A 。
3003,3003N NB 。
150,150N NC 。
3003,300N N D. 300,300N N5、一质点受到平面上的三个力1F 、2F 、3F (单位:牛顿)的作用而处于平衡状态。
已知1F 、2F 成60角,且1F 、2F 的大小分别为2和4,则的大小为( ) A. 27 B 。
25 C 。
2 D. 66、已知三个力()()()1232,1,3,2,4,3F F F =--=-=-同时作用于某物体上一点,为使物体保持平衡,现加上一个力4F ,则4F 等于( ) A 。
()1,2-- B 。
()1,2- C 。
()1,2- D. ()1,27、如图所示,一力作用在小车上,其中力F 的大小为10牛,方向与水平面成60°角,当小车向前运动10米,则力F 做的功为( )A. 100焦耳 B 。
数学北师大版高中必修4北师大版 - 必修4第二章同步训练——平面向量的综合应用

模块4同步训练——平面向量的综合应用(1)一、知识回顾1、运用向量的坐标形式,以及向量运算的定义,把问题转化为三角问题来解决;2、运用向量的坐标形式,联系解析几何的知识,研究解析几何问题;3、向量的综合应用,常与三角,解几等联系在一起 。
二、基本训练 A 组1、平面直角坐标坐标系中,O 为坐标原点,已知两点A(3,1),B (-1,3),若点C 满足OC =αOA +βOB ,若中α、β∈R ,且α+β=1,则点C 的轨迹方程为( )A 、(x -1)2+(y -2)2=5 B 、3x+2y -11=0 C 、2x -y=0 D 、x+2y -5=0 2、已积OB =(2,0),OC =(2,2),CA = (2cos α,2sin α),则OA 与OB 夹角的范围是( )A 、[0,π4]B 、[π4,5π12]C 、[π12,5π12]D 、[5π12,π2]3、平面向量a =(x ,y ),b =(x 2,y 2),c =(1,1),d =(2,2),若a ·c =b ·d =1,则这样的向量a 有( ) A 、1个B 、2个C 、多于2个D 、不存在4、已知a +b +c =→, |a |=3,|b |=5,|c |=7,则a 与b 夹角为( ) 5.有两个向量1(1,0)e =,2(0,1)e =,今有动点P ,从0(1,2)P -开始沿着与向量12e e +相同的方向作匀速直线运动,速度为12||e e +;另一动点Q ,从0(2,1)Q --开始沿着与向量1232e e +相同的方向作匀速直线运动,速度为12|32|e e +.设P 、Q 在时刻0t =秒时分别在0P 、0Q 处,则当00PQ P Q ⊥时,t = 秒.6.已知向量a =(cos23x ,sin 23x ),b =(2sin 2cos xx -,),且x ∈[0,2π].若f (x )=a · b -2λ|a +b |的最小值是23-,求λ的值.(襄樊3理)7.平面直角坐标系有点]4,4[),1,(cos ),cos ,1(ππ-∈x x Q x P (1)求向量OQ OP 和的夹角θ的余弦用x 表示的函数f (x ); (2)求θ的最值.8.已知向量a = ( 3 sin ωx ,cos ωx ),b =( cos ωx ,cos ωx ),其中ω>0,记函数()f x =a ·b ,已知)(x f 的最小正周期为π. (1)求ω;(2)当0<x ≤π3 时,试求f (x )的值域.南通一9.已知{a n }是等差数列,公差d ≠0,其前n 项和为Sn,点列P 1(1,S 11),P 2(2,S 22 ),……P n (n ,S nn)及点列M 1(1,a 1),M 2(2,a 2),……,Mn (n ,a n ) (1)求证:1n PP (n>2且n ∈N*)与12PP 共线; (2)若12PP 与12M M 的夹角是α,求证:|tan α|≤2410.(04湖北)如图,在Rt △ABC 中,已知BC=a ,若长为2a 的线段PQ以点A 为中点,问BC PQ 与的夹角θ取何值时CQ BP ⋅的值最大?并求出这个最大值.B 组1、已知平行四边形三个顶点的坐标分别是(4,2),(5,7),(-3,4),则第四个顶点一定不是( ) A 、(12,5)B 、(-2,9)C 、(-4,-1)D 、(3,7)2、已知平面上直线l 的方向向量e =(-45,35),点O(0,0)和A(1,-2)在l 上的射影分别为O 1和A 1,则11O A =入e ,其中入=( ) A 、115B 、-115C 、2D 、-23、设F1、F2为曲线C1:x 26 + y 22 = 1的焦点,P 是曲线C 2:x 23-y 2=1与曲线C 1的一个交点,则1212||||PF PF PF PF 的值是( )A 、14B 、13C 、23D 、-134、设a 、b 、c 是平面上非零向量,且相互不共线,则①(a ·b )c -(c ·a )b =0 ② |a -b | > |a |-|b |③(b ·c )a -(c ·a )b 与c 不垂直 ④(3a +2b )(3a -2b )= 9|a |2-4|b |2 其中真命题的序号是( ) A 、①②B 、②③C 、③④D 、②④5、OA = (cos θ,-sin θ),OB =(-2-sin θ,-2+cos θ),其中θ∈[0,2],则|AB |的最大值为 6、已知O 、A 、B 、C 是同一平面内不同四点,其中任意三点不共线,若存在一组实数入1、入2、入3,使入1OA +入2OB +入3OC =O ,则对于三个角:∠AOB 、∠BOC 、∠COA 有下列说法:①这三个角都是锐角;②这三个角都是钝角; ③这三个角中有一个钝角,另两个都是锐角; ④这三个角中有两个钝角,另一个是锐角。
(常考题)北师大版高中数学必修四第二章《平面向量》测试卷(包含答案解析)(5)

一、选择题1.点M ,N ,P 在ABC 所在平面内,满足MA MB MC ++=0,|NA NB NC ==∣,且PA PB ⋅=PB PC PC PA ⋅=⋅,则M 、N 、P 依次是ABC 的( ) A .重心,外心,内心 B .重心,外心,垂心 C .外心,重心,内心D .外心,重心,垂心2.延长正方形CD AB 的边CD 至E ,使得D CD E =.若动点P 从点A 出发,沿正方形的边按逆时针方向运动一周回到A 点,若λμAP =AB +AE ,下列判断正确的是( )A .满足2λμ+=的点P 必为CB 的中点 B .满足1λμ+=的点P 有且只有一个C .λμ+的最小值不存在D .λμ+的最大值为33.若12,e e 是夹角为60︒的两个单位向量,则向量1212,2a e e b e e =+=-+的夹角为( ) A .30B .60︒C .90︒D .120︒4.已知非零向量a →,b →夹角为45︒,且2a =,2a b -=,则b →等于( )A .22B .2C .3D .25.已知圆C 的方程为22(1)(1)2x y -+-=,点P 在直线3y x上,线段AB 为圆C的直径,则PA PB ⋅的最小值为() A .2B .52C .3D .726.如图,在梯形ABCD 中,//AB CD ,6AB =,3AD CD ==,E 是CD 的中点,14DF DA =,若12AE BF ⋅=-,则梯形ABCD 的高为( )A .1B 6C 5D .27.如下图,四边形OABC 是边长为1的正方形,点D 在OA 的延长线上,且2OD =,点P 为BCD 内(含边界)的动点,设(,)OP OC OD R αβαβ=+∈,则αβ+的最大值等于( )A .3B .2C .52D .328.已知,M N 为单位圆22:1O x y +=上的两个动点,且满足1MN =,()3,4P ,则2PM PN -的最大值为( )A .53+B .53-C .523+D .59.若2a b c ===,且0a b ⋅=,()()0a c b c -⋅-≤,则a b c +-的取值范围是( )A .[0,222]B .[0,2]C .[222,222]-+D .[222,2]-10.在ABC 中,D 为AB 的中点,E 为AC 边上靠近点A 的三等分点,且BE CD ⊥,则cos2A 的最小值为( )A 26B .27-C .17-D .149-11.在直角梯形ABCD 中,0AD AB ⋅=,30B ∠=︒,23AB =2BC =,13BE BC =,则( )A .1163AE AB AD =+ B .1263AE AB AD =+ C .5163AE AB AD =+ D .5166AE AB AD =+ 12.在ABC 中,D 是BC 边上的一点,F 是AD 上的一点,且满足2AD AB AC =+和20FD FA +=,连接CF 并延长交AB 于E ,若AE EB λ=,则λ的值为( ) A .12B .13C .14D .15二、填空题13.已知向量(12,2)a t =-+,(2,44)b t =-+,(1,)c λ=(其中t ,)R λ∈.若(2)c a b ⊥+,则λ=__.14.已知正方形ABCD 的边长为4,若3BP PD =,则PA PB ⋅的值为_________________. 15.在梯形ABCD 中,//AB CD ,1CD =,2AB BC ==,120BCD ∠=︒,动点P 和Q 分别在线段BC 和CD 上,且BP BC λ=,14DQ DC λ=,则AP BQ ⋅的最大值为______.16.如图,设圆M 的半径为2,点C 是圆M 上的定点,A ,B 是圆M 上的两个动点,则CA CB ⋅的最小值是________.17.已知点()0,1A ,()3,2B,向量()4,3AC =,则向量BC =______.18.已知非零向量m →,n →满足4m →=3n →,cos m →〈,13n →〉=.若n →⊥t m n →→⎛⎫+ ⎪⎝⎭,则实数t的值为_____________.19.如图,在ABC 中,D 是BC 的中点,E ,F 是AD 上的两个三等分点5BA CA ⋅=,2BF CF ⋅=-,则BE CE ⋅的值是________.20.在AOB 中,已知1OA =,3OB =2AOB π∠=.若点C ,D 满足971616OC OA OB =-+,()12CD CO CB =⋅+,则CD CO ⋅的值为_______________. 三、解答题21.已知向量()sin ,cos a x x =,()3,1b =-,[]0,x π∈.(1)若a b ⊥,求x 的值;(2)记()f x a b =⋅,求()f x 的最大值和最小值以及对应的x 的值. 22.已知向量()1,2a =-,()3,1b =-.(1)若()a b a λ+⊥,求实数λ的值;(2)若2c a b =-,2d a b =+,求向量c 与d 的夹角.23.已知平行四边形ABCD 中,2AB =,4BC =,60DAB ∠=,点E 是线段BC 的中点.(1)求AC AE ⋅的值;(2)若AF AE AD λ=+,且BD AF ⊥,求λ的值. 24.设平面向量a (cos ,sin )(02),b (1,3)αααπ=<=- (1)若a 与b 共线,求角α;(2)若,c a b d a b =+=-,则向量c 与d 是否能垂直?若能垂直,求出角α的值;若不可能垂直,请说明理由.25.已知,,a b c 是同一平面内的三个向量,其中()1,2a =. (1)若35b =,且//a b ,求b 的坐标;(2)若2c =,且()()2a c a c +⊥-,求a 与c 的夹角θ的余弦值. 26.平面内给定三个向量(3,2),(1,2),(4,1)a b c ==-=. (1)求32a b c +-;(2)求满足a mb nc =+的实数,m n 的值.【参考答案】***试卷处理标记,请不要删除一、选择题 1.B 解析:B 【分析】由三角形五心的性质即可判断出答案. 【详解】 解:0MA MB MC ++=,∴MA MB MC +=-,设AB 的中点D ,则2MA MB MD +=,C ∴,M ,D 三点共线,即M 为ABC ∆的中线CD 上的点,且2MC MD =.M ∴为ABC 的重心.||||||NA NB NC ==,||||||NA NB NC ∴==,N ∴为ABC 的外心;PA PB PB PC =,∴()0PB PA PC -=,即0PB CA =,PB AC ∴⊥, 同理可得:PA BC ⊥,PC AB ⊥,P ∴为ABC 的垂心;故选:B .【点睛】本题考查了三角形五心的性质,平面向量的线性运算的几何意义,属于中档题.2.D解析:D 【解析】试题分析:设正方形的边长为1,建立如图所示直角坐标系,则,,,,A B C D E 的坐标为(0,0),(1,0),(1,1),(0,1),(1,1)-,则(1,0),(1,1)AB AE ==-设(,)AP a b =,由λμAP =AB +AE 得(,)(,)a b λμμ=-,所以{a b λμμ=-=,当P 在线段AB 上时,01,0a b ≤≤=,此时0,a μλ==,此时a λμ+=,所以01λμ≤+≤;当P 在线段BC 上时,,此时,1b a b μλμ==+=+,此时12b λμ+=+,所以13λμ≤+≤;当P 在线段CD 上时,,此时1,1a a μλμ==+=+,此时2a λμ+=+,所以13λμ≤+≤;当P 在线段DA 上时,0,01,a b =≤≤,此时,b a b μλμ==+=,此时2b λμ+=,所以02λμ≤+≤;由以上讨论可知,当2λμ+=时,P 可为BC 的中点,也可以是点D ,所以A 错;使1λμ+=的点有两个,分别为点B 与AD 中点,所以B 错,当P 运动到点A 时,λμ+有最小值0,故C 错,当P 运动到点C 时,λμ+有最大值3,所以D 正确,故选D .考点:向量的坐标运算.【名师点睛】本题考查平面向量线性运算,属中档题.平面向量是高考的必考内容,向量坐标化是联系图形与代数运算的渠道,通过构建直角坐标系,使得向量运算完全代数化,通过加、减、数乘的运算法则,实现了数形的紧密结合,同时将参数的取值范围问题转化为求目标函数的取值范围问题,在解题过程中,还常利用向量相等则坐标相同这一原则,通过列方程(组)求解,体现方程思想的应用.3.B解析:B 【分析】首先分别求出12a e e =+与122b e e =-+的数量积以及各自的模,利用数量积公式求之. 【详解】由已知,1212e e ⋅=,所以(()1212)2e e e e +-+=32,|12e e +,|122e e -+, 设向量1212,2a e e b e e =+=-+的夹角为α,则31cos ,2333παα==∴=⋅.故答案为B 【点睛】(1)本题主要考查向量的夹角的求法,意在考查学生对该知识的掌握水平和分析推理计算能力.(2) 求两个向量的夹角一般有两种方法,方法一:·cos ,ab a b a b=,方法二:设a =11(,)x y ,b =22(,)x y ,θ为向量a 与b 的夹角,则2221cos x y x θ=+⋅.4.A解析:A 【分析】根据数量积的运算,2a b →→-=两边平方即可求解. 【详解】2a b →→-=,=2a →,a →,b→夹角为45︒, 2222()24a b a b a a b b →→→→→→→→∴-=-=-⋅+=, 2422||cos||44b b π→→∴-⨯+=,解得:||b →=故选:A 【点睛】本题主要考查了向量数量积的运算性质,数量积的定义,属于中档题.5.B解析:B 【分析】将PA PB ⋅转化为2||2PC -,利用圆心到直线的距离求得||PC 的取值范围求得PA PB ⋅的最小值. 【详解】()()()()PA PB PC CA PC CB PC CA PC CA ⋅=+⋅+=+⋅-2222||||||22PC CA PC =-=-≥-52=.故选B. 【点睛】本小题主要考查向量的线性运算,考查点到直线距离公式,考查化归与转化的数学思想方法,属于中档题.6.C解析:C 【分析】以,AD AB 为一组基底,表示向量,AE BF ,然后利用12AE BF ⋅=-,求得2cos 3BAD ∠=,然后由梯形ABCD 的高为sin AD BAD ⋅∠求解. 【详解】因为14AE AD DE AD AB =+=+,34BF AF AB AD AB =-=-, ∴22133113444416AE BF AD AB AD AB AD AB AD AB ⎛⎫⎛⎫⋅=+⋅-=--⋅ ⎪ ⎪⎝⎭⎝⎭, 223113cos 4416AD AB AD AB BAD =--⋅∠, 31117936cos 12448BAD =⨯-⨯-∠=-, ∴2cos 3BAD ∠=,∴sin 3BAD ∠==, ∴梯形ABCD 的高为sin AD BAD ⋅∠=.故选:C . 【点睛】本题主要考查平面向量的数量积的运算以及平面向量的基本定理,还考查了数形结合的思想和运算求解的能力,属于中档题.7.D解析:D 【分析】以O 为原点,边OA 和OC 所在的直线分别为x 和y 轴建立如图所示的平面直角坐标系,设(),P x y ,易得1,2y x αβ==,则12x y αβ+=+,再将原问题转化为线性规划问题,求目标函数12x y +在可行域BCD 内(含边界)的最大值,即可求出结果. 【详解】以O 为原点,边OA 和OC 所在的直线分别为x 和y 轴建立如图所示的平面直角坐标系, 则()()0,1,2,0C D ,如下图所示:设(),P x y ,∵ (,)OP OC OD R αβαβ=+∈, ∴()()(),0,12,0)2,(x y αββα=+=,∴2,x y βα==,即1,2y x αβ==,∴12x y αβ+=+, 令1,2z x y =+则12y x z =-+,其中z 为直线12y x z =-+在y 轴上的截距,由图可知,当该直线经过点()1,1B 时,其在y 轴上的截距最大为32, ∴αβ+的最大值为32. 故选:D . 【点睛】本题考查平面向量在几何中的应用,建立坐标系后,可将原问题转化为线性规划中的最值问题,考查学生的转化思想、逻辑推理能力和运算能力,属于中档题.8.A解析:A 【分析】根据条件可知22PM PN PO OM ON -=+-2PO OM ON ≤+-,即可求出最大值. 【详解】由1MN =可知,OMN 为等边三角形,则1cos602OM ON OM ON ⋅=⋅⋅︒=, 由PM PO OM =+,PN PO ON =+,得22PM PN PO OM ON -=+-2PO OM ON ≤+-,()224413OM ON OM ON -=-⋅+=,又()3,4P ,则5PO =,因此当PO 与2OM ON -同向时,等号成立,此时2PM PN -的最大值为53+.故选:A. 