2020-2021学年江苏省泰州中学高二上学期10月质量检测数学试题(解析版)
江苏省泰州中学2020-2021学年高二上学期期中模拟检测数学试题

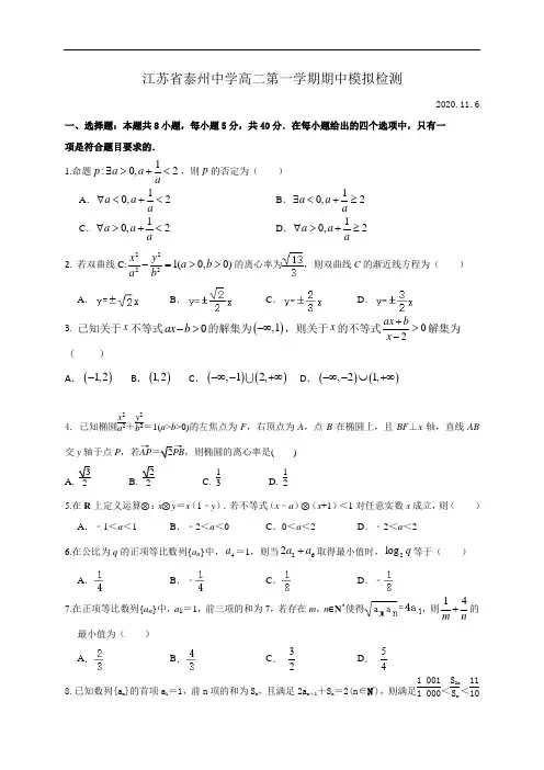
江苏省泰州中学高二第一学期期中模拟检测2020.11.6一、选择题:本题共8小题,每小题5分,共40分.在每小题给出的四个选项中,只有一 项是符合题目要求的. 1.命题21,0:<+>∃aa a p ,则p 的否定为( ) A .21,0<+<∀a a a B .21,0≥+<∃a a a C .21,0<+>∀aa aD .21,0≥+>∀aa a2. 若双曲线C:22221(0,0)x y a b a b-=>>的离心率为,则双曲线C 的渐近线方程为( )A .B .C .D .3. 已知关于x 不等式0ax b ->的解集为(),1-∞,则关于x 的不等式02ax bx +>-解集为( )A .()1,2-B .()1,2C .()(),12,-∞-+∞ D .()(),21,-∞-⋃+∞4. 已知椭圆x 2a 2+y 2b 2=1(a >b >0)的左焦点为F ,右顶点为A ,点B 在椭圆上,且BF ⊥x 轴,直线AB 交y 轴于点P ,若AP →=2PB →,则椭圆的离心率是( ) A. 32 B. 22 C. 13 D. 125.在R 上定义运算⊗:x ⊗y =x (1﹣y ).若不等式(x ﹣a )⊗(x +1)<1对任意实数x 成立,则( ) A .﹣1<a <1B .﹣2<a <0C .0<a <2D .﹣2<a <26.在公比为q 的正项等比数列{a n }中,4a =1,则当262a a +取得最小值时,2log q 等于( ) A .B .﹣C .D .﹣7.在正项等比数列{a n }中,a 1=1,前三项的和为7,若存在m ,n ∈N *使得,则14m n+的最小值为( ) A .B .C .32D .548.已知数列{a n }的首项a 1=1,前n 项的和为S n ,且满足2a n +1+S n =2(n∈N *),则满足1 0011 000<S 2n S n <1110的n的最大值为( ).A.7B.8C.9D.10二、选择题:本题共4小题,每小题5分,共20分.在每小题给出的选项中,有多项符合题目要求,全部选对的得5分,有选错的得0分,部分选对的得3分.9. 设椭圆的左、右焦点分别为F1,F2,点P为椭圆C上一动点,则下列说法中正确的是()A.当点P不在x轴上时,△PF1F2的周长是6B.当点P不在x轴上时,△PF1F2面积的最大值为C.存在点P,使PF1⊥PF2D.PF1的取值范围是[1,3]10. 数列{a n}是首项为1的正项数列,a n+1=2a n+3,S n是数列{a n}的前n项和,则下列结论正确的是()A.3a=13B.数列{3na+}是等比数列C.n a=4n﹣3D.11.设等比数列{a n}的公比为q,其前n项和为S n,前n项积为T n,并且满足条件a1>1,910a a>1,9101 1a a --<0,则下列结论正确的是()A.0<q<1B.1011a a>1C.S n的最大值为S10D.T n的最大值为T9 12. 下列结论不正确的是()A.当x>0时,B.当x>0时,的最小值是2C.当时,的最小值是D.设x>0,y>0,且x+y=2,则的最小值是三、填空题:本题共4小题,每小题5分,共20分.13.已知等差数列{}n a 的前n 项和为n S ,若1530S =,71a =,则10S 的值为________.14. 设椭圆C :22221(0)x y a b a b+=>>的两个焦点分别为12,F F ,12||22F F =,P 是C 上一点,若12PF PF a -=,且212PF F F ⊥,则椭圆C 的方程为________.15.已知x ,y 为非负实数,且满足x +2y =1,则的最小值是 .16.为了观看2022年的冬奥会,小明打算从2018年起,每年的1月1日到银行存入a 元的一年期定期储蓄,若年利率为p ,且保持不变,并约定每年到期存款本息均自动转为新一年的定期.2019年1月1日小明去银行继续存款a 元后,他的账户中一共有________元;到2022年的1月1日不再存钱而是将所有的存款和利息全部取出,则可取回________元.(式子要整理成最简形式) 四、解答题:本题共6小题,共70分。