【点睛】本题考查向量模的大小关系,属于中档题.9.D解析:D 【解析】如图所示:OA a =,OB b =,OC c =,OD a b =+ ∵()()0a c b c -⋅-≤,∴点C 在劣弧AB 上运动,a b c +-表示C 、D 两点间的距离CD .CD 的最大值是BD =2,CD 最小值为OD 2222-=-.故选D10.D解析:D 【分析】作出图形,用AB 、AC 表示向量BE 、CD ,由BE CD ⋅可得出2232cos 7c b A bc+=,利用基本不等式求得cos A 的最小值,结合二倍角的余弦公式可求得cos2A 的最小值. 【详解】 如下图所示:13BE AE AB AC AB =-=-,12CD AD AC AB AC =-=-, BE CD ⊥,则2211711032623BE CD AC AB AB AC AB AC AB AC ⎛⎫⎛⎫⋅=-⋅-=⋅--= ⎪ ⎪⎝⎭⎝⎭,即22711cos 0623cb A c b --=,可得22322626cos 7c b bc A bc +=≥= 当且仅当6b =时,等号成立, 所以,22261cos 22cos 12149A A =-≥⨯-=-⎝⎭. 故选:D. 【点睛】本题考查二倍角余弦值最值的求解,考查平面向量垂直的数量积的应用,同时也考查了基本不等式的应用,考查计算能力,属于中等题.11.C解析:C【分析】先根据题意得1AD =,3CD =,进而得2AB DC =,再结合已知和向量的加减法运算求解即可得的答案. 【详解】由题意可求得1AD =,3CD =,所以2AB DC =, 又13BE BC =, 则()1133AE AB BE AB BC AB BA AD DC =+=+=+++ 1111333AB AD DC ⎛⎫=-++ ⎪⎝⎭1111336AB AD AB ⎛⎫=-++ ⎪⎝⎭115116363AB AD AB AD ⎛⎫=-+=+ ⎪⎝⎭.故选:C. 【点睛】本题考查用基底表示向量,考查运算能力,是基础题.12.C解析:C 【分析】首先过D 做//DG CE ,交AB 于G ,根据向量加法的几何意义得到D 为BC 的中点,从而得到G 为BE 的中点,再利用相似三角形的性质即可得到答案. 【详解】如图所示,过D 做//DG CE ,交AB 于G .因为2AD AB AC =+,所以D 为BC 的中点. 因为//DG CE ,所以G 为BE 的中点, 因为20FD FA +=,所以:1:2AF FD =.因为//DG CE ,所以::1:2AE EG AF FD ==,即12AE EG =. 又因为EG BG =,所以14AE EB =,故14AE EB =. 故选:C【点睛】本题主要考查了向量加法运行的几何意义,同时考查了相似三角形的性质,属于中档题.二、填空题13.-1【分析】根据条件求出然后由得到再求出的值【详解】解:且故答案为:【点睛】本题考查向量坐标的加法数乘和数量积的运算向量垂直的充要条件考查计算能力属于基础题解析:-1 【分析】根据条件求出2(4,4)a b t t +=,然后由(2)c a b ⊥+,得到·(2)0c a b +=,再求出λ的值. 【详解】解:2(4,4)a b t t +=,(1,)c λ=,且(2)c a b ⊥+,∴·(2)440c a b t t λ+=+=,1λ∴=-.故答案为:1-. 【点睛】本题考查向量坐标的加法、数乘和数量积的运算,向量垂直的充要条件,考查计算能力,属于基础题.14.6【分析】建立平面直角坐标系求得点P 的坐标进而得到的坐标再利用数量积的坐标运算求解【详解】如图所示建立平面直角坐标系:则设因为解得所以所以所以故答案为:【点睛】本题主要考查平面向量的坐标表示和数量积解析:6 【分析】建立平面直角坐标系,求得点P 的坐标,进而得到,PA PB 的坐标,再利用数量积的坐标运算求解. 【详解】如图所示建立平面直角坐标系:则()()()()04,00,40,44A B C D ,,,,,设(),P x y ,()(),,4,4BP x y PD x y ==--, 因为3BP PD =,()()3434x x y y ⎧=⨯-⎪⎨=⨯-⎪⎩,解得33x y =⎧⎨=⎩,所以()3,3P ,所以()()3,1,3,3PA PB =-=--, 所以()()()33136PA PB ⋅=-⨯-+⨯-=, 故答案为:6. 【点睛】本题主要考查平面向量的坐标表示和数量积运算,还考查了运算求解的能力,属于中档题.15.【分析】由题可知据平面向量的混合运算法则可化简得到;设函数由对勾函数的性质推出在上的单调性求出最大值即可得解【详解】根据题意作出如下所示图形:∵∴又P 和Q 分别在线段和上∴解得设函数由对勾函数的性质可解析:54【分析】 由题可知114CQ DC λ⎛⎫=-⎪⎝⎭,1,14λ⎡⎤∈⎢⎥⎣⎦,据平面向量的混合运算法则可化简得到117524AP BQ λλ⋅=+-;设函数()117524f λλλ=+-,1,14λ⎡⎤∈⎢⎥⎣⎦,由对勾函数的性质推出()f λ在1,14λ⎡⎤∈⎢⎥⎣⎦上的单调性,求出最大值即可得解. 【详解】根据题意,作出如下所示图形:∵BP BC λ=,14DQ DC λ=,∴114CQ DQ DC DC λ⎛⎫=-=-⎪⎝⎭, 又P 和Q 分别在线段BC 和CD 上,∴011014λλ≤≤⎧⎪⎨≤≤⎪⎩,解得1,14λ⎡⎤∈⎢⎥⎣⎦. ()()()114AP BQ AB BP BC CQ AB BC BC DC λλ⎡⎤⎛⎫⋅=+⋅+=+⋅+- ⎪⎢⎥⎝⎭⎣⎦2111144AB BC AB DC BC BC DC λλλλ⎛⎫⎛⎫=⋅+-⋅++-⋅ ⎪ ⎪⎝⎭⎝⎭1111722cos120121cos 04121cos12054424λλλλλλ⎛⎫⎛⎫=⨯⨯︒+-⨯⨯⨯︒+⨯+-⨯⨯⨯︒=+-⎪ ⎪⎝⎭⎝⎭.设函数()117524fλλλ=+-,1,14λ⎡⎤∈⎢⎥⎣⎦, 由对勾函数的性质可知,()f λ在110,410⎡⎫⎪⎢⎪⎣⎭上单调递减,在10,110⎛⎤⎥ ⎝⎦上单调递增, ∵114f ⎛⎫=- ⎪⎝⎭,()514f =, ∴()()max 514ff λ==,即AP BQ ⋅的最大值为54.故答案为:54. 【点睛】本题考查平面向量的应用,考查数量积的定义,考查函数的单调性与最值,属于中档题.16.【分析】延长BC 作圆M 的切线设切点为A1切线与BD 的交点D 结合数量积的几何意义可得点A 运动到A1时在上的投影最小设将结果表示为关于的二次函数求出最值即可【详解】如图延长BC 作圆M 的切线设切点为A1切 解析:2-【分析】延长BC ,作圆M 的切线,设切点为A 1,切线与BD 的交点D ,结合数量积的几何意义可得点A 运动到A 1时,CA 在CB 上的投影最小,设CP x =,将结果表示为关于x 的二次函数,求出最值即可. 【详解】 如图,延长BC ,作圆M 的切线,设切点为A 1,切线与BD 的交点D ,由数量积的几何意义,CA CB ⋅等于CA 在CB 上的投影与CB 之积,当点A 运动到A 1时,CA 在CB 上的投影最小;设BC 中点P ,连MP ,MA 1,则四边形MPDA 1为矩形; 设CP =x ,则CD =2-x ,CB =2x ,CA CB ⋅=()()222224212x x x x x --⋅=-=--,[]02x ∈,, 所以当1x =时,CA CB ⋅最小,最小值为2-, 故答案为:2-. 【点睛】本题考查平面向量数量积的几何意义,考查了学生的作图能力以及分析问题解决问题的能力,属于中档题.17.【分析】根据向量的坐标运算即可求出【详解】因为所以故答案为:【点睛】本题考查了向量的坐标运算向量模的坐标公式属于基础题目【分析】根据向量的坐标运算即可求出. 【详解】 因为()0,1A ,()3,2B,所以()3,1AB =,()()()4,33,11,2BC AC AB =-=-=,21BC ==【点睛】本题考查了向量的坐标运算,向量模的坐标公式,属于基础题目.18.【分析】利用向量的数量积公式向量垂直的性质直接直解【详解】非零向量满足=⊥解得故答案为:【点睛】本题主要考查了向量的数量积公式向量垂直的性质等基础知识考查运算能力属于中档题 解析:4-【分析】利用向量的数量积公式、向量垂直的性质直接直解. 【详解】非零向量m →,n →满足4m →=3n →,cos m →〈,13n →〉=,n →⊥t m n →→⎛⎫+ ⎪⎝⎭,n →∴⋅22+||||cos ,||t m n t m n n t m n m n n →→→→→→→→→→⎛⎫+=⋅=<>+ ⎪⎝⎭223||||034t n n →→=⨯+=, 解得4t =-, 故答案为:4-【点睛】本题主要考查了向量的数量积公式、向量垂直的性质等基础知识,考查运算能力,属于中档题.19.【分析】将均用表示出来进而将表示成与相关可以求出同时可用表示即可求出结果【详解】因为因此故答案为:【点睛】研究向量的数量积一般有两个思路一是建立平面直角坐标系利用坐标研究向量的数量积;二是利用一组基解析:58【分析】将,,,BA CA BF CF 均用,BC AD 表示出来,进而将BA CA ⋅,BF CF ⋅表示成与,FD BC 相关,可以求出 2223,827FD BC ==,同时BE CE ⋅可用,FD BC 表示,即可求出结果. 【详解】因为222211436=52244AD BC FD BC BA CA BC AD BC AD ()()--⋅=-⋅--==, 2211114223234FD BCBF CF BC AD BC AD ()()-⋅=-⋅--==-,因此2223,827FD BC ==,222211416.224458ED BC FD BC BE CE BC ED BC ED ()()--⋅=-⋅--===故答案为:58. 【点睛】研究向量的数量积,一般有两个思路,一是建立平面直角坐标系,利用坐标研究向量的数量积;二是利用一组基底表示所有向量,两种思路实质相同,但坐标法更易理解和化简. 对于涉及中线的向量问题,一般利用向量加、减法的平行四边形法则进行求解.20.【分析】以为基底向量表示再由数量积的运算律定义计算即可【详解】∵∴D 为OB 的中点从而∴∵∴∴故答案为:【点睛】本题考查平面向量的数量积需要根据题意确定基底向量再根据平面向量基本定理表示所求的向量数量 解析:1564【分析】以,OA OB 为基底向量表示CD CO ,,再由数量积的运算律、定义计算即可. 【详解】 ∵1()2CD CO CB =+,∴D 为OB 的中点,从而12OD OB =,∴97191161621616CD CO OD OA OB OB OA OB =+=-+=+ ∵1OA =,OB =2AOB π∠=,∴0OA OB ⋅=∴9197()()16161616CD CO OA OB OA OB ⋅=+⋅- 221(817)256OA OB =-1(8173)256=-⨯1564=. 故答案为:1564.【点睛】本题考查平面向量的数量积,需要根据题意确定基底向量,再根据平面向量基本定理表示所求的向量数量积,进而根据数量积公式求解.属于中档题.三、解答题21.(1)6x π=;(2)23x π=时,()f x 取到最大值2,0x =时,()f x 取到最小值1-.【分析】(1)利用向量垂直的坐标表示可求得tan x =,结合x 的范围可求得x 的值; (2)将函数化简为()2sin 6f x x π⎛⎫=-⎪⎝⎭,根据x 的范围可求得6x π-的范围,结合正弦函数图象可确定最大值和最小值取得的点,进而求得结果. 【详解】解:(1)因为a b ⊥,所以sin co 30s b x x a =-=⋅,于是sin tan s 3co x x x ==, 又[]0,x π∈,所以6x π=;(2)()())sin ,1cos f x a x b x =⋅=⋅-cos x x =-2sin 6x π⎛⎫=- ⎪⎝⎭.因为[]0,x π∈,所以5,666x πππ⎡⎤-∈-⎢⎥⎣⎦,从而12sin 26x π⎛⎫-≤-≤ ⎪⎝⎭于是,当62x ππ-=,即23x π=时,()f x 取到最大值2; 当66x ππ-=-,即0x =时,()f x 取到最小值1-.【点睛】本题考查平面向量垂直的坐标表示、平面向量与三角函数的综合应用,涉及到三角函数最值的求解问题;求解三角函数最值的关键是能够利用整体对应的方式,结合正弦函数的图象来进行求解. 22.(1)1;(2)34π. 【分析】(1)先求得a λb +,然后利用()0a b a λ+⋅=列方程,解方程求得λ的值.(2)求得,c d 的坐标,利用夹角公式计算出c 与d 的夹角的余弦值,由此求得c 与d 的夹角. 【详解】(1)由()1,2a =-,()3,1b =-得()13,2a b λλλ+=-+-, 因为()a b a λ+⊥,所以()0a b a λ+⋅=, 所以()()13220λλ--++-=, 即550λ-+=, 解得1λ=;(2)由()1,2a =-,()3,1b =-得()25,5c a b =-=-,()25,0d a b =+=,所以25c d ⋅=-,52c =,5d =,设向量c 与d 的夹角为θ,则cosθ== 又因为[]0,θπ∈,所以34πθ=, 即向量c 与d 的夹角为34π. 【点睛】本小题主要考查向量垂直的坐标表示,考查向量夹角的计算,考查向量线性运算的坐标表示,属于中档题. 23.(1)18;(2)12λ=-.【分析】(1)根据条件,可以点A 为原点,AB 所在的直线为x 轴,建立平面直角坐标系,从而可得出AC AE ,的坐标,然后进行向量数量积的坐标运算即可;(2)可以得出(023),BD =,(32323),AF =++λλ,然后根据BD AF ⊥,即可得出0BD AF ⋅=,进行向量数量积的坐标运算,即可求出λ的值. 【详解】(1)以A 点为坐标原点,AB 所在直线为x 轴建立如图所示的平面直角坐标系,则(0,0)A ,(2,0)B ,(4,23)C ,3)E ,(2,3)D , 所以(423),AC =,(33),AE =, 所以4323318AC AE ⋅=⨯+⨯=; (2)(023),BD =,(32323),AF =+λλ, 因为BD AF ⊥,所以2333)0BD AF ⋅==λ, 解得12λ=-. 【点睛】本题主要考查向量的数量积的坐标运算,选择恰当的点作为坐标原点建系及正确的写出各点坐标是关键,属于中档题.本题也可以AB ,AD 作为基底,利用基底法求解. 24.(1)α=23π或α=53π;(2)不能垂直.【分析】(1)由题意利用两个向量共线的性质,求得tanα的值,可得α的值.(2)写出向量c 与d 的坐标,然后利用两个向量垂直的性质,求得c d ⋅=﹣3≠0,可得向量c 与d 不能垂直. 【详解】(1)∵平面向量a (cos ,sin )(02),b (1,3)αααπ=<=-,若a 与b 共线,﹣sinα=0,求得tanα∴α=23π或α=53π.(2)若c a b =+=(1+cosα,sinαd a b =-=(cosα﹣1,则c d ⋅=(cosα﹣1)(cosα+1)+(sinαcos 2α﹣1+sin 2α﹣3=﹣3≠0,则向量c 与d 不能垂直. 【点睛】本题主要考查两个向量共线、垂直的坐标运算,属于基础题. 25.(1)(3,6)b =或(3,6)b =--;(2)10-. 【分析】(1)设(,)b x y =,由//a b ,和35b =,列出方程组,求得,x y 的值,即可求解; (2)由()()2a c a c +⊥-,求得3a c ⋅=-,结合夹角公式,即可求解. 【详解】(1)设(,)b x y =,因为//a b ,所以2y x =, ①又因为35b =,所以2245x y +=, ②由①②联立,解得(3,6)b =或(3,6)b =--.(2)由已知()()2a c a c +⊥-,可得()()22220a c a c a c a c +⋅-=--⋅=, 又由5a =,2c =,解得3a c ⋅=-,所以35cos a c a cθ⋅==-【点睛】本题主要考查了平面向量的坐标运算,以及平面向量的数量积的坐标运算的应用,意在考查运算与求解能力,属于基础题.26.(1)()0,6(2)5,98.9m n ⎧=⎪⎪⎨⎪=⎪⎩【分析】(1)根据向量(3,2),(1,2),(4,1)a b c ==-=,利用平面向量的加法和减法运算求解. (2)根据a mb nc =+,有()()()()3,21,24,14,2.m n m n m n =-+=-++再利用平面向量相等求解. 【详解】(1)()()()3233,21,224,1a b c +-=+--,()()()()9,61,28,20,6=+--=,(2) a mb nc =+,()()()()3,21,24,14,2.m n m n m n ∴=-+=-++ 4322m n m n -+=⎧∴⎨+=⎩, 解之得5989m n ⎧=⎪⎪⎨⎪=⎪⎩. 【点睛】本题主要考查平面向量的坐标运算,还考查了运算求解的能力,属于中档题.。
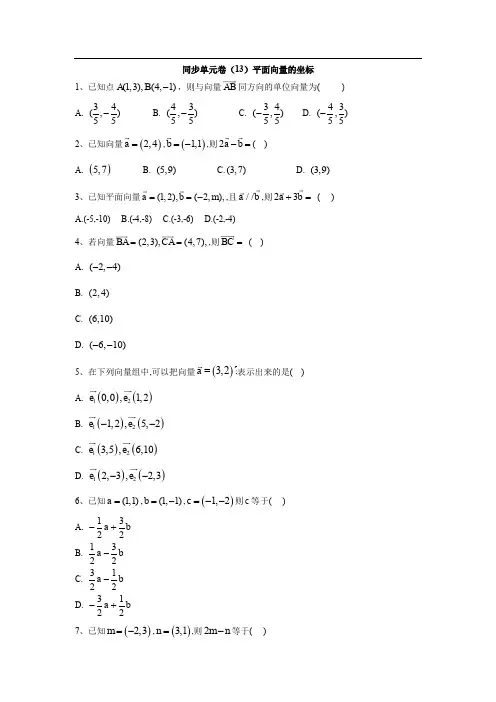
2019-2020学年高一数学北师大版必修4同步单元卷:(13)平面向量的坐标

同步单元卷(13)平面向量的坐标1、已知点(1,3),(4,1)A B -,则与向量AB 同方向的单位向量为( ) A. 34(,)55- B. 43(,)55- C. 34(,)55- D. 43(,)55- 2、已知向量()2,4a =,()1,1b =-,则2a b -=( )A. ()5,7B. (5,9)C.(3,7)D. (3,9) 3、已知平面向量(1,2),(2,),a b m ==-,且//a b ,则23a b += ( ) A.(-5,-10) B.(-4,-8) C.(-3,-6) D.(-2,-4) 4、若向量(2,3),(4,7),BA CA ==,则BC = ( ) A. (2,4)-- B. (2,4) C. (6,10) D. (6,10)--5、在下列向量组中,可以把向量()3,2?a =表示出来的是( )A. ()()120,0,1,2e eB. ()()121,2,5,2e e --C. ()()123,5,6,10e eD. ()()122,3,2,3e e --6、已知(1,1)a =,(1,1)b =-,()1,2c =--则c 等于( )A. 1322a b -+ B. 1322a b -C. 3122a b -D. 3122a b -+7、已知()2,3m =-,()3,1n =,则2m n -等于( )A.(-1,5)B.(-1,7)C.(-7,5)D.(-7,7)8、已知(3,1)a =-,(1,2)b =-,且(2)//(),a b a b R λλ--∈,则λ的值为( )A. 12B. 12-C.2D.-29、已知向量(2,3)a =,(1,2)b =- ,若4ma b +与2a b -共线,则m 的值为( ) A. 12 B.2 C. 12- D.-210、已知向量(1,3)a =,(,23)a m m =-,平面上任意向量c 都可以唯一地表示为(,)c a b R λμλμ=+∈,则实数m 的取值范围是( )A. (,0)(0,)-∞⋃+∞B. (,3)-∞C. (,3)(3,)-∞-⋃-+∞D. [3,3)-11、若向量(1,1)a =,(1,1)b =-,(1,2)c =-,则c 可用a ,b 表示为( )A. 1322a b -+ B. 1322a b -C. 3122a b -D. 3122a b -+12、已知向量()()()2,1,1,,1,2a b m c =-=-=-,若()a bc +,则m =__________.13、若向量(2,3)BA ,(4,7)CA ,则BC =__________.14、已知0a >,若平面内三点23(1,),(2,),(3,)A a B a C a -共线,则a =__________.15、已知向量)a =,(0,1)b =-,(c k =.若2a b -与c 共线,则k =__________.16、已知向量(2,1)a =,()1,b k =-,若()//2a a b -,则k =__________.17、作用于原点的两个力()11,2F =,()22,3F =-,为使原点平衡需加力3F =__________. 18、设(,1)a x =,(4,)b x =,若a 与b 共线且方向相同,则x =__________.答案以及解析1答案及解析: 答案:A 解析:2答案及解析: 答案:A解析:2(4,8)(1,1)(5,7)a b -=--=.3答案及解析: 答案:B解析:因为//a b ,所以122m=-, 所以4m =-, 所以()2,4b =--.又()22,4a =,()36,12b =--, 所以()234,8a b +=--.4答案及解析: 答案:A 解析:(2,4)BC BA AC BA CA =+=-=--,故选A.5答案及解析: 答案:B解析:方法一:若()()120,0,1,2e e ==则12//e e ,而a 不能由12,e e 表示,排除A ; 若()()121,2,5,2e e =-=-因为1252-≠-, 所以12,e e 不共线,根据平面向量基本定理,可以把向量()3,2?a =表示出来,故选B . 方法二:因为()3,2?a =,若()()120,0,1,2e e ==不存在实数,λμ,使得12a e e λμ=+,排除A ;若()()121,2,5,2e e =-=-,设存在实数,λμ, 使得12a e e λμ=+,则(3,2)(5,22)λμλμ=-+-, 所以35{222λμλμ=-+=- ,解得2{1λμ== , 所以122a e e =+,故选B .6答案及解析: 答案:D解析:设c ma nb =+, 得()()()1,11,11,2m n +-=--, ∴1m n +=-,2m n -=-, 得32m =-,12n =,选D.7答案及解析: 答案:C解析: ∵()2,3m =-,()3,1n =,∴2m n -()()()()()22,33,14,63,17,5=--=--=-.8答案及解析: 答案:A解析:22(3,1)(1,2)a b -=---(6,2)(1,2)(5,0)=---=,(3,1)(1,2)(3,12)a b λλλλ-=---=--+,∵2//()a b a b λ--,∴5(12)(3)00λλ⋅-+--⋅=, ∴12λ=.9答案及解析: 答案:D解析:由已知得4(2,3)4(1,2)ma b m +=+-(24,38)m m =-+,2(2,3)2(1,2)(4,1)a b -=--=-,又因为4ma b +与2a b -共线,所以有(24)(1)4(38)0m m -⨯--⨯+=14282m m ⇒=-⇒=-,故选D.10答案及解析: 答案:C解析:因为平面上任意向量c 都可以用,a b 唯一表示,所以,a b 是平面向量的一组基底,即,a b 为不共线的非零向量,则323m m ≠-,即3m ≠-,故选C.11答案及解析:答案:B解析:设c xa yb =+,∵(1,1)a =,(1,1)b =-,(1,2)c =-,∴(1,2)(1,1)(1,1)x y -=+-(,)x y x y =+-,∴1,{2,x y x y +=--=解得1,2{3.2x y ==故选B.12答案及解析: 答案:-1解析:()()21,11,1a b m m +=--+=-,由()a bc +,得()()12110m ⨯--⨯-=,即1m =-.13答案及解析: 答案:(2,4)--解析:(2,3)(4,7)(2,4)BC BA CA =-=-=--.14答案及解析: 答案:12解析:平面内,,A B C 三点共线,则ABBC k k =,即23211a a a a +-=,得3220a a a --=.因为0a >,所以2210a a --=,进而可求得1a =+1a =(舍去).15答案及解析: 答案:1解析:∵)2a b -=与(c k =共线,∴3k =, 故1k =.16答案及解析: 答案: 12-解析: ()25,2a b k -=-,由()//2a a b -得()2250k --=,解得k =12-.17答案及解析: 答案:(1,-5)解析: ∵1F 与2F 的合力为()121,5F F +=-,要使三力平衡,最后加的力必须与1F 、2F 的起点相同,与1F 、2F 合力的方向相反, ∴()31,5F =-.18答案及解析: 答案:2 解析:∵//a b , ∴240x -=, ∴2x =±.当2x =时, 2b a =,a 与b 方向相同; 当2x =-时, 2b a =-,a 与b 方向相反(舍去).。
(常考题)北师大版高中数学必修四第二章《平面向量》测试题(包含答案解析)(3)
一、选择题1.已知向量a 、b 满足||||2a b a b ==⋅=,若,,1x y R x y ∈+=,则1|(1)|2x a xb ya y b ⎛⎫-+++- ⎪⎝⎭的最小值为( )A .1B .3C .7D .32.已知向量,a b ,满足||1,||2a b ==,若对任意模为2的向量c ,均有||||27a c b c ⋅+⋅≤,则向量,a b 的夹角的取值范围是( )A .0,3π⎡⎤⎢⎥⎣⎦B .,3ππ⎡⎤⎢⎥⎣⎦C .2,63ππ⎡⎤⎢⎥⎣⎦D .20,3π⎡⎤⎢⎥⎣⎦3.点M ,N ,P 在ABC 所在平面内,满足MA MB MC ++=0,|NA NB NC ==∣,且PA PB ⋅=PB PC PC PA ⋅=⋅,则M 、N 、P 依次是ABC 的( ) A .重心,外心,内心 B .重心,外心,垂心 C .外心,重心,内心D .外心,重心,垂心4.设向量a ,b ,c 满足||||1a b ==,12a b ⋅=,()()0a c b c -⋅-=,则||c 的最小值是( ) A .312+ B .312- C .3 D .15.如下图,四边形OABC 是边长为1的正方形,点D 在OA 的延长线上,且2OD =,点P 为BCD 内(含边界)的动点,设(,)OP OC OD R αβαβ=+∈,则αβ+的最大值等于( )A .3B .2C .52D .326.如图,正方形ABCD 的边长为6,点E ,F 分别在边AD ,BC 上,且2DE AE =,2CF BF =.若有(7,16)λ∈,则在正方形的四条边上,使得PE PF λ=成立的点P 有( )个.A .2B .4C .6D .07.若2a b c ===,且0a b ⋅=,()()0a c b c -⋅-≤,则a b c +-的取值范围是( )A .[0,222]+B .[0,2]C .[222,222]-+D .[222,2]-8.已知ABC ∆为等边三角形,则cos ,AB BC =( ) A .3-B .12-C .12D .329.已知向量a 、b 、c 满足0a b c ++=,且a b c <<,则a b ⋅、b c ⋅、a c ⋅中最小的值是( ) A .a b ⋅B .a c ⋅C .b c ⋅D .不能确定10.已知2a b ==,0a b ⋅=,()()0c a c b -⋅-=,若2d c -=,则d 最大值为( ) A .22B .122+C .222+D .4211.已知ABC 的内角A ,B ,C 所对的边分别为a ,b ,c ,向量(,)m a b b c =++,(,)n c b a =-,若//m n ,则C =( )A .56π B .23π C .3π D .6π 12.如图所示,在ABC 中,点D 在线段BC 上,且3BD DC =,若AD AB AC λμ=+,则λμ=( )A .12B .13C .2D .23二、填空题13.已知平面向量a ,b 的夹角为120︒,且1a b ⋅=-,则a b -的最小值为________. 14.如图,在Rt ABC ∆中,2,60,90AB BAC B =∠=︒∠=︒,G 是ABC ∆的重心,则GB GC ⋅=__________.15.不共线向量a ,b 满足||||a b =,且(2)a a b ⊥-,则a 与b 的夹角为________. 16.如图,正方形ABCD 的边长为2,E 是以CD 为直径的半圆弧上一点,则AD AE ⋅的最大值为______.17.如图,在等腰三角形ABC 中,已知1AB AC ==,120A ∠=︒,E F 、分别是边AB AC 、上的点,且,AE AB AF AC λμ==,其中(),0,1λμ∈且41λμ+=,若线段EF BC 、的中点分别为M N 、,则MN 的最小值是_____.18.已知点()0,1A ,()3,2B ,向量()4,3AC =,则向量BC =______.19.已知平面向量2a =,3b =,4c =,4d =,0a b c d +++=,则()()a b b c +⋅+=______.20.已知点O 是ABC ∆内部一点,并且满足230OA OB OC ++=,BOC ∆的面积为1S ,ABC ∆的面积为2S ,则12S S =______. 三、解答题21.在平面直角坐标系xOy 中,已知(1,2)A --,()2,3B ,(2,1)C --. (1)求以线段AB 、AC 为邻边的平行四边形两条对角线的长;(2)若存在y 轴上一点P 满足BC AP ⊥,求BPC ∠. 22.已知向量()()3,1,1,2AB AC =-=-. (1)求向量AB 与AC 的夹角θ;(2)若()()AB AC AB AC λ+⊥-,求实数λ的值. 23.已知123PP P 三个顶点的坐标分别为123(cos ,sin ),(cos ,sin ),(cos ,sin )P P P ααββγγ,且1230OP OP OP ++=(O 为坐标原点).(1)求12POP ∠的大小; (2)试判断123PP P 的形状.24.已知非零向量a ,b 满足1a =且()()12a b a b -⋅+=. (Ⅰ)若12a b ⋅=,求向量a ,b 的夹角; (Ⅱ)在(Ⅰ)的条件下,求2a b -的值. 25.已知向量(1,2)a =-,||25b =. (1)若b a λ=,其中0λ<,求b 的坐标; (2)若a 与b 的夹角为23π,求()(2)a b a b -⋅+的值. 26.在ABC 中,G 为ABC 的重心,过G 点的直线分别交,AB AC 于,P Q 两点,且,AP h AB AQ k AC ==,(1)求11h k+的值; (2)设,APQ ABC S S △△分别表示,APQ ABC △△的面积,求APQ ABCS S的最小值.【参考答案】***试卷处理标记,请不要删除一、选择题 1.C 解析:C 【分析】利用已知条件求出向量a 、b 的夹角,建立直角坐标系把所求问题转化为解析几何问题. 【详解】设a 、b 所成角为θ, 由||||2==a b ,2a b ,则1cos 2θ=,因为0θπ≤≤ 所以3πθ=,记a OA =,b OB =,以OA 所在的直线为x 轴,以过O 点垂直于OA 的直线为y 轴, 建立平面直角坐标系,则()2,0A ,(B ,所以()2,0a OA ==,(1,b OB ==,()(1)2x a xb x -+=-,所以((1)2x a xb x -+=-=,表示点()P x 与点()2,0A 两点间的距离, 由,,1x y R x y ∈+=113,22222ya y b y x ⎛⎫⎛⎛⎫+-=+-=-- ⎪ ⎪ ⎪ ⎝⎭⎝⎭⎝⎭, 所以1322ya y b x ⎛⎫⎛+-=- ⎪ ⎝⎭,表示点()P x 与点32Q ⎛⎝⎭两点间的距离, ∴1|(1)|2x a xb ya y b ⎛⎫-+++- ⎪⎝⎭的最小值转化为P 到,A Q 两点的距离和最小,()P x 在直线y =上,()2,0A 关于直线y =的对称点为(R -,PQ PA ∴+的最小值为QR == 故选:C 【点睛】关键点点睛:本题考查了向量模的坐标运算以及模转化为两点之间距离的转化思想,解题的关键是将向量的模转化为点()P x 到()2,0A 、32Q ⎛ ⎝⎭两点间的距离,考查了运算求解能力.2.B解析:B 【分析】根据向量不等式得到7a b +≤,平方得到1a b ⋅≤,代入数据计算得到1cos 2α≤得到答案. 【详解】由||1a =,||2b =,若对任意模为2的向量c ,均有||||27a c b c ⋅+⋅≤ 可得:()()27a b c a b c a c b c +⋅≤+⋅≤⋅+⋅≤ 可得:()227a b +⋅≤,7a b +≤平方得到2227a b a b ++⋅≤,即1a b ⋅≤1cos 1,cos ,23a b a b παααπ⋅=⋅≤∴≤∴≤≤故选:B 【点睛】本题考查了向量夹角的计算,利用向量三角不等式的关系进行求解是解题的关键.3.B解析:B 【分析】由三角形五心的性质即可判断出答案. 【详解】 解:0MA MB MC ++=,∴MA MB MC +=-,设AB 的中点D ,则2MA MB MD +=,C ∴,M ,D 三点共线,即M 为ABC ∆的中线CD 上的点,且2MC MD =. M ∴为ABC 的重心.||||||NA NB NC ==,||||||NA NB NC ∴==,N ∴为ABC 的外心;PA PB PB PC =,∴()0PB PA PC -=,即0PB CA =,PB AC ∴⊥, 同理可得:PA BC ⊥,PC AB ⊥,P ∴为ABC 的垂心;故选:B .【点睛】本题考查了三角形五心的性质,平面向量的线性运算的几何意义,属于中档题.4.B解析:B 【分析】建立坐标系,以向量a ,b 的角平分线所在的直线为x 轴,使得a ,b 的坐标分别为312⎫⎪⎪⎝⎭,321⎫-⎪⎪⎝⎭,设c 的坐标为(),x y ,由已知可得223124x y ⎛-+= ⎝⎭,表示以3⎫⎪⎪⎝⎭为圆心,12为半径的圆,求出圆心到原点的距离,再减去半径即为所求 【详解】解:建立坐标系,以向量a ,b 的角平分线所在的直线为x 轴,使得a ,b 的坐标分别为312⎫⎪⎪⎝⎭,321⎫-⎪⎪⎝⎭,设c 的坐标为(),x y , 因为()()0a c b c -⋅-=,所以3131,,02222x y x y ⎛⎫⎛⎫--⋅---= ⎪ ⎪ ⎪ ⎪⎝⎭⎝⎭,化简得22314x y ⎛+= ⎝⎭, 表示以3,02⎛⎫ ⎪ ⎪⎝⎭为圆心,12为半径的圆, 则||c 的最小值表示圆上的点到原点的距离的最小值, 因为圆到原点的距离为32,所以圆上的点到原点的距离的最小值为3122-,故选:B【点睛】此题考查平面向量的数量积运算,解题的关键是写出满足条件的对应的点,考查数学转化思想,考查数形结合的思想,属于中档题5.D解析:D 【分析】以O 为原点,边OA 和OC 所在的直线分别为x 和y 轴建立如图所示的平面直角坐标系,设(),P x y ,易得1,2y x αβ==,则12x y αβ+=+,再将原问题转化为线性规划问题,求目标函数12x y +在可行域BCD 内(含边界)的最大值,即可求出结果. 【详解】以O 为原点,边OA 和OC 所在的直线分别为x 和y 轴建立如图所示的平面直角坐标系, 则()()0,1,2,0C D ,如下图所示:设(),P x y ,∵ (,)OP OC OD R αβαβ=+∈, ∴()()(),0,12,0)2,(x y αββα=+=,∴2,x y βα==,即1,2y x αβ==,∴12x y αβ+=+, 令1,2z x y =+则12y x z =-+,其中z 为直线12y x z =-+在y 轴上的截距,由图可知,当该直线经过点()1,1B 时,其在y 轴上的截距最大为32, ∴αβ+的最大值为32. 故选:D . 【点睛】本题考查平面向量在几何中的应用,建立坐标系后,可将原问题转化为线性规划中的最值问题,考查学生的转化思想、逻辑推理能力和运算能力,属于中档题.6.B解析:B 【分析】建立坐标系,逐段分析·PE PF 的取值范围及对应的解. 【详解】以DC 为x 轴,以DA 为y 轴建立平面直角坐标系,如图,则()()0,4,6,4E F ,(1)若P 在CD 上,设(,0),06P x x ≤≤,(,4),(6,4)PE x PF x ∴=-=-,2616PE PF x x ∴⋅=-+, [0,6],716x PE PF ∈∴≤⋅≤, ∴当=7λ时有一解,当716λ<≤时有两解;(2)若P 在AD 上,设(0,),06P y y <≤,(0,4),(6,4)PE y PF y ∴=-=-,22(4)816PE PF y y y ∴⋅=-=-+, 06,016y PE PF <≤∴⋅<,∴当=0λ或4<<16λ时有一解,当716λ<≤时有两解; (3)若P 在AB 上,设(,6),06P x x <≤,(,2),(6,2)PE x PF x =--=--,264PE PF x x ∴⋅=-+, 06,54x PE PF <≤∴-≤⋅≤,∴当5λ=-或4λ=时有一解,当54λ-<<时有两解;(4)若P 在BC 上,设(6,),06P y y <<,(6,4),(0,4)PE y PF y ∴=--=-, 22(4)816PE PF y y y ∴⋅=-=-+,06y <<,016PE PF ∴⋅<,∴当0λ=或416λ≤<时有一解,当04λ<<时有两解,综上可知当(7,16)λ∈时,有且只有4个不同的点P 使得PE PF λ⋅=成立. 故选:B. 【点睛】本题主要考查平面向量数量积的运算,二次函数的根的个数判断,属于中档题.7.D解析:D 【解析】如图所示:OA a =,OB b =,OC c =,OD a b =+ ∵()()0a c b c -⋅-≤,∴点C 在劣弧AB 上运动,a b c +-表示C 、D 两点间的距离CD .CD 的最大值是BD =2,CD 最小值为OD 2222-=-.