2020-2021学年江苏泰州高二上数学月考试卷

因此
.
故选.
二、多选题
9.
【答案】
A,C
【考点】
数列的概念及简单表示法
【解析】
利用数列的函数特性逐一分析四个选项即可得到答案.
【解答】
解:,若一个常数列是等比数列,则这个数列的各项都为一个相等的常数且不为,则公比一定为,故该选项正确;
,同一个数在数列中能重复出现,例如常数列,故该选项错误;
,数列的第项为,第项为,第项大于第项恒成立,故该选项正确;
求的值;
若(其中),设,求的最小值.
22.已知数列的前项和满足:为常数,且,.
求的通项公式;
设,若数列为等比数列,求的值;
在满足条件的情形下,设,数列的前项和为,若不等式对任意的恒成立,求实数的取值范围.
参考答案与试题解析
2020-2021学年江苏泰州高二上数学月考试卷
一、选择题
1.
【答案】
C
【考点】
14.已知等差数列满足:,.若将,,都加上同一个数,所得的三个数依次成等比数列,则的值为________.
15.已知数列满足,前项和,则________.
16.已知数列通项公式为.
若,则数列最小项的值为________;
若数列为单调递增数列,则的取值范围是________.
四、解答题
17.等差数列中,,.
A.若一个常数列是等比数列,则这个常数列的公比为
B.同一个数在数列中不能重复出现
C.数列是递增数列
D.数列通项的表达式是唯一的
10.设数列为等差数列,下列数列为等差数列的有( )
A.B.C.D.
11.关于等差数列和等比数列,下面四个选项中正确的是( )
A.若数列的前项和,则数列为等差数列
2020-2021学年江苏省泰州市某校高二(上)10月阶段性测试(三)数学试卷(有答案)

2020-2021学年江苏省泰州市某校高二(上)10月阶段性测试(三)数学试卷一、选择题1. 若无穷等差数列{a n }的首项a 1>0,公差d <0,{a n }的前n 项和为S n ,则( ) A.S n 单调递减 B.S n 单调递增 C.S n 有最大值 D.S n 有最小值2. 设{a n }是公比为q 的等比数列,则“q >1”是“{a n }为递增数列”的( ) A.充分而不必要条件 B.必要而不充分条件C.充分必要条件D.既不充分也不必要条件3. 若数列{a n }的通项公式是a n =(−1)n (3n −2),则a 1+a 2+⋯+a 10=( ) A.15 B.12 C.−12 D.−154. 椭圆x 2+2y 2=4的以(1, 1)为中点的弦所在直线的方程是( ) A.x −4y +3=0 B.x +4y −5=0 C.x −2y +1=0 D.x +2y −3=05. 若不等式x 2+ax +4<0的解集为⌀,则a 的取值范围是( ) A.[−4, 4]B.(−4, 4)C.(−∞, −4]∪[4, +∞)D.(−∞, −4)∪(4, +∞)6. 已知x >2,则函数y =4x−2+4x 的最小值是( ) A.6 B.8 C.12 D.167. 已知a =30.3,b =(12)π,c =log 5√6,则( ) A.a >b >c B.c >b >a C.a >c >b D.b >a >c8. 数列{a n }:1,1,2,3,5,8,13,21,34,⋯,称为斐波那契数列,它是由意大利数学家斐波那契以兔子繁殖为例子引入的,故又称为“兔子数列”.该数列从第3项开始,每项等于其前相邻两项之和,即:a n+2=a n+1+a n ,即该数列{a n }的前n 项和为S n ,则下列结论中正确的是( ) A.S 2019=a 2020+2 B.S 2019=a 2021+2 C.S 2019=a 2020−1D.S 2019=a 2021−1二、多选题已知P 是椭圆C:x 26+y 2=1上的动点,Q 是圆D :(x +1)2+y 2=15上的动点,则( )A.C 的焦距为√5B.C 的离心率为√306C.圆D 在C 的内部D.|PQ|的最小值为2√55设有下面四个命题,其中假命题的选项是( ) A.“若a →⋅b →>0,则a →与b →的夹角为锐角”为真命题 B.若p:∀x ∈R,2x >0,则p 的否定为:∃x ∈R,2x <0 C.“ab ≤1”是‘a ≤1或b ≤1”的充分不必要条件 D.△ABC 中,若A >B ,则sin A >sin B下列有关命题的说法正确的是( ) A.∃x ∈(0,π),使得2sin x +sin x =2√2成立B.命题p:∀x ∈R ,都有cos x ≤1,则¬p:∃x ∈R ,使得cos x >1C.函数f (x )=√x +1⋅√x −1与函数g (x )=√x 2−1是同一个函数D.若x ,y ,z 均为正实数,且3x =4y =12z ,x+y z∈(n,n +1)(n ∈N ),则n =4定义在(−∞, 0)∪(0, +∞)上的函数f(x),如果对于任意给定的等比数列{a n },{f(a n )}仍是等比数列,则f(x)称为“保等比数列函数”.现有定义在 (−∞, 0)∪(0, +∞)上的下列函数中,是“保等比数列函数”的是( ) A.f (x )=x 3 B.f (x )=e xC.f (x )=√|x|D.f (x )=log 2|x|三、填空题方程kx 2+4y 2=4k 表示焦点在x 轴上的椭圆,则实数k 的取值范围是________.已知−1,a ,x ,b ,−4成等比数列,则实数x 的值是________.已知等差数列{a n },{b n }的前n 项和分别为S n ,T n ,若对于任意的自然数n ,都有Sn T n=2n−34n−3,则a 3+a 152(b 3+b 9)+a 3b 2+b 10=________.命题“∃x ∈[−1,4],x 2−(a +2)x +5+a <0”为假命题,则实数a 的范围为________. 四、解答题已知{a n }是公差不为零的等差数列,a 1=1,且a 1,a 3,a 9成等比数列. (1)求数列{a n }的通项;(2)令b n =1a n a n+1,求数列{b n }的前n 项和T n .设集合A ={x|x 2−2x +1−m 2≤0,m >0},集合B ={x|12x+2≥1}.(1)求出集合A 和集合B ;(2)设p:x ∈A,q:x ∈B ,若p 是q 的必要不充分条件,求实数m 的取值范围.精准扶贫是巩固温饱成果、加快脱贫致富、实现中华民族伟大“中国梦”的重要保障.某地政府在对某乡镇企业实施精准扶贫的工作中,准备投入资金将当地农产品进行二次加工后进行推广促销,预计该批产品销售量w 万件(生产量与销售量相等)与推广促销费x 万元之间的函数关系为w =x+32(其中推广促销费不能超过5万元).已知加工此农产品还要投入成本3(w +3w )万元(不包括推广促销费用),若加工后的每件成品的销售价格定为(4+30w)元/件.(1)试将该批产品的利润y 万元表示为推广促销费x 万元的函数;(利润=销售额−成本−推广促销费)(2)当推广促销费投入多少万元时,此批产品的利润最大?最大利润为多少?已知椭圆L:x 2a 2+y 2b 2=1(a >b >0)的离心率为√32,短轴长为2. (1)求椭圆L 的标准方程;(2)过点Q (0,2)的直线l 与椭圆L 交于A ,B 两点,若以AB 为直径的圆恰好过坐标原点,求直线l 的方程及|AB|的大小.已知数列{a n }是公差不为0的等差数列, a 1=1,其前n 项和为S n ,S 4=S 22. (1)求数列{a n }的通项公式;(2)求证: a n a n +1<a n +1a n +2;(3)若b n =a n a n+1,数列{b n }的前n 项积为H n ,求证H n <√2n+1.设函数y =ax 2+x −b (a ∈R,b ∈R ).(1)若b =a −54,且集合{x|y =0}中有且只有一个元素,求实数a 的取值集合;(2)求不等式y <(2a +2)x −b −2的解集;(3)当a >0,b >1时,记不等式y >0的解集为P ,集合Q ={x|−2−t <x <−2+t }.