故选D8.B解析:B 【分析】判断,AB BC 两向量夹角容易出错,是23π,而不是3π 【详解】由图发现,AB BC 的夹角不是B 而是其补角23π,21cos ,cos32AB BC π<>==- 【点睛】本题考查的是两向量夹角的定义,属于易错题,该类型题建议学生多画画图.9.C解析:C 【分析】由0a b c ++=,可得2222222().2()a b c a b b c a b c =-+=-+、2222()a c b a c =-+,利用||||||a b c <<,即可比较. 【详解】解:由0a b c ++=,可得()c a b =-+,平方可得2222()a b c a b =-+. 同理可得2222()b c a b c =-+、2222()a c b a c =-+,||||||a b c <<,∴222a b c <<则a b 、b c 、a c 中最小的值是b c . 故选:C . 【点睛】本题考查了向量的数量积运算,属于中档题.10.C解析:C 【分析】不妨设(2,0),(0,2)a b ==,设(,),(,)c m n d x y ==,则由()()0c a c b -⋅-=求出点(,)a b 满足的关系(点(,)C a b 在一个圆上),而2d c -=表示点(,)D x y 在以(,)C a b 为圆心,2为半径的圆上,d 表示该圆上的点到原点的距离,由几何意义可得解. 【详解】∵2a b ==,0a b ⋅=,∴不妨设(2,0),(0,2)a OA b OB ====,如图,设(,)c OC m n ==,(,)d OD x y ==,则()()(2,)(,2)(2)(2)0c a c b m n m n m m n n -⋅-=-⋅-=-+-=,即22(1)(1)2m n -+-=,∴点(,)C m n 在以(1,1)M 为圆心,2为半径的圆M 上, 又2d c -=,∴(,)D x y 在以(,)C a b 为圆心,2为半径的圆C 上, 则2d OC ≤+,当且仅当D 在OC 延长线上时等号成立, 又OC 的最大值是圆M 的直径22, ∴d 最大值为222+. 故选:C .【点睛】本题考查平面向量的数量积与向量的模,解题关键是引入坐标表示向量,用几何意义表示向量,求解结论.11.B解析:B 【分析】由//m n ,可得()()()0a b a c b b c +⨯--⨯+=.结合余弦定理,可求角C . 【详解】(,),(,)m a b b c n c b a =++=-,且//m n ,()()()0a b a c b b c ∴+⨯--⨯+=,整理得222c a b ab =++. 又22212cos ,cos 2c a b ab C C =+-∴=-.()20,,3C C ππ∈∴=.故选:B. 【点睛】本题考查向量共线的坐标表示和余弦定理,属于基础题.12.B解析:B 【分析】由向量的运算法则,化简得1344AD AB AC =+,再由AD AB AC λμ=+,即可求得,λμ 的值,即可求解. 【详解】由向量的运算法则,可得34=+=+AD AB BD AB BC 313()444AB AC AB AB AC =+-=+, 因为AD AB AC λμ=+,所以13,44λμ==,从而求得13λμ=,故选:B . 【点睛】该题考查的是有关向量的基本定理,在解题的过程中,需要利用向量直角的关系,结合三角形法则,即可求得结果,属于基础题.二、填空题13.【分析】先利用平面向量的夹角为且解出然后求解的最值即可得到的最值【详解】因为所以而当且仅当时等号成立所以故答案为:【点睛】本题考查平面向量数量积的运用考查模长最值的求解难度一般【分析】先利用平面向量a ,b 的夹角为120︒,且1a b ⋅=-解出2a b ⋅=,然后求解2a b -的最值即可得到a b -的最值. 【详解】因为1·cos 12a b a a b b θ⋅=⋅=-⋅=-,所以2a b ⋅=, 而2222222226a b a a b b a b a b -=-⋅+=++≥⋅+=,当且仅当2a b ==时等号成立,所以6a b -≥ 故答案为:6. 【点睛】本题考查平面向量数量积的运用,考查模长最值的求解,难度一般.14.【解析】分析:建立平面直角坐标系结合平面向量数量积的坐标运算整理计算即可求得最终结果详解:建立如图所示的平面直角坐标系则:由中心坐标公式可得:即据此有:结合平面向量数量积的坐标运算法则可得:点睛:求 解析:209-【解析】分析:建立平面直角坐标系,结合平面向量数量积的坐标运算整理计算即可求得最终结果. 详解:建立如图所示的平面直角坐标系,则:()0,2A ,()0,0B ,()23,0C ,由中心坐标公式可得:0023200,3G ⎛⎫++++ ⎪ ⎪⎝⎭,即223,33G ⎛⎫ ⎪⎝⎭, 据此有:223,33GB ⎛⎫=-- ⎪⎝⎭,423,33GC ⎛⎫=-⎪⎝⎭, 结合平面向量数量积的坐标运算法则可得:2422203333339GB GC ⎛⎫⎛⎫⎛⎫⋅=-⨯+-⨯-=- ⎪ ⎪ ⎪⎝⎭⎝⎭⎝⎭.点睛:求两个向量的数量积有三种方法:利用定义;利用向量的坐标运算;利用数量积的几何意义.具体应用时可根据已知条件的特征来选择,同时要注意数量积运算律的应用.15.【解析】由垂直可知=0即又因为所以填(或) 解析:3π【解析】由垂直可知()a a 2b -=0,即2||20a a b -⋅=,2||2a ab ⋅=,1cos ,2a b a b a b ⋅==⋅,又因为,[0,]a b π<>∈ ,所以,3a b π<>=.填π3(或60︒). 16.6【分析】先建立平面直角坐标系再表示出点的坐标接着表示出最后求求得最大值即可【详解】解:以点为原点以方向为轴正方向以方向为轴正方向建立平面直角坐标系如图则由图可知以为直径的圆的方程为:参数方向:因为解析:6 【分析】先建立平面直角坐标系,再表示出点E 的坐标,接着表示出AD ,AE ,最后求AD AE ⋅求得最大值即可. 【详解】解:以点A 为原点,以AB 方向为x 轴正方向,以AD 方向为y 轴正方向,建立平面直角坐标系,如图,则(0,0)A ,(0,2)D由图可知以CD 为直径的圆的方程为:22(1)(2)1x y -+-=,参数方向:1cos 2sin x y θθ=+⎧⎨=+⎩, 因为E 是以CD 为直径的半圆弧上一点,所以(1cos ,2sin )E θθ++,(0θπ≤≤), 所以(0,2)AD =,(1cos ,2sin )AE θθ=++, 则0(1cos )2(2sin )42sin AD AE θθθ⋅=⨯+++=+, 当2πθ=时,AD AE ⋅取得最大值6.故答案为:6 【点睛】本题考查平面向量数量积的坐标表示,是基础题17.【分析】根据条件及向量数量积运算求得连接由三角形中线的性质表示出根据向量的线性运算及数量积公式表示出结合二次函数性质即可求得最小值【详解】根据题意连接如下图所示:在等腰三角形中已知则由向量数量积运算解析:77【分析】根据条件及向量数量积运算求得AB AC ⋅,连接,AM AN ,由三角形中线的性质表示出,AM AN .根据向量的线性运算及数量积公式表示出2MN ,结合二次函数性质即可求得最小值. 【详解】根据题意,连接,AM AN ,如下图所示:在等腰三角形ABC 中,已知1AB AC ==,120A ∠=︒则由向量数量积运算可知1cos 11cos1202AB AC AB AC A ⋅=⋅=⨯⨯=- 线段EF BC 、的中点分别为M N 、则()()1122AM AE AF AB AC λμ=+=+ ()12AN AB AC =+ 由向量减法的线性运算可得11112222MN AN AM AB AC λμ⎛⎫⎛⎫=-=-+-⎪ ⎪⎝⎭⎝⎭所以2211112222MN AB AC λμ⎡⎤⎛⎫⎛⎫=-+- ⎪ ⎪⎢⎥⎝⎭⎝⎭⎣⎦222211111111222222222AB AC AB AC λμλμ⎛⎫⎛⎫⎛⎫⎛⎫=-+-+⨯-⨯-⨯⋅ ⎪ ⎪ ⎪ ⎪⎝⎭⎝⎭⎝⎭⎝⎭221111111112222222222λμλμ⎛⎫⎛⎫⎛⎫⎛⎫⎛⎫=-+-+⨯-⨯-⨯- ⎪ ⎪ ⎪ ⎪ ⎪⎝⎭⎝⎭⎝⎭⎝⎭⎝⎭ 因为41λμ+=,代入化简可得22221312111424477MN μμμ⎛⎫=-+=-+ ⎪⎝⎭因为(),0,1λμ∈且41λμ+=10,4μ⎛⎫∴∈ ⎪⎝⎭所以当17μ=时, 2MN 取得最小值17因而min7MN==故答案为 【点睛】本题考查了平面向量数量积的综合应用,向量的线性运算及模的求法,二次函数最值的应用,属于中档题.18.【分析】根据向量的坐标运算即可求出【详解】因为所以故答案为:【点睛】本题考查了向量的坐标运算向量模的坐标公式属于基础题目【分析】根据向量的坐标运算即可求出. 【详解】 因为()0,1A ,()3,2B,所以()3,1AB =,()()()4,33,11,2BC AC AB =-=-=,21BC ==【点睛】本题考查了向量的坐标运算,向量模的坐标公式,属于基础题目.19.【分析】根据得到然后两边平方结合求得再由求解即可【详解】因为所以所以所以因为所以故答案为:【点睛】本题主要考查平面向量的数量积运算还考查了运算求解的能力属于中档题解析:52【分析】根据0a b c d +++=,得到++=-a b c d ,然后两边平方结合2a =,3b =,4c =,4d =,求得⋅+⋅+⋅a b a c b c ,再由()()a b b c +⋅+=2⋅+⋅+⋅+a b a c b c b 求解即可. 【详解】因为0a b c d +++=, 所以++=-a b c d ,所以()()22++=-a b cd ,所以()()()()2222222+++⋅+⋅+⋅=-a b c a b a c b c d ,因为2a =,3b =,4c =,4d =, 所以132⋅+⋅+⋅=-a b a c b c , ()()a b b c +⋅+=252⋅+⋅+⋅+=a b a c b c b . 故答案为:52【点睛】本题主要考查平面向量的数量积运算,还考查了运算求解的能力,属于中档题.20.【分析】将化为再构造向量和得出比例关系最后求解【详解】因为所以分别取的中点则所以即三点共线且如图所示则由于为中点所以所以故答案为:【点睛】本题考查向量的线性运算但是在三角形中考查又和三角形面积综合在解析:16【分析】将230OA OB OC ++=化为()2OA OC OB OC +=-+,再构造向量()12OA OC +和()12OB OC +,得出比例关系,最后求解12.S S【详解】因为230OA OB OC ++=,所以()2OA OC OB OC +=-+,分别取AC ,BC 的中点D ,E ,则2OA OC OD +=,2OB OC OE +=. 所以2OD OE =-,即O ,D ,E 三点共线且2OD OE =.如图所示,则13OBC DBC S S ∆∆=,由于D 为AC 中点,所以12DBC ABC S S ∆∆=,所以16OBC ABC S S ∆∆=. 故答案为:16【点睛】本题考查向量的线性运算,但是在三角形中考查,又和三角形面积综合在一起,属于中档题.三、解答题21.(1);(2)arccos 5. 【分析】(1)计算AB AC +和AB AC -可得;(2)先求出P 点坐标,再求PB 和PC 的夹角即得. 【详解】(1)由题意(3,5)AB =,(1,1)AC=-,(2,6)AB AC +===(4,4)AB AC-==所以所求对角线长为 (2)设(0,)P y ,则由BC AP ⊥得3(1)(2)12(2)0(1)y ----⨯=-----,3y =-,即(0,3)P -,(2,6)PB =,(2,2)PC =-,cos 2PB PC BPC PB PC⋅∠=== 所以arccos 5BPC ∠=. 【点睛】关键点点睛:根据向量加减法的几何意义,以线段AB 、AC 为邻边的平行四边形的对角线长就是,AB AC 和与差的模.而求BPC ∠,可以算作是,PB PC 的夹角,也可以用两直线的夹角公式求解. 22.(1)4π;(2)23.【分析】(1)由向量的夹角公式计算可得答案; (2)由向量垂直的坐标表示可得答案.. 【详解】(1)因为向量()()3,1,1,2AB AC =-=-,所以31+12cos 2θ⨯-⨯-==,又0θπ≤≤,所以4πθ=.所以向量AB 与AC 的夹角4π; (2)因为向量()()3,1,1,2AB AC =-=-,所以()()4331+2AB AC AB AC λλλ+=--=--,,,,又()()AB AC AB AC λ+⊥-,则()()()431+3+20λλ⨯--⨯-=,解得23λ=,所以实数λ的值为23. 【点睛】方法点睛:设a =11(,)x y ,b =22(,)x y ,则//a b 12210x y x y ⇔-=,a ⊥b 1212+0y x x y ⇔=.23.(1)1223POP π∠=;(2)123PP P 是等边三角形. 【分析】(1)根据1231OP OP OP ===和1230OP OP OP ++=可得1212OP OP ⋅=-,从而可求12POP ∠的大小.(2)结合(1)可求得231321||||||3PP P P PP ===, 从而可得123PP P 是等边三角形. 【详解】解:(1)题意知1231OP OP OP === ∵123OP OP OP +=-, ∴()22123OP OP OP +=∴222121232OP OP OP OP OP +⋅+= ∴1221OP OP ⋅=-,即1212OP OP ⋅=-, ∴1212121cos 2OP OP POP OP OP ⋅∠==-⋅,∴[]120,POP π∠∈,∴1223POP π∠=. (2)∵1221PP OP OP =-, ∴22122122121||()23PP OP OP OP OP OP OP =-=-⋅+=同理:1323||||3PP P P == ∴123PP P 是等边三角形.【点睛】本题考查向量的夹角的计算以及三角形形状的判断,注意根据各向量的模长相等且为1对向量等式平方,从而得到夹角的大小,本题属于中档题.24.(Ⅰ);(Ⅱ)1【解析】 试题分析:(Ⅰ)本问充分考查学生对向量数量积的掌握,善于将已知条件进行转化,具有划归转化能力和方程思想.将()()12a b a b -⋅+=展开整理得到关于b 的一元二次方程,求出b ,在根据公式cos ,a b a b a b ⋅=⋅求出向量a ,b 的夹角的余弦值,在根据向量夹角的范围是,从而求出向量a ,b 的夹角;(Ⅱ)本题考查求向量模的方法,利用2a a =,()222a b a b -=-=2244a a b b -⋅+,再根据第(Ⅰ)问的条件及已知条件,即可求出的值.试题 (Ⅰ)∵()()12a b a b -⋅+=∴22221||2a b a b -=-=又∵1a = ∴22b = ∴2cos ,2a b a b a b ⋅== ∴向量,a b 的夹角为4π. (Ⅱ)2222(2)441a b a b a a b b -=-=-⋅+=考点:1.向量的垂直;2.向量的数量积运算;3.求向量的模.25.(1)(2,4)-;(2)5-.【分析】(1)由向量模的坐标表示求出λ,可得b 的坐标;(2)根据向量数量积的运算律及数量积的定义计算.【详解】(1)由题知(,2)b λλ=-,22||(2)5|25b λλλ=+-==2λ=-,故(2,4)b =-;(2)221(2)5a =+-=∴222221()(2)22||||cos105220532a b a b a a b b a a b b π⎛⎫-⋅+=-⋅-=-⋅-=-⋅--=- ⎪⎝⎭.【点睛】 本题考查向量模的坐标表示,考查向量数量积的运算律,掌握数量积的运算律是解题关键.26.(1)3;(2)49. 【分析】(1)G 为ABC 的重心,可得1331AG AB AC =+,再由,,P G Q 三点共线,利用共线的充要条件可得(1)AG AP AQ λλ=+-,结合已知和向量的基本定理,即可求出,h k 关系;(2)由三角形面积公式可得APQ ABC S hk S =,利用(1)中结论,结合基本不等式,即可求出结论.【详解】(1)设BC 中点为D ,则,,A G D 三点共线, 且211333AG AD AB AC ==+, ,,P G Q 三点共线,存在唯一的λ,使得(1)(1)AG AQ QP AP AQ hAB k AC λλλλλ=+=+-=+-,,AB AC 不共线,131(1)3h k λλ⎧=⎪⎪⎨⎪-=⎪⎩, 整理得31()1,31h h k h k k=+=+; (2)1||||sin 21||||sin 2APQ ABC AP AQ BACS hk S AB AC BAC ⋅⋅∠==⋅⋅∠ 114))911()((299k h h k h k h k =+++≥+=, 当且仅当23h k ==时,等号成立. APQABC SS 的最小值为49. 【点睛】本题考查向量基本定理以及共线充要条件的应用,注意运用基本不等式求最值,属于中档题.。
(常考题)北师大版高中数学必修四第二章《平面向量》测试卷(答案解析)(2)
一、选择题1.已知a 与b 的夹角为60,4a =,则a b λ-(R λ∈)的最小值为( )A .B .72C .103D 2.ABC ∆中,AB AC ⊥,M 是BC 中点,O 是线段AM 上任意一点,且2AB AC ==,则OA OB OA OC +的最小值为( )A .-2B .2C .-1D .13.点M ,N ,P 在ABC 所在平面内,满足MA MB MC ++=0,|NA NB NC ==∣,且PA PB ⋅=PB PC PC PA ⋅=⋅,则M 、N 、P 依次是ABC 的( ) A .重心,外心,内心 B .重心,外心,垂心 C .外心,重心,内心D .外心,重心,垂心4.在AOB ∆中,0,5,25,OA OB OA OB AB ⋅===边上的高为,OD D 在AB 上,点E 位于线段OD 上,若34OE EA ⋅=,则向量EA 在向量OD 上的投影为( ) A .12或32B .1C .1或12D .325.已知正方形ABCD 的边长为2,EF 为该正方形内切圆的直径,P 在ABCD 的四边上运动,则PE PF ⋅的最大值为( )A B .1C .2D .6.已知向量,a b 满足2(1,2),(1,)+==a b m b m ,且a 在b ,则实数m =( )A .2±B .2C .5±D 7.已知a ,b 为单位向量,2a b a b +=-,则a 在a b +上的投影为( )A .13B .3-C .3D .38.已知向量(cos ,sin )a θθ=,向量(3,1)b =-,则2a b -的最大值,最小值分别是( )A .0B .4,C .16,0D .4,09.已知ABC ∆为等边三角形,则cos ,AB BC =( )A .B .12-C .12D10.ABC 中,5AB =,10AC =,25AB AC =,点P 是ABC 内(包括边界)的一动点,且32()55AP AB AC R λλ=-∈,则||AP 的最大值是( )A BCD 11.已知正项等比数列{}n a ,若向量()28,a a =,()8,2b a =,//a b ,则212229log log log (a a a ++⋯+= )A .12B .28log 5+C .5D .1812.在ABC 中,D 是BC 边上的一点,F 是AD 上的一点,且满足2AD AB AC =+和20FD FA +=,连接CF 并延长交AB 于E ,若AE EB λ=,则λ的值为( ) A .12B .13C .14 D .15二、填空题13.已知向量a ,b 及实数t 满足|(1)(1)|1t a t b ++-=,若22||||1a b -=,则t 的最大值是________.14.已知平面向量a ,b 不共线,且1a =,1a b ⋅=,记b 与2a b +的夹角是θ,则θ最大时,a b -=_______.15.在ABC 中,AB AC =,E ,F 是边BC 的三等分点,若3AB AC AB AC +=-,则cos EAF ∠=_______________16.不共线向量a ,b 满足||||a b =,且(2)a a b ⊥-,则a 与b 的夹角为________. 17.设1e ,2e 是单位向量,且1e ,2e 的夹角为23π,若12a e e =+,122b e e =-,则a 在b 方向上的投影为___________. 18.已知||1,||3,0OA OB OA OB ==⋅=|,点C 在AOB ∠内,且30AOC ∠=︒,设(,)OC mOA nOB m n R =+∈,则mn等于 . 19.已知,a b 都是单位向量,且a 与b 的夹角是120,||a b -=_________________.20.已知向量a =(1,0),b =(12-c 满足2c =,且(c a b --)•c =0,则a 与c 的夹角为_____.三、解答题21.在直角坐标系xoy 中,单位圆O 的圆周上两动点A B 、满足60AOB ∠=︒(如图),C坐标为()1,0,记COA α∠=(1)求点A 与点B 纵坐标差A B y y -的取值范围; (2)求AO CB ⋅的取值范围;22.已知4a =,8b =,a 与b 的夹角是120(1)计算:①a b +,②42a b-;(2)当k 为何值时,2a b +()与ka b -()垂直? 23.已知4,3,(23)(2)61a b a b a b ==-⋅+=. (1)求a 与b 的夹角为θ; (2)求a b +;(3)若AB =a ,BC =b ,求△ABC 的面积. 24.已知a ,b ,c 在同一平面内,且()1,2a =. (1)若35c =,且//a c ,求c ; (2)若2b =,且()()2a b a b +⊥-,求a 与b 的夹角的余弦值.25.已知向量(1,2),(,2),(3,1)==-=-OA OB m OC ,O 为坐标原点. (1)若AB AC ⊥求实数m 的值; (2)在(1)的条件下,求△ABC 的面积.26.已知△ABC 中,角A 、B 、C 的对边为a ,b ,c ,向量m (2cossin )2CC =-,, n =(cos2sin )2C C ,,且m n ⊥. (1)求角C ;(2)若22212a b c =+,试求sin()A B -的值【参考答案】***试卷处理标记,请不要删除一、选择题 1.A 解析:A 【分析】根据向量的模的表示方法得22222a b a a b b λλλ-=-⋅+,再配方即可得答案. 【详解】解:根据向量模的计算公式得:()()222222216421212a b a a b b b bb λλλλλλ-=-⋅+=-+=-+≥,当且仅当2b λ=时等号成立;所以23a b λ-≥,当且仅当2b λ=时等号成立; 故选:A. 【点睛】方法点睛:向量模的计算公式:22a a a a =⋅=2.C解析:C 【分析】根据向量求和的平行四边形法则可以得出2OA OB OA OC OA OM ⋅+⋅=⋅,再利用向量的数量积的运算可以得到22OA OM OA OM ⋅=-⋅,因为2OA OM +=,代入计算可求出最小值. 【详解】解:在直角三角形ABC 中,2AB AC ==,则BC =M 为BC 的中点,所以AM =设OA x =,(0x ≤≤()2OA OB OA OC OA OB OC OA OM ⋅+⋅=⋅+=⋅ )()2222OA OM xx x =-⋅=-=2212x ⎛=-- ⎝⎭所以当2x =,即22OA =时,原式取得最小值为1-.故选:C. 【点睛】方法点睛:(1)向量求和经常利用平行四边形法则转化为中线的2倍; (2)利用向量三点共线,可以将向量的数量积转化为长度的乘积; (3)根据向量之间模的关系,二元换一元,转化为二次函数求最值即可.3.B解析:B 【分析】由三角形五心的性质即可判断出答案. 【详解】 解:0MA MB MC ++=,∴MA MB MC +=-,设AB 的中点D ,则2MA MB MD +=,C ∴,M ,D 三点共线,即M 为ABC ∆的中线CD 上的点,且2MC MD =.M ∴为ABC 的重心.||||||NA NB NC ==,||||||NA NB NC ∴==,N ∴为ABC 的外心;PA PB PB PC =,∴()0PB PA PC -=,即0PB CA =,PB AC ∴⊥, 同理可得:PA BC ⊥,PC AB ⊥,P ∴为ABC 的垂心;故选:B .【点睛】本题考查了三角形五心的性质,平面向量的线性运算的几何意义,属于中档题.4.A解析:A 【解析】Rt AOB 中,0OA OB ⋅=,∴2AOB π∠=,∵5OA =,25OB =,∴225AB OA OB += , ∵AB 边上的高线为OD ,点E 位于线段OD 上,建立平面直角坐标系,如图所示; 则)5,0A、(025B ,、设(),D m n ,则OAD BAO ∽,∴OA ADAB OA=, ∴1AD =,∴15AD AB =, 即()(155,255m n =-,,求得45m =, ∴4525D ⎝⎭;则45254525OE OD λλ⎫===⎪⎪⎝⎭⎝⎭, 45255,EA ⎛⎫= ⎪ ⎪⎭;∵34OE EA ⋅=, ∴2454525354⎫⎫⋅-=⎪⎪⎪⎪⎭⎝⎭, 解得34λ=或14λ=;∴向量EA 在向量OD 上的投影为))452511ED OD OE λλ⎛⎫=-=-- ⎪⎪⎝⎭, 当34λ=时,5512ED ⎛== ⎝⎭;当14λ=时,353532ED ==⎝⎭. 即向量EA 在向量OD 上的投影为12或32,故选A.5.B解析:B 【分析】作出图形,利用平面向量的线性运算以及数量积的运算性质可得出21P OP E PF =⋅-,求得OP 的最大值,由此可求得PE PF ⋅的最大值. 【详解】 如下图所示:由题可知正方形ABCD 的内切圆的半径为1,设该内切圆的圆心为O ,()()()()2221PE PF OE OP OF OP OP OE OP OE OP OE OP ⋅=-⋅-=-+⋅--=-=-,由图象可知,当点P 为ABCD 的顶点时,2OP 取得最大值2,所以PE PF ⋅的最大值为1.故选:B. 【点睛】本题考查平面向量数量积最值的计算,考查计算能力,属于中等题.6.A解析:A 【分析】根据2(1,2),(1,)+==a b m b m 可得0,2m a ⎛⎫= ⎪⎝⎭,结合25||cos 5a θ=,列出等式,即可解出答案. 【详解】因为向量,a b 满足2(1,2),(1,)a b m b m +==,22(0,)a a b b m =+-=,所以20,,22m m a a b ⎛⎫=⋅= ⎪⎝⎭,若向量,a b 的夹角为θ,则2225||(||cos )152m b a m a b θ=+⋅=⋅=, 所以42516160m m --=,即()()225440m m +-=,解得2m =±. 故选:A . 【点睛】本题主要考查向量的投影及平面向量数量积公式,属于中档题.平面向量数量积公式有两种形式,一是||||cos a b a b θ⋅=,二是1212a b x x y y ⋅=+,主要应用以下几个方面:(1)求向量的夹角,cos ||||a ba b θ⋅=⋅(此时a b ⋅往往用坐标形式求解);(2)求投影,a 在b 上的投影是||a bb ⋅;(3),a b 向量垂直则0a b ⋅=;(4)求向量ma nb +的模(平方后需求a b ⋅). 7.C解析:C 【分析】由题意结合平面向量数量积的运算可得13a b ⋅=,进而可得()b a a +⋅、a b +,代入投影表达式即可得解. 【详解】因为a ,b 为单位向量,所以1==a b , 又2a b a b +=-,所以()()222a ba b +=-所以22222242a a b b a a b b +⋅+=-⋅+,即121242a b a b +⋅+=-⋅+, 所以13a b ⋅=,则()2263a b a b +=+=,()243a a b a a b ⋅+=+⋅=,所以a 在a b +上的投影为()4326a a ba b⋅+==+ 故选:C. 【点睛】本题考查了平面向量数量积的应用,考查了一个向量在另一个向量上投影的求解,属于中档题.8.D解析:D 【分析】利用向量的坐标运算得到|2|a b -用θ的三角函数表示化简求最值. 【详解】解:向量()a cos sin θθ=,,向量()31b =-,,则2a b -=(2cosθ3-,2sinθ+1),所以|2|a b -2=(2cosθ3-)2+(2sinθ+1)2=8﹣43cosθ+4sinθ=8﹣8sin (3πθ-),所以|2|a b -2的最大值,最小值分别是:16,0; 所以|2|a b -的最大值,最小值分别是4,0; 故选:D . 【点睛】本题考查了向量的坐标运算以及三角函数解析式的化简;利用了两角差的正弦公式以及正弦函数的有界性.9.B解析:B 【分析】判断,AB BC 两向量夹角容易出错,是23π,而不是3π 【详解】由图发现,AB BC 的夹角不是B 而是其补角23π,21cos ,cos32AB BC π<>==- 【点睛】本题考查的是两向量夹角的定义,属于易错题,该类型题建议学生多画画图.10.B解析:B 【分析】以A 为原点,以AB 所在的直线为x 轴,建立平面直角坐标系,根据向量的坐标运算求得3(3)y x =-,当该直线与直线BC 相交时,||AP 取得最大值.【详解】解:ABC 中,5AB =,10AC =,25AB AC =,510cos25A∴⨯⨯=,1cos2A=,60A∴=︒,90B=︒;以A为原点,以AB所在的直线为x轴,建立如图所示的坐标系,如图所示,5AB=,10AC=,60BAC∠=︒,(0,0)A∴,(5,0)B,(5C,53),设点P为(,)x y,05x,03y,3255AP AB ACλ=-,(x∴,3)(55y=,20)(55λ-,53)(32λ=-,23)λ-,∴3223xyλλ=-⎧⎪⎨=-⎪⎩,3(3)y x∴=-,①直线BC的方程为5x=,②,联立①②,得523xy=⎧⎪⎨=⎪⎩,此时||AP最大,22||5(23)37AP∴=+=.故选:B.【点睛】本题考查了向量在几何中的应用问题,建立直角坐标系是解题的关键,属于中档题.11.D解析:D【分析】本题先根据平行向量的坐标运算可得2816a a=,再根据等比中项的知识,可计算出54a =,在求和时根据对数的运算及等比中项的性质可得到正确选项.【详解】解:由题意,向量()28,a a =,()8,2b a =,//a b则28820a a ⨯-⨯=,即2816a a =,根据等比中项的知识,可得228516a a a ==, 50a >,54a ∴=,212229log log log a a a ∴++⋯+2129log ()a a a =⋯2192837465log [()()()()]a a a a a a a a a =925log a =29log 4=18=.故选:D .【点睛】本题主要考查等比数列的性质应用,以及数列与向量的综合问题.考查了转化与化归思想,平行向量的运算,对数的计算,逻辑思维能力和数学运算能力.属于中档题.12.C解析:C【分析】首先过D 做//DG CE ,交AB 于G ,根据向量加法的几何意义得到D 为BC 的中点,从而得到G 为BE 的中点,再利用相似三角形的性质即可得到答案.【详解】如图所示,过D 做//DG CE ,交AB 于G .因为2AD AB AC =+,所以D 为BC 的中点.因为//DG CE ,所以G 为BE 的中点,因为20FD FA +=,所以:1:2AF FD =.因为//DG CE ,所以::1:2AE EG AF FD ==,即12AE EG =. 又因为EG BG =,所以14AE EB =,故14AE EB =. 故选:C 【点睛】本题主要考查了向量加法运行的几何意义,同时考查了相似三角形的性质,属于中档题.二、填空题13.【分析】根据整理为再两边平方结合得到然后利用基本不等式求解【详解】因为所以两边平方得因为即所以而所以解得当且仅当时等号成立所以的最大值是故答案为:【点睛】关键点点睛:本题关键是由这一信息将转化为再遇 解析:14【分析】根据|(1)(1)|1t a t b ++-=,整理为()()||1t a b a b ++-=,再两边平方结合22||||1a b -=,得到()()22212t a b a b t ++-=-,然后利用基本不等式求解.【详解】 因为|(1)(1)|1t a t b ++-=,所以()()||1t a b a b ++-=, 两边平方得()()()()22221t a b t a b a b a b +++-+-=,因为22||||1a b -=,即()()1a b a b +-=,所以()()22212t a b a b t ++-=-,而()()()()22222t a b a b t a b a b t ++-≥+⋅-=, 所以122t t -≥,解得14t ≤,当且仅当()()t a b a b +=-时等号成立, 所以t 的最大值是14 故答案为:14【点睛】 关键点点睛:本题关键是由22||||1a b -=这一信息,将|(1)(1)|1t a t b ++-=,转化为()()||1t a b a b ++-=,再遇模平方,利用基本不等式从而得解. 14.【分析】把表示为的函数利用函数的性质求出当最大时的值进而可求出的值【详解】设则所以易得当时取得最小值取得最大值此时故答案为:【点睛】本题考查平面向量的有关计算利用函数的思想求最值是一种常见思路属于中【分析】把cos θ表示为|b|的函数,利用函数的性质求出当θ最大时|b|的值,进而可求出a b -的值. 【详解】 设()0b x x =>,则()22·222b a b a b b x +=⋅+=+, 22|2+|=448a b a a b b +⋅+=+, 所以()2·2cos 28b a b b a bx θ+==++ 易得cos 0θ>,()()()2222222222211cos 124811411222263x x x x x x θ+===+⎛⎫-++--+ ⎪+++⎝⎭, 当24x =时,2cos θ取得最小值,θ取得最大值,此时22||=212a b a a b b --⋅+=-=【点睛】 本题考查平面向量的有关计算,利用函数的思想求最值是一种常见思路.属于中档题. 15.【分析】以ABAC 为邻边作平行四边形ABCD 根据得到再根据得到平行四边形ABCD 是菱形则设利用勾股定理分别求得的长度在中利用余弦定理求解【详解】如图所示:以ABAC 为邻边作平行四边形ABCD 则因为所解析:1314【分析】以AB ,AC 为邻边作平行四边形ABCD ,根据3AB AC AB AC +=-,得到3AD CB =, 再根据AB AC =,得到平行四边形ABCD 是菱形,则CB AD ⊥,设3CB =EF ,,AE AF 的长度,在AEF 中利用余弦定理求解.【详解】如图所示:以AB ,AC 为邻边作平行四边形ABCD ,则,AB AC AD AB AC CB +=-=, 因为3AB AC AB AC +=-, 所以3AD CB =,设3CB =3AD =,因为AB AC =,所以平行四边形ABCD 是菱形,所以CB AD ⊥,所以223333,22AB AC EF ⎛⎫⎛⎫==+== ⎪ ⎪ ⎪⎝⎭⎝⎭, 所以223321263AE AF ⎛⎫⎛⎫==+= ⎪ ⎪ ⎪⎝⎭⎝⎭, 所以2222121113993cos 2142121233AE AF EF EAF AE AF +-+-∠===⋅⋅. 故答案为:1314 【点睛】本题主要考查平面向量的平行四边形法则以及余弦定理的应用,还考查了数形结合的思想和运算求解的能力,属于中档题. 16.【解析】由垂直可知=0即又因为所以填(或)解析:3π 【解析】 由垂直可知()a a 2b -=0,即2||20a a b -⋅=,2||2a a b ⋅=,1cos ,2a b a b a b ⋅==⋅,又因为,[0,]a b π<>∈ ,所以,3a b π<>=.填π3(或60︒).17.【分析】根据平面向量数量积的定义求出与并计算出平面向量的模再利用公式即可求解【详解】由平面向量的数量积的定义可得即所以在方向上的投影为故答案为:【点睛】本题主要考查了平面向量的数量积的定义以及向量的解析:14【分析】根据平面向量数量积的定义求出12e e ⋅与a b ⋅,并计算出平面向量b 的模b ,再利用公式,即可求解.【详解】 由平面向量的数量积的定义,可得1221211cos11()322e e e e π⋅=⋅=⨯⨯-=-, 222222111111()(2)22122a b e e e e e e e e ⋅=+-=+⋅-=--=, 22221112221(2)4444()172e e e e e e b =-=-⋅+=-⨯-+=,即7b =,所以a 在b 方向上的投影为12147a b b⋅==.. 【点睛】本题主要考查了平面向量的数量积的定义,以及向量的投影的应用,其中解答中熟记平面向量的数量积的计算公式,以及向量的投影的计算是解答本题的关键,着重考查了推理与运算能力,属于中档试题. 18.【详解】方法一:①又②③将②③代入①得:所以点在内所以方法二:以直线OAOB 分别为轴建立直角坐标系则设又得即解得故答案为:3 解析:【详解】方法一:3cos OA OCAOC OA OC ⋅∠==⋅, ① 又()2OA OC OA mOA nOB m OA m ⋅=⋅+==, ② 22222222||()||||23OC mOA nOB m OA n OB mnOA OB m n =+=++⋅=+, ③将②③代入①=,所以229m n =, 点C 在AOB ∠内, 所以3m n=.