若对于任意正数t ,P ∩Q ≠⌀,求1a−1b 的最大值.参考答案与试题解析2020-2021学年江苏省泰州市某校高二(上)10月阶段性测试(三)数学试卷一、选择题1.【答案】C【考点】数列的函数特性【解析】化简可得{a n}是递减数列,且先正值,后负值;从而判断出S n有最大值.【解答】解:∵无穷等差数列{a n}的首项a1>0,公差d<0,∴{a n}是递减数列,且先正值,后负值;∴{a n}的前n项和为S n先增加,后减小;∴S n有最大值.故选C.2.【答案】D【考点】充分条件、必要条件、充要条件等比数列的性质【解析】根据等比数列的性质,结合充分条件和必要条件的定义进行判断即可得到结论.【解答】解:例如等比数列−1,−2,−4,…,满足公比q=2>1,但{a n}不是递增数列,所以充分性不成立.)n−1为递增数列,若a n=−1⋅(12<1不成立,所以必要性不成立,但q=12故“q>1”是“{a n}为递增数列”的既不充分也不必要条件.故选D.3.【答案】A【考点】数列的求和【解析】【解答】解:∵a n=(−1)n(3n−2),∴a1+a2+⋯+a10=−1+4−7+10−⋯−25+28=(−1+4)+(−7+10)+⋯+(−25+28)=3×5=15.故选A.4.【答案】D【考点】与椭圆有关的中点弦及弦长问题直线的一般式方程中点坐标公式【解析】设直线l的方程为y−1=k(x−1),代入椭圆的方程化简,由x1+x2=4k2−4k1+2k2=2解得k值,即得直线l的方程.【解答】解:由题意得,斜率存在,设为k,则直线l的方程为y−1=k(x−1),即kx−y+ 1−k=0,代入椭圆的方程化简得(1+2k2)x2+(4k−4k2)x+2k2−4k−2=0,∴x1+x2=4k2−4k1+2k2=2,解得k=−12,故直线l的方程为x+2y−3=0.故选D.5.【答案】A【考点】一元二次不等式的解法【解析】利用一元二次函数图象,分析不等式解集为空集的条件,再求解即可.【解答】解:∵不等式x2+ax+4<0的解集为⌀,∴Δ=a2−16≤0⇒−4≤a≤4.故选A.6.【答案】D【考点】基本不等式在最值问题中的应用【解析】y=4x−2+4x=4x−2+4(x−2)+8,利用基本不等式zhij求解即可.【解答】解:∵ x >2, ∴ x −2>0,∴ y =4x−2+4x =4x−2+4(x −2)+8 ≥2√4x−2⋅4(x −2)+8=16,当且仅当4x−2=4(x −2),即x =3时等号成立,∴ 函数y =4x−2+4x 的最小值是16. 故选D . 7.【答案】 C【考点】指数式、对数式的综合比较 对数值大小的比较 对数的运算性质 【解析】【解答】解:∵ a =30.3>30=1, b =(12)π<(12)1=12,c =log 5√6>log 5√5=12,且c =log 5√6<log 55=1,∴ a >c >b . 故选C . 8.【答案】 D【考点】 数列递推式 【解析】 此题暂无解析 【解答】解:因为S n =a 1+a 2+a 3+⋯+a n =(a 3−a 2)+(a 4−a 3)+(a 5−a 4)+ (a 6−a 5)+⋯(a n+2−a n+1) =a n+2−a 2=a n+2−1, 所以S 2019=a 2021−1, 故选D .【答案】 B,C【考点】 椭圆的离心率 点与圆的位置关系 点到直线的距离公式【解析】由椭圆的方程可得a ,b ,c 的值,可得A ,D 不正确,可得圆D 的圆心离左顶点最近,进而可得C 正确,B 正确 【解答】解:由椭圆方程可得,a 2=6,b 2=1,则c 2=a 2−b 2=5,则焦距2c =2√5,A 不正确; 离心率e =ca =√5√6=√306,B 正确; 设P(x, y)(−√6≤x ≤√6),D(−1, 0),r 2=15, 则|PD|2=(x +1)2+y 2 =(x +1)2+1−x 26=56(x +65)2+45≥45>15,所以圆D 在C 的内部,且|PQ|的最小值为√45−√15=√55,故C 正确,D 不正确. 