方法二:以直线OA ,OB 分别为,x y 轴建立直角坐标系,则()(10,03A B ,, , 设()31cos30,sin 30=,22OC λλλ⎛⎫=︒︒ ⎪ ⎪⎝⎭,又()(()1,033OC mOA nOB m n m n =+=+=, 得()31,=322m n λ⎛⎫ ⎪ ⎪⎝⎭,即 3=2132m n λλ⎧⎪⎪⎨⎪=⎪⎩, 解得3m n=. 故答案为:3.19.【分析】根据数量积公式得出的值再由得出答案【详解】故答案为:【点睛】本题主要考查了由数量积求模长属于中档题 3【分析】根据数量积公式得出a b ⋅的值,再由2||()a b a b -=-得出答案.【详解】 111cos1202a b ⋅=⨯⨯︒=- 22222||()2||2||1113a b a b a a b b a a b b ∴-=-=-⋅+=-⋅+=++= 3【点睛】本题主要考查了由数量积求模长,属于中档题.20.或【分析】向量(10)设与的夹角为θ结合已知可得出坐标利用向量坐标运算建立关系式即可求解【详解】设与的夹角为θ则或且∴由得若∴∴且∴或∴或若且不存在∴或故答案为:或【点睛】本题考查向量的夹角向量的坐解析:12π或712π 【分析】向量a =(1,0),设a 与c 的夹角为θ,结合已知可得出c 坐标,利用向量坐标运算,建立θ关系式,即可求解.【详解】 设a 与c 的夹角为θ,则()2,c cos sin θθ=, 或()2,2c cos sin θθ=-且132a b ⎛+= ⎝⎭,, ∴由()0c a b c --⋅=得,()2c a b c =+⋅, 若()2,c cos sin θθ=,∴11222226cos sin sin πθθθ⎫⎛⎫=+=+⎪ ⎪⎪⎝⎭⎝⎭,∴6sin πθ⎛⎫+= ⎪⎝⎭,且7666πππθ≤+≤, ∴64ππθ+=或34π, ∴12πθ=或712π. 若()2,c cos sin θθ=-,1122226cos sin sin πθθθ⎫⎛⎫==--⎪ ⎪⎪⎝⎭⎝⎭,62sin πθ⎛⎫-=- ⎪⎝⎭且5666πππθ-≤-≤, θ不存在. ∴12πθ=或712π. 故答案为:12π或712π. 【点睛】 本题考查向量的夹角、向量的坐标坐标运算,向量设为三角形式是解题的关键,属于中档题.三、解答题21.(1)[ 1.1]A B y y -∈-;(2)31,22⎡⎤-⎢⎥⎣⎦. 【分析】(1)根据三角函数的定义写出点A 与点B 纵坐标,从而将A B y y -表示成关于α的三角函数;(2)写出向量数量积的坐标运算,即AO CB OA BC ⋅=⋅,再利用三角函数的有界性,即可得答案;【详解】由题意得:()sin ,sin 60A B y y αα︒==-,∴A B y y -()1sin sin 60sin sin cos 2ααααα︒⎛=--=-⋅- ⎝⎭1sin sin 223πααα⎛⎫=+=+ ⎪⎝⎭ 02απ<,∴1sin 13πα⎛⎫-≤+≤ ⎪⎝⎭, ∴[ 1.1]A B y y -∈-.(2)()()() (cos ,sin )1cos 60,sin 60AO CB OA BC αααα︒︒⋅=⋅=⋅---- ()()cos cos cos 60sin sin 60ααααα︒︒=-⋅--⋅-()221cos sin cos sin cos cos 222ααααααα=-+-⋅+⋅ 1cos 2α=-, 02απ≤<,3111cos 1cos 222αα∴-≤≤⇒-≤-≤, ∴31,22AO CB ⎡⎤⋅∈-⎢⎥⎣⎦. 【点睛】根据三角函数的定义及三角恒等变换、三角函数的有界性是求解本题的关键.22.(1)①②2)7k =-.【分析】利用数量积的定义求解出a b ⋅的值;(1)将所求模长平方,从而得到关于模长和数量积的式子,代入求得模长的平方,再开平方得到结果;(2)向量互相垂直得到数量积等于零,由此建立方程,解方程求得结果.【详解】由已知得:cos ,48cos12016a b a b a b ⋅=⋅=⨯⨯=- (1)①222216326448a b a a b b +=+⋅+=-+= 43a b ∴+= ②2224216164256256256768a b a a b b -=-⋅+=++= 42163a b ∴-= (2)若2a b +与ka b -垂直,则()()20a b ka b +⋅-= ()222120ka k a b b ∴+-⋅-=即:1616(21)2640k k ---⨯=,解得:7k =- 【点睛】本题考查利用数量积求解向量的模长、利用数量积与向量垂直的关系求解参数的问题.求解向量的模长关键是能够通过平方运算将问题转化为模长和数量积运算的形式,从而使问题得以求解.23.(1)23π;(23) 【分析】 (1)将已知条件中的式子展开,利用公式求得6a b ⋅=-,根据向量夹角公式求得1cos 2θ=-,结合角的范围,求得结果; (2)利用向量的模的平方和向量的平方是相等的,从而求得结果;(3)根据向量所成角,求得三角形的内角,利用面积公式求得结果.【详解】(1)因为(23)(2)61a b a b -⋅+=,所以2244361a a b b -⋅-=. 又4,3a b ==,所以6442761a b -⋅-=, 所以6a b ⋅=-, 所以61cos 432a b a bθ⋅-===-⨯. 又0≤θ≤π,所以23πθ=. (2)2222()2a b a b a a b b +=+=+⋅+=42+2×(-6)+32=13,所以13a b +=;(3)因为AB 与BC 的夹角23πθ=,所以∠ABC =233πππ-=. 又4,3AB a BC b ====,所以S△ABC =14322⨯⨯⨯= 【点睛】该题考查的是有关向量与解三角形的综合题,涉及到的知识点有向量数量积,向量夹角公式,向量的平方和向量模的平方是相等的,三角形面积公式,属于简单题目.24.(1)()3,6c =或()3,6c =--;(2). 【分析】 (1)设(),cx y =,由平面向量平行的坐标表示及模的坐标表示可得2y x=⎧=即可得解;(2)由平面向量垂直可得()()20a b a b +⋅-=,再由平面向量数量积的运算可得1a b ⋅=-,最后由cos ,a b a b a b⋅=⋅即可得解. 【详解】(1)设(),c x y =,因为()1,2a =,//a c ,35c =,所以235y xx y =⎧+=⎪⎩36x y =⎧⎨=⎩或36x y =-⎧⎨=-⎩, 所以()3,6c =或()3,6c =--;(2)因为()1,2a =,所以14a =+又()()2a b a b +⊥-,2b =, 所以()()22225220a b a b aa b ba b +⋅-=+⋅-=+⋅-⨯=,所以1a b ⋅=-, 所以cos ,5a b a b a b ⋅===⨯⋅ 【点睛】 本题考查了平面向量共线及模的坐标表示,考查了平面向量数量积的应用及运算求解能力,属于中档题.25.(1)1;(2)(1)根据向量(1,2),(,2),(3,1)==-=-OA OB m OC ,得到向量,AB AC ,再由AB AC ⊥,利用坐标运算求解.(2)由(1)得到 ,AB AC ,然后由12ABC S AB AC =⨯⨯求解. 【详解】(1)因为向量(1,2),(,2),(3,1)==-=-OA OB m OC ,所以向量(1,4),(4,1)AB m AC =--=--,又因为AB AC ⊥,所以4(1)40m --+=,解得 2m =.(2)由(1)知:(0,4),(4,1)AB AC =-=--, 所以4,17AB AC ==所以11422ABC S AB AC =⨯⨯=⨯= 【点睛】本题主要考查平面向量的数量积的坐标运算,还考查了运算求解的能力,属于中档题.26.(1)60C =︒;(2. 【分析】(1)利用两个向量垂直的性质,两个向量数量积公式以及二倍角公式,求得cos C 的值,可得C 的值.(2)利用两角差的正弦公式,正弦定理和余弦定理化简,可得结果.【详解】(1)由题意知,0m n =,即222cos 2sin 02C C -=,21cos 2(1cos )0C C +--=, 22cos cos 10C C +-=,即cos 1C =-,或1cos 2C =, 因为0C π<<,所以60C =︒.(2)2222221122a b c a b c =+⇒-=, 222222sin()sin cos sin cos 2222a a c b b b c a A B A B B A R ac R bc+-+--=-=- ()222214442a b c c sinC cR cR R -=====. 【点睛】本题主要考查两个向量数量积公式,两角差的正弦公式,正弦定理和余弦定理的应用,属。
2019-2020学年高中数学北师大版必修4练习:习题课——平面向量数量积的综合应用
习题课——平面向量数量积的综合应用课后篇巩固探究1.已知a =(3,-2),b =(1,0),向量λa +b 与a -2b 垂直,则实数λ的值为( ).-B .C .-D .16161717λa +b 与a -2b 垂直,则(λa +b )·(a -2b )=0,又因为a =(3,-2),b =(1,0),故(3λ+1,-2λ)·(1,-2)=0,即4λ=0,解得λ=-.172.若△ABC 满足∠A=,AB=2,则下列三个式子:①,②,③中为定值的式子的个数为( )π2AB ·AC BA ·BC CA ·CB B .1C .2D .3因为=||||cos =0,AB ·AC AB AC π2所以为定值;AB ·AC 因为=||||cos B=||2=4,BA ·BC BA BC BA 所以为定值.BA ·BC 同理=||2,CA ·CB AC ||不是定值,故③不满足.故选C .ACABCD 中,AC 为一条对角线,若=(2,4),=(1,3),则=( )AB AC AD ·BD B .-6C .6D .8·()=()·(-2)=[(1,3)-(2,4)]·[(1,3)-2(2,4)]=(-1)×(-3)+(-1)×(-5)=8.·BD =BC AD ‒AB AC ‒AB AC AB 4.已知向量a ,b 满足|a |=1,|b |=2,a 与b 的夹角的余弦值为sin ,则b ·(2a -b )等于( )317π3B .-1C .-6D .-18|a |=2|b |≠0,且关于x 的方程x 2+|a |x+a ·b =0有实根,则a 与b 夹角的取值范围是( )A .B .[0,π6][π3,π]D .[π3,23π][π6,π]a ,b 的夹角为θ,由题意得Δ≥0,即|a |2≥4a ·b ,∴cos θ=,∴θ≥.a ·b|a ||b |≤|a |24|a ||b |=12π3θ∈[0,π],∴θ∈.[π3,π]6.已知△ABC 中,||=10,=-16,D 为BC 边的中点,则||等于( )B AB ·AC AD B .5C .4D .3D 为BC 边的中点,∴).AD =12(AB +AC ∴||=|.AD 12|AB +AC 又∵||=10,且,BC BC =AC ‒AB ∴||=10,即()2=100,AC ‒AB AC ‒AB 即||2+||2-2=100.AC AB AC ·AB ∵=-16,∴||2+||2=68,AC ·AB AC AB 故()2=68-32=36.AC +AB ∴||=6,即||=3.故选D .AB +AC ADa =(2,4),b =(1,-2),若c =a -(a ·b )b ,则|c |=.a ·b =2×1+4×(-2)=-6,∴c =a -(a ·b )b =a +6b =(2,4)+6(1,-2)=(8,-8),∴|c |==8.82+(-8)22828.已知向量a =(2,1),b =(-1,2),若a ,b 在向量c上的投影相等,且(c -a )·(c -b )=-,则向量c 的坐标为 .52c =(x ,y ),c 与a 的夹角为α,c 与b 的夹角为β.由已知有|a |cos α=|b |cos β,即,即(a -b )·c =0,即a ·c|c |=b ·c|c |0①,由已知(c -a )·(c -b )=-,即x 2+y 2-x-3y+=0②,①②联立得x=,x=,即c =.52521232(12,32)(12,32)如图,A 是半径为5的圆O 上的一个定点,单位向量在A 点处与圆O 相切,点P 是圆O 上的一个动AB 点,且点P 与点A 不重合,则的取值范围是 .AP ·AB如图所示,以AB 所在直线为x 轴,AO 所在的直线为y 轴,建立平面直角坐标系.设点P (x ,y ),B (1,0),(0,0),则=(1,0),=(x ,y ),所以=(x ,y )·(1,0)=x.因为点P 在圆x 2+(y-5)2=25上,所以-5≤x ≤5,AB AP AP ·AB ≤5.所以应填[-5,5].AP ·AB 答案[-5,5]导学号93774081已知向量=(3,-4),=(6,-3),=(5-m ,-(3+m )).OA OB OC (1)若点A ,B ,C 不能构成三角形,求实数m 应满足的条件;△ABC 为直角三角形,求实数m 的值.∵=(3,-4),=(6,-3),=(5-m ,-(3+m )),若点A ,B ,C 不能构成三角形,则这三点共线.∵=(3,1),OA OB OC AB (2-m ,1-m ),∴,即3(1-m )=2-m ,∴m=.AB ∥AC 12(2)若△ABC 为直角三角形,且①A 为直角,则,∴3(2-m )+(1-m )=0,解得m=.②B 为直角,AB ⊥AC 74=(-1-m ,-m ),则,BC AB ⊥BC ∴3(-1-m )+(-m )=0,解得m=-.③C 为直角,则,∴(2-m )(-1-m )+(1-m )(-m )=0,解得m=.34BC ⊥AC 1±52综上所述,m=或m=-或m=74341±5导学号93774082已知AD ,BE ,CF 是△ABC 的三条高,求证:△ABC 的三条高交于一点.,设BE ,CF 交于点H ,=b ,=c ,=h ,AB AC AH则=h -b ,=h -c ,=c -b .BH CH BC ∵,BH ⊥AC ,CH ⊥AB ∴{(ℎ-b )·c =0,(ℎ-c )·b =0,即{ℎ·c -b ·c =0,①ℎ·b -c·b =0,②由①-②,得h ·(c -b )=0,即=0,∴,∴AH 的延长线过点D ,从而AD ,BE ,CF 相交于一点H.AH ·BC AH ⊥BC 12.导学号93774083已知=(2,1),=(1,7),=(5,1),设C 是直线OP 上的一点(其中OP OA OB O 为坐标原点).(1)求使取到最小值时的;CA ·CB OC (1)中求出的点C ,求cos ∠ACB.因为点C 是直线OP 上的一点,所以向量共线.设=t ,OC 与OP OC OP 则=t (2,1)=(2t ,t ),OC =(1-2t ,7-t ),CA =OA ‒OC =(5-2t ,1-t ),CB =OB ‒OC =(1-2t )(5-2t )+(7-t )(1-t )=5t 2-20t+12=5(t-2)2-8,CA ·CB 当t=2时,取得最小值,此时=(4,2).CA ·CB OC (2)当t=2时,=(-3,5),=(1,-.CA CB 所以||=,||==-3-5=-8.CA 34CB 2,CA ·CBcos ∠ACB==-.CA CB |CA ||CB |-834×241717。
(常考题)北师大版高中数学必修四第二章《平面向量》测试(答案解析)
一、选择题1.已知ABC 中,2AB AC ==,120CAB ∠=,若P 是其内一点,则AP AB ⋅的取值范围是( ) A .(4,2)--B .(2,0)-C .(2,4)-D .(0,2)2.若向量a ,b 满足|a |=10 ,b =(﹣2,1),a •b =5,则a 与b 的夹角为( )A .90°B .60°C .45°D .30°3.ABC 中,AD DC =,点M 在BD 上,且满足37AM AB t AC =+,则实数t 的值为( ) A .67B .47C .27D .594.已知非零向量,OA a OB b == ,且BC OA ⊥,C 为垂足,若(0)OC a λλ=≠,则λ等于( )A .a b a b⋅ B .2a b a⋅ C .2a b b⋅ D .a b a b⋅5.已知20a b =≠,且关于x 的方程20x a x a b ++⋅=有实根,则a 与b 的夹角的取值范围是( )A .06,π⎡⎤⎢⎥⎣⎦B .,3ππ⎡⎤⎢⎥⎣⎦C .2,33ππ⎡⎤⎢⎥⎣⎦D .,6ππ⎡⎤⎢⎥⎣⎦6.在空间直角坐标系中,(3,3,0)A ,(0,0,1)B ,点(,1,)P a c 在直线AB 上,则 ( )A .11,3a c ==B .21,3a c ==C .12,3a c ==D .22,3a c ==7.如图,正方形ABCD 的边长为6,点E ,F 分别在边AD ,BC 上,且2DE AE =,2CF BF =.若有(7,16)λ∈,则在正方形的四条边上,使得PE PF λ=成立的点P 有( )个.A .2B .4C .6D .08.如图,在平面直角坐标系xOy 中,原点O 为正八边形12345678PP P P P P P P 的中心,18PP x ⊥轴,若坐标轴上的点M (异于点O )满足0i j OM OP OP ++=(其中1,8i j ≤≤,且i 、j N *∈),则满足以上条件的点M 的个数为( )A .2B .4C .6D .89.设θ为两个非零向量,a b 的夹角,且6πθ=,已知对任意实数t ,b ta +的最小值为1,则b =( ) A .14B .12C .2D .410.在边长为2的正方形ABCD 中,E ,F 分别为BC 和DC 的中点,则AE AF ⋅=( )A .52B .52-C .4D .4-11.已知ABC ∆为等边三角形,则cos ,AB BC =( ) A .3 B .12-C .12D 312.ABC 是边长为23的正三角形,O 是ABC 的中心,则()()OA OB OA OC +⋅+=( )A .2B .﹣2C .634-D .634-二、填空题13.已知平面向量a ,b 夹角为30,若2=a ,则12b a b +-的最小值为______. 14.向量,a b 满足(1,3),2,()(3)12a b a b a b ==+⋅-=,则a 在b 方向上的投影为__________.15.已知平面向量a ,b ,c 满足45a b ⋅=,4a b -=,1c a -=,则c 的取值范围为________.16.在平面内,定点,,A B C 满足DA DB DC ==,2DA DB DB DC DC DA ⋅=⋅=⋅=-,动点,P M 满足1AP PM MC ==,则2BM 的最大值为________.17.在梯形ABCD 中,//AB CD ,1CD =,2AB BC ==,120BCD ∠=︒,动点P 和Q 分别在线段BC 和CD 上,且BP BC λ=,14DQ DC λ=,则AP BQ ⋅的最大值为______.18.如图,在△ABC 中,13AN NC =,P 是BN 上的一点,若AP =m 211AB AC +,则实数m 的值为_____.19.已知点()0,1A ,()3,2B,向量()4,3AC =,则向量BC =______.20.已知(2,3),(4,7)a b ==-,则向量b 在a 方向上的投影为_________.三、解答题21.在直角坐标系xoy 中,单位圆O 的圆周上两动点A B 、满足60AOB ∠=︒(如图),C 坐标为()1,0,记COA α∠=(1)求点A 与点B 纵坐标差A B y y -的取值范围; (2)求AO CB ⋅的取值范围; 22.已知向量()sin ,cos a x x =,()3,1b =-,[]0,x π∈.(1)若a b ⊥,求x 的值;(2)记()f x a b =⋅,求()f x 的最大值和最小值以及对应的x 的值. 23.ABC 中,点()2,1A 、()1,3B 、()5,5C . (1)若D 为BC 中点,求直线AD 所在直线方程; (2)若D 在线段BC 上,且2ABDACDSS=,求AD .24.(1)已知平面向量a 、b 的夹角为3π,且1a =,2b =,求2a b +与b 的夹角; (2)已知平面向量()1,2a =,()2,1b =-,()1,c λ=,若()a b c +⊥,求λ的值. 25.已知向量a 、b 的夹角为3π,且||1a =,||3b =. (1)求||a b +的值; (2)求a 与a b +的夹角的余弦.26.在ABC 中,D 是线段AB 上靠近B 的一个三等分点,E 是线段AC 上靠近A 的一个四等分点,4DF FE =,设AB m =,BC n =. (1)用m ,n 表示AF ;(2)设G 是线段BC 上一点,且使//EG AF ,求CG CB的值.【参考答案】***试卷处理标记,请不要删除一、选择题 1.C 解析:C 【分析】以A 为坐标原点,以过点A 垂直于BC 的直线为y 轴,建立平面直角坐标系,求出()1B -,)1C-,设(),P x y ,因为点P 是其内一点,所以x 10y -<<,计算3AP AB y ⋅=--得最值,即可求解.【详解】建立如图所示的空间直角坐标系:则()0,0A ,因为120CAB ∠=,所以30ABC ACB ∠=∠=, 可得2cos303= ,2sin301,所以()3,1B -- ,()3,1C-,设(),P x y ,因为点P 是其内一点,所以33,10x y <<-<<,()(),3,13AP AB x y x y ⋅=⋅--=--,当3x =1y =-时AP AB ⋅最大为((()3314-⨯--=, 当3,1x y ==-时AP AB ⋅最小为(()3312--=-,所以AP AB ⋅的取值范围是(2,4)-, 故选:C 【点睛】关键点点睛:本题解题的关键点是建立直角坐标系,将数量积利用坐标表示,根据点(),P x y 是其内一点,可求出,x y 的范围,可求最值. 2.C解析:C 【详解】由题意可得22(2)15b =-+=所以2cos ,252a b a b a b ⋅===⋅,又因为,[0,180]<>∈a b ,所以,45<>=a b ,选C.3.C解析:C 【分析】由题意,可设DM k DB =,结合条件整理可得11(1)22AM AC DM k AC k AB =+=-+,得到关于k 与t 的方程组,解出t 即可. 【详解】 如图,因为AD DC =,所以12AD AC =则12AM AD DM AC DM =+=+,因为M在BD上,不妨设1()()2DM k DB k AB AD k AB AC==-=-,则1111()(1)2222AM AC DM AC k AB AC k AC k AB=+=+-=-+,因为37AM AB t AC=+,所以37{1(1)2kk t=-=,解得27t=,故选:C【点睛】本题主要考查了平面向量的线性运算的应用及平面向量基本定理的应用,意在考查学生对这些知识的理解掌握水平.4.B解析:B【解析】试题分析:BC OA⊥,即()200BC OC OC OB OC OC OB OC⊥⇒-⋅=⇒-⋅=,即220a a bλλ-⋅=,20,a baλλ⋅≠∴=.考点:平面向量的数量积的应用.5.B解析:B【分析】根据方程有实根得到24cos0a a bθ∆=-≥,利用向量模长关系可求得1cos2θ≤,根据向量夹角所处的范围可求得结果.【详解】关于x的方程20x a x a b++⋅=有实根240a a b∴∆=-⋅≥设a与b的夹角为θ,则24cos0a a bθ-≥又20a b =≠ 24cos 0b b θ∴-≥ 1cos 2θ∴≤ 又[]0,θπ∈ ,3πθπ⎡⎤∴∈⎢⎥⎣⎦本题正确选项:B 【点睛】本题考查向量夹角的求解问题,关键是能够利用方程有实根得到关于夹角余弦值的取值范围,从而根据向量夹角范围得到结果.6.B解析:B 【解析】∵点P (a ,1,c )在直线AB 上, ∴存在实数λ使得AB BP λ=, ∴()()()0,0,13,3,0,1,1a c λ-=- , 化为()3,3,1(,,)a c λλλλ--=- ,∴3{31ac λλλλ-=-==- ,解得3{123a c λ=-==.本题选择B 选项.7.B解析:B 【分析】建立坐标系,逐段分析·PE PF 的取值范围及对应的解. 【详解】以DC 为x 轴,以DA 为y 轴建立平面直角坐标系,如图,则()()0,4,6,4E F ,(1)若P 在CD 上,设(,0),06P x x ≤≤,(,4),(6,4)PE x PF x ∴=-=-,2616PE PF x x ∴⋅=-+, [0,6],716x PE PF ∈∴≤⋅≤, ∴当=7λ时有一解,当716λ<≤时有两解;(2)若P 在AD 上,设(0,),06P y y <≤,(0,4),(6,4)PE y PF y ∴=-=-,22(4)816PE PF y y y ∴⋅=-=-+, 06,016y PE PF <≤∴⋅<,∴当=0λ或4<<16λ时有一解,当716λ<≤时有两解; (3)若P 在AB 上,设(,6),06P x x <≤,(,2),(6,2)PE x PF x =--=--,264PE PF x x ∴⋅=-+, 06,54x PE PF <≤∴-≤⋅≤,∴当5λ=-或4λ=时有一解,当54λ-<<时有两解;(4)若P 在BC 上,设(6,),06P y y <<,(6,4),(0,4)PE y PF y ∴=--=-,22(4)816PE PF y y y ∴⋅=-=-+,06y <<,016PE PF ∴⋅<,∴当0λ=或416λ≤<时有一解,当04λ<<时有两解,综上可知当(7,16)λ∈时,有且只有4个不同的点P 使得PE PF λ⋅=成立. 故选:B. 【点睛】本题主要考查平面向量数量积的运算,二次函数的根的个数判断,属于中档题.8.D解析:D 【分析】分点M 在x 、y 轴进行分类讨论,可得出点i P 、j P 关于坐标轴对称,由此可得出点M 的个数. 【详解】分以下两种情况讨论:①若点M 在x 轴上,则i P 、()1,8,,j P i j i j N*≤≤∈关于x 轴对称,由图可知,1P 与8P 、2P 与7P 、3P 与6P 、4P 与5P 关于x 轴对称,此时,符合条件的点M 有4个;②若点M 在y 轴上,则i P 、()1,8,,j P i j i j N*≤≤∈关于y 轴对称,由图可知,1P 与4P 、2P 与3P 、5P 与8P 、6P 与7P 关于y 轴对称,此时,符合条件的点M 有4个.综上所述,满足题中条件的点M 的个数为8. 故选:D. 【点睛】本题考查符合条件的点的个数的求解,考查了平面向量加法法则的应用,属于中等题.9.C解析:C 【分析】由题意可知,2222()2b ta a t a bt b +=+⋅+,令222()2g t a t a bt b =+⋅+,由二次函数的性质可知,当22cos62b a b t aaπ⋅=-=-时,()g t 取得最小值1,变形可得22sin16b π=,从而可求出b 【详解】解:由题意可知,2222()2b ta a t a bt b +=+⋅+,令222()2g t a t a bt b =+⋅+, 因为2222224()44(cos 1)06a b a b a b π∆=⋅-=-<,所以()g t 恒大于零, 所以当232cos622b b a b t aaaπ⋅=-=-=-时,()g t 取得最小值1,所以2223332122b b bg a a b b a a a ⎛⎫⎛⎫⎛⎫ ⎪ ⎪ ⎪=-+⋅-+= ⎪ ⎪ ⎪⎝⎭⎝⎭⎝⎭, 化简得2114b =,所以2b =, 故选:C 【点睛】此题考查平面向量数量积的运算,涉及二次函数的最值,考查转化思想和计算能力,属于中档题10.C解析:C 【分析】建立直角坐标系,利用向量的坐标运算求解即可. 【详解】以点A 为坐标原点,建立如下图所示的直角坐标系(0,0),(2,1),(1,2)A E F(2,1),(1,2)AE AF ∴==21124AE AF ∴⋅=⨯+⨯= 故选:C【点睛】本题主要考查了求平面向量的数量积,属于中档题.11.B解析:B 【分析】判断,AB BC 两向量夹角容易出错,是23π,而不是3π 【详解】由图发现,AB BC 的夹角不是B 而是其补角23π,21cos ,cos32AB BC π<>==- 【点睛】本题考查的是两向量夹角的定义,属于易错题,该类型题建议学生多画画图.12.B解析:B 【分析】根据ABC 是边长为23的正三角形,O 是ABC 的中心,得到2,,,,120OA OB OC OA OB OA OC OB OC ======︒,然后利用平面向量的数量积运算求解. 【详解】因为ABC 是边长为23的正三角形,O 是ABC 的中心, 所以2,,,,120OA OB OC OA OB OA OC OB OC ======︒,所以()()()24322OA OB OA OC OA OA OB OA OC OB OC +⋅+=+⋅+⋅+⋅=+⨯-=- 故选:B . 【点睛】本题主要考查平面向量的数量积运算以及三角形的知识,还考查了运算求解的能力,属于中档题.二、填空题13.【分析】首先设则结合向量夹角为利用对称关系求得其最小值也可以建系利用向量的坐标去求解【详解】解析1:(对称)设则过作于点由于向量夹角为则故所以最小值为到的距离为即的最小值为故答案为:解法2:(建系) 解析:3【分析】首先设a OA =,b OB =,则a b BA -=,结合向量a ,b 夹角为30,利用对称关系,求得其最小值,也可以建系,利用向量的坐标去求解. 【详解】 解析1:(对称)设a OA =,b OB =,则a b BA -=,过B 作BH OA ⊥于点H . 由于向量a ,b 夹角为30,则12BH OB =,故12b a b BH AB BH A B '+-=+=+, 所以最小值为A '到OA 的距离为3,即12b a b +-的最小值为3.解法2:(建系) 设()2,0a=,则3,3b m ⎛⎫= ⎪⎝⎭,不妨设0m >,则13233m b a bm +-=+=+ 令()3f x =+ 则()42x f x -'=+()0f x '=,解得1x =,即当1x =时,()min f x = 所以12b a b +-的最小值为 【点睛】该题考查的是有关向量的问题,涉及到的知识点有向量模的和的最小值的求解,在解题的过程中,可以利用图形,从对称角度去分析,也可以建系,将其坐标化求解,属于中档题目.14.【解析】分析:先通过已知条件求出的值再求在方向上的投影详解:因为所以所以在方向上的投影为故答案为1点睛:(1)本题主要考查向量的运算和数量积考查向量的投影意在考查学生对这些基础知识的掌握水平和基本运解析:【解析】分析:先通过已知条件求出cos α的值,再求a 在b 方向上的投影. 详解:因为()()312a b a b +⋅-=,所以2213212,124222cos 12,cos 2a b a b αα-+⋅=∴-+⨯⨯⨯=∴=. 所以a 在b 方向上的投影为1cos 2()12a α=⨯=,故答案为 1.点睛:(1)本题主要考查向量的运算和数量积,考查向量的投影,意在考查学生对这些基础知识的掌握水平和基本运算能力.(2) cos a θ叫做向量a 在b 上的“投影”, 向量a 在向量b 上的投影cos a θ,它表示向量a 在向量b 上的投影对应的有向线段的数量.它是一个实数,可以是正数,可以是负数,也可以是零.15.【分析】结合已知条件画出图象由的几何意义求得的取值范围【详解】如图所示设设是线段的中点依题意可知由于所以即解得所以即所以根据向量模的几何意义可知点在以为圆心为半径的圆上所以所以即的取值范围为故答案为 解析:[]4,10【分析】结合已知条件画出图象,由c 的几何意义求得c 的取值范围. 【详解】如图所示,设,,OA a OB b OC c ===,设D 是线段AB 的中点.依题意可知4,1,2AB AC AD BD ====, 由于45a b ⋅=所以45OA OB ⋅=,即()()()()222224544OA OB OA OB OD BA +---==222441644OD BAOD --==,解得7OD =.所以59OD AD OA OD AD =-≤≤+=, 即59OA ≤≤,所以418,6110OA OA ≤-≤≤+≤根据向量模的几何意义可知,点C 在以A 为圆心,1为半径的圆上, 所以()()minmax11OA OC OA -≤≤+,所以410OC ≤≤,即c 的取值范围为[]4,10. 故答案为:[]4,10【点睛】本小题主要考查向量数量积的运算,考查向量模的几何意义,属于中档题.16.【分析】由可得为的外心又可得为的垂心则为的中心即为正三角形运用向量的数量积定义可得的边长以为坐标原点所在直线为轴建立直角坐标系求得的坐标再设由中点坐标公式可得的坐标运用两点的距离公式可得的长运用三角 解析:494【分析】由DA DB DC ==,可得D 为ABC ∆的外心,又DA DB DB DC DC DA ⋅=⋅=⋅,可得D 为ABC ∆的垂心,则D 为ABC ∆的中心,即ABC ∆为正三角形.运用向量的数量积定义可得ABC ∆的边长,以A 为坐标原点,AD 所在直线为x 轴建立直角坐标系xOy ,求得,B C 的坐标,再设(cos ,sin ),(02)P θθθπ≤<,由中点坐标公式可得M 的坐标,运用两点的距离公式可得BM 的长,运用三角函数的恒等变换公式,结合正弦函数的值域,即可得到最大值. 【详解】解: 由DA DB DC ==,可得D 为ABC ∆的外心, 又DA DB DB DC DC DA ⋅=⋅=⋅,可得()0,(DB DA DC DC DB ⋅-=⋅ )0DA -=,即0DB AC DC AB ⋅=⋅=, 即有,DB AC DC AB ⊥⊥,可得D 为ABC ∆的垂心, 则D 为ABC ∆的中心,即ABC ∆为正三角形, 由2DA DB ⋅=-,即有||||cos1202DA DB ︒⋅=-, 解得||2DA =,ABC∆的边长为4cos30︒=以A 为坐标原点,AD 所在直线为x 轴建立直角坐标系xOy , 可得B(3,3),C(3,D(2,0)-, 由||1AP=,可设(cos ,sin ),(02)P θθθπ≤<,由PM MC =,可得M为PC中点,即有3cos sin (,)22M θθ+, 则2223cos ||3=+2BM θ+⎛⎫- ⎪⎝⎭⎝ 2(3cos )4θ-=+=3712sin 64πθ⎛⎫+- ⎪⎝⎭=, 当sin 16πθ⎛⎫-= ⎪⎝⎭,即23πθ=时,取得最大值,且为494.故答案为:494.【点睛】本题考查向量的定义和性质,以及模的最值的求法,注意运用坐标法,转化为三角函数的最值的求法,考查化简整理的运算能力,属于中档题.17.【分析】由题可知据平面向量的混合运算法则可化简得到;设函数由对勾函数的性质推出在上的单调性求出最大值即可得解【详解】根据题意作出如下所示图形:∵∴又P和Q分别在线段和上∴解得设函数由对勾函数的性质可解析:54【分析】由题可知114CQ DCλ⎛⎫=-⎪⎝⎭,1,14λ⎡⎤∈⎢⎥⎣⎦,据平面向量的混合运算法则可化简得到117524AP BQλλ⋅=+-;设函数()117524fλλλ=+-,1,14λ⎡⎤∈⎢⎥⎣⎦,由对勾函数的性质推出()fλ在1,14λ⎡⎤∈⎢⎥⎣⎦上的单调性,求出最大值即可得解.【详解】根据题意,作出如下所示图形:∵BP BCλ=,14DQ DCλ=,∴114CQ DQ DC DCλ⎛⎫=-=-⎪⎝⎭,又P和Q分别在线段BC和CD上,∴011014λλ≤≤⎧⎪⎨≤≤⎪⎩,解得1,14λ⎡⎤∈⎢⎥⎣⎦.()()()114AP BQ AB BP BC CQ AB BC BC DCλλ⎡⎤⎛⎫⋅=+⋅+=+⋅+-⎪⎢⎥⎝⎭⎣⎦2111144AB BC AB DC BC BC DCλλλλ⎛⎫⎛⎫=⋅+-⋅++-⋅⎪ ⎪⎝⎭⎝⎭11117 22cos120121cos04121cos12054424λλλλλλ⎛⎫⎛⎫=⨯⨯︒+-⨯⨯⨯︒+⨯+-⨯⨯⨯︒=+- ⎪ ⎪⎝⎭⎝⎭.设函数()117524fλλλ=+-,1,14λ⎡⎤∈⎢⎥⎣⎦,由对勾函数的性质可知,()f λ在1,410⎡⎢⎣⎭上单调递减,在,110⎛⎤⎥ ⎝⎦上单调递增, ∵114f ⎛⎫=- ⎪⎝⎭,()514f =,∴()()max 514ff λ==,即AP BQ ⋅的最大值为54.故答案为:54. 【点睛】本题考查平面向量的应用,考查数量积的定义,考查函数的单调性与最值,属于中档题.18.【解析】由得设=n 所以+n=+n()=(1-n)=m 由n=得m=1-n= 解析:311【解析】 由13AN NC =,得14AN AC =. 设BP =n BN ,所以AP AB BP AB =+=+n BN =AB +n (AN AB -)=(1-n )14AB nAC +=m 211AB AC +. 由14n=211,得m=1-n=311. 19.【分析】根据向量的坐标运算即可求出【详解】因为所以故答案为:【点睛】本题考查了向量的坐标运算向量模的坐标公式属于基础题目【分析】根据向量的坐标运算即可求出. 【详解】 因为()0,1A ,()3,2B,所以()3,1AB =,()()()4,33,11,2BC AC AB =-=-=,21BC ==【点睛】本题考查了向量的坐标运算,向量模的坐标公式,属于基础题目.20.