故选BC . 【答案】 A,B【考点】必要条件、充分条件与充要条件的判断 命题的真假判断与应用 命题的否定【解析】A ,利用向量的数量积判断其真假;B ,根据全称命题的否定形式判断;C ,根据充分条件与必要条件的概念判断;D ,利用正弦定理判断. 【解答】解:A ,若a →⋅b →>0,则a →与b →的夹角为锐角”,当a →与b →的夹角为0时,也满足题意,所以该命题为假命题,故A 错误;B ,若p:∀x ∈R ,2x >0,则¬p :∃x 0∈R ,2x 0≤0,故B 错误;C ,若ab ≤1成立,则a ≤1或b ≤1成立;反之,若a ≤1或b ≤1成立,则ab ≤1成立不正确,故“ab ≤1”是“a ≤1或b ≤1”的充分不必要条件,故C 正确;D ,命题△ABC 中,若A >B ,则a >b ,由正弦定理可得sin A >sin B ,故D 正确. 故选AB .B,D【考点】全称命题与特称命题 命题的真假判断与应用 基本不等式在最值问题中的应用 对数的运算性质判断两个函数是否为同一函数【解析】利用三角函数的定义,全称命题的否定,函数的定义,以及对数的运算性质判断即可. 【解答】 解:A ,由于2sin x+sin x =2√2,解得:sin x =√2∉(0,1],所以不存在x ∈(0,π),使得sin x =√2. 故选项A 错误;B ,由全称命题的否定为特称命题可知: 命题p:∀x ∈R ,都有cos x ≤1, 则¬p:∃x ∈R ,使得cos x >1. 故选项B 正确;C ,由于函数f(x)的定义域为:{x +1≥0,x −1≥0,解得:x ≥1,函数g(x)的定义域为:x 2−1≥0, 解得:x ≥1或x ≤−1,则函数f(x)与函数g(x)的定义域不同. 故选项C 错误;D ,令3x =4y =12z =k(k >1), 则x =lg klg 3,y =lg klg 4,z =lg klg 12, 所以x+y z =lg k lg 3+lg klg 4lg k lg 12=1lg 3+1lg 41lg 12=lg 12lg 3+lg 12lg 4 =lg 3+lg 4lg 3+lg 3+lg 4lg 4=lg 4lg 3+lg 3lg 4+2∈(n,n +1),n ∈N . 因为1<lg 4lg 3<2,0<lg 3lg 4<1, 所以3<x+y z <5.又lg 4lg 3+lg 3lg 4>2, 所以4<x+y z<5,所以n =4. 故选项D 正确. 故选BD . 【答案】 A,C【考点】等比数列的性质 【解析】根据新定义“保比等比数列”,结合等比数列中项的定义a n ⋅a n+2=a n+12,逐一判断四个函数,即可得到结论. 【解答】解:由等比数列性质知a n ⋅a n+2=a n+12, ①当f(x)=x 3时,f(a n )f(a n+2)=a n 3a n+23=(a n+12)3=(a n+13)2=f 2(a n+1), 故A 正确;②当f(x)=e x 时,f(a n )f(a n+2)=e a n ⋅e a n+2=e a n +a n+2≠e 2a n+1=f 2(a n+1), 故B 不正确;③当f(x)=√|x|时,f(a n )f(a n+2)=√|a n |⋅|a n+2|=√a n+12=f 2(a n+1), 故C 正确;④当f(x)=log 2|x|时,f(a n )f(a n+2)=log 2|a n |log 2|a n+2| ≠log 2|a n+1|2=f 2(a n+1), 故D 不正确; 故选AC . 三、填空题【答案】 (0, 4) 【考点】椭圆的标准方程 【解析】将方程化为标准方程,由焦点在x 轴上可得k 的取值范围. 【解答】解:方程化简为:x 24+y 2k=1,由于椭圆的焦点在x 轴上, 所以k ∈(0, 4). 故答案为:(0, 4). 【答案】等比数列的性质【解析】此题暂无解析【解答】解:∵−1,a,x,b,−9成等比数列,∴实数x=−√(−1)×(−4)=−2.故答案为:−2.