【分析】根据向量的数量积的坐标运算求得结合向量的投影的概念即可求解【详解】由向量可得所以向量在方向上的投影数列为故答案为:【点睛】本题主要考查了向量的数量积的坐标运算以及向量的投影的概念其中解答中熟【分析】根据向量的数量积的坐标运算,求得13,13a b a ⋅==,结合向量的投影的概念,即可求解. 【详解】由向量(2,3),(4,7)a b ==-,可得222(4)3713,23a b a ⋅=⨯-+⨯==+=,所以向量b 在a 方向上的投影数列为cos ,13a b b a b a⋅===【点睛】本题主要考查了向量的数量积的坐标运算,以及向量的投影的概念,其中解答中熟记向量的投影的概念,以及向量的数量积的坐标运算公式是解答的关键,着重考查运算与求解能力.三、解答题21.(1)[ 1.1]A B y y -∈-;(2)31,22⎡⎤-⎢⎥⎣⎦. 【分析】(1)根据三角函数的定义写出点A 与点B 纵坐标,从而将A B y y -表示成关于α的三角函数;(2)写出向量数量积的坐标运算,即AO CB OA BC ⋅=⋅,再利用三角函数的有界性,即可得答案; 【详解】由题意得:()sin ,sin60A B y y αα︒==-,∴A By y -()1sin sin 60sin sin cos 2ααααα︒⎛=--=-⋅- ⎝⎭1sin sin 223πααα⎛⎫=+=+ ⎪⎝⎭02απ<,∴1sin 13πα⎛⎫-≤+≤ ⎪⎝⎭, ∴[ 1.1]A B y y -∈-.(2)()()() (cos ,sin )1cos 60,sin 60AO CB OA BC αααα︒︒⋅=⋅=⋅----()()cos cos cos 60sin sin 60ααααα︒︒=-⋅--⋅-()221cos sin cos cos cos 2ααααααα=-+-⋅⋅ 1cos 2α=-,02απ≤<,3111cos 1cos 222αα∴-≤≤⇒-≤-≤,∴31,22AO CB ⎡⎤⋅∈-⎢⎥⎣⎦.【点睛】根据三角函数的定义及三角恒等变换、三角函数的有界性是求解本题的关键. 22.(1)6x π=;(2)23x π=时,()f x 取到最大值2,0x =时,()f x 取到最小值1-.【分析】(1)利用向量垂直的坐标表示可求得tan 3x =,结合x 的范围可求得x 的值; (2)将函数化简为()2sin 6f x x π⎛⎫=-⎪⎝⎭,根据x 的范围可求得6x π-的范围,结合正弦函数图象可确定最大值和最小值取得的点,进而求得结果. 【详解】解:(1)因为a b ⊥,所以sin co 30s b x x a =-=⋅,于是sin tan s 3co x x x ==, 又[]0,x π∈,所以6x π=;(2)()())sin ,1cos f x a x b x =⋅=⋅-cos x x =-2sin 6x π⎛⎫=- ⎪⎝⎭.因为[]0,x π∈,所以5,666x πππ⎡⎤-∈-⎢⎥⎣⎦, 从而12sin 26x π⎛⎫-≤-≤ ⎪⎝⎭于是,当62x ππ-=,即23x π=时,()f x 取到最大值2; 当66x ππ-=-,即0x =时,()f x 取到最小值1-.【点睛】本题考查平面向量垂直的坐标表示、平面向量与三角函数的综合应用,涉及到三角函数最值的求解问题;求解三角函数最值的关键是能够利用整体对应的方式,结合正弦函数的图象来进行求解.23.(1)35y x =-;(2)55AD = 【分析】(1)求出线段BC 中点D 的坐标,利用斜率公式求得直线AD 的斜率,然后利用点斜式可得出直线AD 所在直线的方程; (2)由2ABDACDSS=可得2BD DC =,可得23AD AB BC =+,可计算出平面向量AD 的坐标,进而可求得AD 的值.【详解】 (1)D 为BC 中点,()3,4D ∴,直线AD 的斜率14323k -==-, 所以直线AD 所在的直线方程为:()433y x -=-,即AD 直线方程为35y x =-; (2)因为2ABDACD SS=,所以2BD DC =,则23BD BC =, 又由()()225101,24,2,3333A B D D A AB B B C =+⎪⎛⎫==-+=+⎝⎭,所以5 333AD ⎛==⎭⎝⎭. 【点睛】本题考查直线方程的求解,同时也考查了利用三角形面积的倍数关系求向量的模,考查计算能力,属于中等题. 24.(1)6π;(2)3λ=-. 【分析】(1)设2a b +与b 的夹角为θ,计算出()2a b b +⋅的值和2a b +的值,利用平面向量的数量积的运算求得cos θ,结合θ的取值范围可求得θ的值;(2)求得平面向量a b +的坐标,由()0a b c +⋅=,结合平面向量数量积的坐标运算可求得实数λ的值. 【详解】(1)设2a b +与b 的夹角为θ,由于1a =,2b =,且平面向量a 、b 的夹角为3π, ()22222cos63a b b a b b a b b π∴+⋅=⋅+=⋅+=,()22222224444cos233a b a b a a b b a a b b π+=+=+⋅+=+⋅+=,所以,()2cos 232a b b a b bθ+⋅===⨯+⋅,0θπ≤≤,因此,6πθ=;(2)平面向量()1,2a =,()2,1b =-,()1,cλ=,()3,1a b ∴+=,()a b c +⊥,()30a b c λ∴+⋅=+=,解得3λ=-.【点睛】本题考查利用平面向量的数量积计算向量的夹角,同时也考查可利用向量垂直的坐标表示求参数,考查计算能力,属于中等题. 25.(12 【分析】(1)利用定义得出a b ⋅,再结合模长公式求解即可;(2)先得出()a a b ⋅+,再由数量积公式得出a 与a b +的夹角的余弦. 【详解】 (1)313cos32a b π⋅=⨯⨯=2223()||2||122a b a b a a b b ∴+=+=+⋅+=+⨯=(2)235()||122a ab a a b ⋅+=+⋅=+= 5()2cos ,26113a ab a a b a a b⋅+∴+===⨯⋅+ 【点睛】本题主要考查了利用定义求模长以及求夹角,属于中档题.26.(1)1135AF m n =+(2)310CG CB = 【分析】(1)依题意可得23AD AB =、14AE AC =,再根据DE AE AD =-,AF AD DF =+计算可得;(2)设存在实数λ,使得(01)CG CB λλ=<<,由因为//EG AF ,所以存在实数μ, 使AF EG μ=,再根据向量相等的充要条件得到方程组,解得即可;【详解】解:(1)因为D 是线段AB 上靠近B 的一个三等分点,所以23AD AB =. 因为E 是线段AC 上靠近A 的一个四等分点,所以14AE AC =, 所以1243DE AE AD AC AB =-=-. 因为4DF FE =,所以4185515DF DE AC AB ==-, 则2183515AF AD DF AB AC AB =+=+- 2111()15535AB AB BC AB BC =++=+. 又AB m =,BC n =. 所以11113535AF AB BC m n =+=+. (2)因为G 是线段BC 上一点,所以存在实数λ,使得(01)CG CB λλ=<<,则33()44EG EC CG AC CB AB BC BC λλ=+=+=+- 3333()()4444AB BC m n λλ=+-=+- 因为//EG AF ,所以存在实数μ, 使AF EG μ=,即1133[()]3544m n m n μλ+=+-, 整理得31,4331(),45μμλ⎧=⎪⎪⎨⎪-=⎪⎩解得310λ=,故310 CGCB.【点睛】本题考查平面向量的线性运算及平面向量共线定理的应用,属于中档题.。
- 1、下载文档前请自行甄别文档内容的完整性,平台不提供额外的编辑、内容补充、找答案等附加服务。
- 2、"仅部分预览"的文档,不可在线预览部分如存在完整性等问题,可反馈申请退款(可完整预览的文档不适用该条件!)。
- 3、如文档侵犯您的权益,请联系客服反馈,我们会尽快为您处理(人工客服工作时间:9:00-18:30)。
平面向量的应用一、选择题(每小题5分,共30分)1.(预测题)已知向量a=(1-cosθ,1),b=(12,1+sinθ),且a∥b,则锐角θ等于( )(A)30°(B)45°(C)60°(D)75°2.已知三个力f1=(-2,-1),f2=(-3,2),f3=(4,-3)同时作用于某物体上一点,为使物体保持平衡,再加上一个力f4,则f4=( ) (A)(-1,-2) (B)(1,-2)(C)(-1,2) (D)(1,2)3.(2012•武威模拟)在△ABC中,若2AB BC AB=0,则△ABC的形状是( )(A)C为钝角的钝角三角形(B)B为直角的直角三角形(C)锐角三角形(D)A为直角的直角三角形4.(易错题)圆C:x2+y2=1,直线l:y=kx+2,直线l与圆C交于A、B,若|OA+OB|<|OA-OB|(其中O为坐标原点),则k的取值范围是( )(A)(0,7) (B)(-7,7)(C)(7,+∞) (D)(-∞,-7)∪(7,+∞)5.(2012·大连模拟)a,b为非零向量,“函数f(x)=(ax+b)2为偶函数”是“a⊥b”的( )(A)充分不必要条件 (B)必要不充分条件 (C)充要条件 (D)既不充分也不必要条件6.a =(m,1),b =(1-n,1)(其中m 、n 为正数),若a ∥b ,则1m +2n 的最小值是( )(A)2 2 (B)3 2 (C)22+3 (D)32+2 二、填空题(每小题5分,共15分)7.已知A 、B 、C 是圆x 2+y 2=1上的三点,且OA OB OC +=,其中O 为坐标原点,则□OACB 的面积等于_________8.设F 为抛物线y 2=4x 的焦点,A 、B 、C 为该抛物线上三点,若FA FB FC ++=,0则FA FB FC ++=__________.9. (2012•娄底模拟)点O 在△ABC 内部且满足OA 2OB 2OC ++=0,则△ABC 的面积与凹四边形ABOC 的面积之比为________. 三、解答题(第10题12分,第11题13分,共25分10.(2012·铜川模拟)已知以角B 为钝角的△ABC 的内角A 、B 、C 的对边分别为a 、b 、c ,m =(a,2b),n =(3,-sinA),且m ⊥n. (1)求角B 的大小;(2)求sinA -3cosC 的取值范围.11. (2012•济南模拟)已知A 、B 分别是直线y=x 3和y=-x 3上的两个动点,线段AB 的长为P 是AB 的中点.(1)求动点P 的轨迹C 的方程;(2)过点Q(1,0)任意作直线l(与x轴不垂直),设l与(1)中轨迹C交于M、N两点,与y轴交于R点.若RM MQ,RN NQ=λ=μ,证明:λ+μ为定值.【选做•探究题】抛物线y=-12x2上有两点A(x1,-12x12),B(x2,-12x22),且OA⊥OB(O为坐标原点),OM=(0,-2).(1)求证:AM∥AB;(2)若MA=-2MB,求△ABO的面积.答案解析1.【解析】选B.方法一:∵a∥b,a=(1-cosθ,1),b=(12,1+sinθ),∴(1-cosθ)(1+sinθ)=1 2,即1+sinθ-cosθ-sinθcosθ=1 2,∴sinθ-cosθ-sinθcosθ=-1 2,∴sinθ-cosθ=sinθcosθ-1 2,∴1-2sinθcosθ=sin2θcos2θ-sinθcosθ+1 4,即sin2θcos2θ+sinθcosθ-34=0,∴(sinθcosθ-12)(sinθcosθ+32)=0,又∵θ为锐角,∴sinθcosθ=12,即sin2θ=1,∴θ=45°方法二:∵a∥b,a=(1-cosθ,1),b=(12,1+sinθ)∴(1-cosθ)(1+sinθ)=1 2 .将各选项中的值代入验证可知,θ=45°.2.【解题指南】物体平衡,则所受合力为0.【解析】选D.由物理知识知:f1+f2+f3+f4=0,故f4=-(f1+f2+f3)=(1,2).3.【解析】选D.∵AB·BC+2AB=0∴()AB BC AB AB AC+==0即A=2π,故选D.4.【解题指南】利用|OA+OB|<|OA-OB|⇔(OA+OB)2<(OA-OB)2进行转化.【解析】选D.由|OA+OB|<|OA-OB|两边平方化简得OA·OB<0,∴∠AOB是钝角,所以O(0,0)到kx-y+2=0的距离小于2 2,∴2k2+1<22,∴k<-7或k>7,故选D.5.【解析】选C.∵f(x)=a2x2+2a·bx+b2,∵a、b为非零向量,若f(x)为偶函数,则f(-x)=f(x)恒成立,∴a2x2-2a·bx+b2=a2x2+2a·bx+b2,∴4a·bx=0,又x∈R,∴a·b=0,∴a⊥b;若a⊥b,∴a·b=0,∴f(x)=a2x2+b2,∴f(x)为偶函数.综上,选C.6.【解析】选C.∵a∥b,∴m-(1-n)=0,即m+n=1,又∵m,n>0,∴1m+2n=(1m+2n)(m+n)=nm+2mn+3≥22+3当且仅当nm=2mn即n=2m时取等号,∴1m+2n的最小值为22+3.7.【解析】如图所示,由OA OB OC===1知,□OACB是边长为1的菱形,且∠AOB=120°,∴其面积为S=OA OB sin120°=1×1=答案:8. 【解析】已知F为抛物线y2=4x的焦点,A、B、C为该抛物线上三点,若FA FB FC++=0,则F为△ABC的重心,∴A、B、C三点的横坐标的和为F点横坐标的3倍,即等于3,设A,B,C三点的坐标分别为(x A,y A),(x B,y B),(x C,y C),有FA FB FC++=(x A+1)+(x B+1)+(x C+1)=6.答案:6【方法技巧】向量与解析几何综合题的解答技巧平面向量与解析几何相结合主要从以下两个方面进行考查:一是考查向量,需要把用向量语言描述的题目条件转化成几何条件,涉及向量的线性运算,共线、垂直的条件应用等;二是利用向量解决几何问题,涉及判断直线的位置关系,求角的大小及线段长度等.9.【解析】作图如下作向量OD2OB,OF2OC,==以OD OF、为邻边作平行四边形ODEF,根据平行四边形法则可知:+=,OD OF OE即2OC2OB OE,+=由已知2OC2OB OA,+=-所以OE OA,=-所以O、A、E共线.且BC是△ODF中位线,则OE=2OG=4OH.OA,即AH∶OH=5∶1,则OH=14∴S△OBC=1S△ABC,5则S△ABC∶S凹四边形ABOC=5∶(5-1)=5∶4.答案:5∶410.【解析】(1)∵m⊥n,∴m·n=0,得3a-2bsinA=0.由正弦定理,得a=2RsinA,b=2RsinB,代入得3sinA-2sinBsinA=0,∵sinA≠0,∴sinB=3,又∵B为钝角,∴B=2π3 .(2)∵sinA-3cosC=-sin(C+π3 ),由(1)知C∈(0,π3),C+π3∈(π3,2π3),∴sin(C+π3)∈(32,1],故sinA-3cosC的取值范围是[-1,-3 2 ).【方法技巧】解答向量与三角函数相结合问题的一般步骤:(1)利用向量的各种运算法则,常见的有a∥b,a⊥b等,去掉向量这层“外衣”,得到一个表达式.(2)根据表达式的特点,进行有效地转化、变形、化简.(3)若研究三角函数的性质,需变成“三个一”的结构形式(即一个角、一次幂、一个名的形式);若研究三角形的边角关系,则需借助正、余弦定理进行求解.【变式备选】在△ABC 中,a ,b ,c 分别是角A ,B ,C 的对边,向量m =(2sinB,2-cos2B),n =(2sin 2(π4+B2),-1),且m ⊥n.(1)求角B 的大小;(2)若a =3,b =1,求c 的值.【解析】(1)由于m ⊥n ,所以m ·n =0,所以2sinB · 2sin 2(π4+B2)-2+cos2B =0.即2sinB ·[1-cos2(π4+B2)]-2+cos2B =0,即2sinB +2sin 2B -2+1-2sin 2B =0,解得sinB =12.由于0<B <π,所以B =π6或5π6.(2)由余弦定理,得b 2=a 2+c 2-2accosB ,得1=3+c 2-23c(±32),即c 2±3c +2=0,解得c =1或c =2. 11.【解析】(1)设P(x,y),A(x 1,y 1),B(x 2,y 2). ∵P 是线段AB的中点,1212x x 2x .y y y 2+⎧⎪⎪∴=⎨+⎪=⎪⎩∵A 、B 分别是直线x 和y=-上的点, ∴y 11,y 22,1212x x .y y ⎧-=⎪∴⎨-=⎪⎩又AB 23=∴(x 1-x 2)2+(y 1-y 2)2=12.∴12y 2+24x 3=12, ∴动点P 的轨迹C的方程为2x 9+y 2=1.(2)依题意,直线l 的斜率存在,故可设直线l 的方程为y=k(x-1). 设M(x 3,y 3)、N(x 4,y 4)、R(0,y 5), 则M 、N两点坐标满足方程组()22y k x 1,x y 19⎧=-⎪⎨+=⎪⎩ 消去y 并整理,得(1+9k 2)x 2-18k 2x+9k 2-9=0,∴x 3+x 4=2218k 19k +①,x 3x 4=229k 919k-+②. ∵RM MQ,=λ∴(x 3,y 3)-(0,y 5)=λ[(1,0)-(x 3,y 3)].即()33353x 1x .y y y =λ-⎧⎪⎨-=-λ⎪⎩ ∵l 与x 轴不垂直,∴x 3≠1, ∴λ=33x ,1x -同理μ=44x.1x - ∴λ+μ=3434x x1x 1x +--=()()34343434x x 2x x .1x x x x +--++ 将①②代入上式可得λ+μ=9.4-【选做•探究题】【解析】(1)AM=OM-OA=(-x1,-2+12x12),AB=OB-OA=(x2-x1,-12x22+12x12).∵OA⊥OB,∴OA·OB=x1·x2+14x12x22=0,∴x 1x2(4+x1x2)=0,∴x1x2=0(舍)或x1x2=-4,∴-x1[-12(x22-x12)]=12x1(x2-x1)(x2+x1)=12(x2-x1)(x1x2+x12)=(-2+12x12)(x2-x1)∴(x2-x1)(-2+12x12)+x1[-12(x22-x12)]=0,∴AM∥AB.(2)MA=(x1,-12x21+2),MB=(x2,-12x22+2)∵MA=-2MB,∴122212x 2x 11x 22(x 2)22=-⎧⎪⎨-+=--+⎪⎩222121222122x 4x x 812x 2x x 2⎧⎧==⎪⎪⇒⇒⎨⎨=+=⎪⎪⎩⎩, ∵OA ⊥OB ,∴S △A BO =12|OA ||OB | =12x 21+14x 41·x 22+14x 42 =12(8+14×82)(2+14×22) =3 2.。