【答案】1941【考点】等差数列的前n项和等差数列的性质【解析】利用等差数列的通项公式性质可得:a3+a152(b3+b9)=2a92(b3+b9),可得a3+a152(b3+b9)+a3b2+b10=a9 b1+b11+a3b1+b11,再进行转化利用求和公式及其性质即可得出.【解答】解:∵等差数列中,若m+n=p+q,则a m+a n=a p+a q;等差数列的前n项和为:S n=(a1+a n)n2.∴a3+a152(b3+b9)=2a92(b3+b9)=a9b3+b9,∴a3+a152(b3+b9)+a3b2+b10=a9b3+b9+a3b2+b10=a9b1+b11+a3b1+b11=a3+a9b1+b11=a1+a11b1+b11=11(a1+a11)211(b1+b11)2=S11T11=2×11−34×11−3=1941.故答案为:1941.【答案】[−4,4]【考点】不等式恒成立问题命题的真假判断与应用基本不等式解:∵对任意的x∈[−1,4],x2−(a+2)x+5+a≥0恒成立,即a(x−1)≤x2−2x+5恒成立.当x=1时,不等式为0≤4恒成立;当x∈(1,4]时,a≤x 2−2x+5x−1=x−1+4x−1.∵1<x≤4,∴0<x−1≤3,∴x−1+4x−1≥4,当且仅当x−1=4x−1时,即x=3时取$`` = "$,∴a≤4,当x∈[−1,1)时,a≥x 2−2x+5x−1=x−1+4x−1=−(1−x+41−x),∴0<1−x≤2令t=1−x,则t∈(0,2],∵函数y=−(t+4t)在t∈(0,2]上单调递增,∴当t=2,即x=−1时,函数y=−(t+41)取到最大值−4,∴a≥−4.综上所述,a的取值范围是[−4,4].故答案为:[−4,4].四、解答题【答案】解:(1)由题设知公差d≠0,由a1=1,a1,a3,a9成等比数列,得1+2d1=1+8d1+2d,解得d=1或d=0(舍去),故{a n}的通项a n=1+(n−1)×1=n.(2)b n=1a n a n+1=1n(n+1)=1n−1n+1,T n=b1+b2+b3+⋯+b n=1−12+12−13+13−14+⋯+1n−1n+1=1−1 n+1=nn+1.【考点】等比中项数列的求和等差数列的通项公式【解答】解:(1)由题设知公差d ≠0,由a 1=1,a 1,a 3,a 9成等比数列, 得1+2d 1=1+8d1+2d ,解得d =1或d =0(舍去),故{a n }的通项a n =1+(n −1)×1=n . (2)b n =1an a n+1=1n (n+1)=1n −1n+1,T n =b 1+b 2+b 3+⋯+b n=1−12+12−13+13−14+⋯+1n −1n +1=1−1n +1=nn+1.【答案】解:(1)由x 2−2x +1−m 2≤0得, [x −(1−m )][x −(1+m )]≤0,再结合m >0,所以集合A ={x|1−m ≤x ≤1+m}, 由12x+2≥1得,10−xx+2≥0, 则{(10−x )(x +2)≥0,x +2≠0.所以集合B ={x|−2<x ≤10}.(2)由题意得,集合B 真包含于集合A , 所以{1−m ≤−2,1+m ≥10,解得m ≥9.所以实数m 的取值范围{m|m ≥9}. 【考点】集合的包含关系判断及应用 元素与集合关系的判断 【解析】【解答】解:(1)由x 2−2x +1−m 2≤0得, [x −(1−m )][x −(1+m )]≤0,再结合m >0,所以集合A ={x|1−m ≤x ≤1+m}, 由12x+2≥1得,10−xx+2≥0,所以集合B ={x|−2<x ≤10}.(2)由题意得,集合B 真包含于集合A , 所以{1−m ≤−2,1+m ≥10,解得m ≥9.所以实数m 的取值范围{m|m ≥9}. 【答案】解:(1)由题意知,y =(4+30w)w −3(w +3w )−x =w +30−9w−x =632−x2−18x+3(0≤x ≤5).所以y =632−x 2−18x+3(0≤x ≤5).(2)∵ y =632−x2−18x+3=632−12(x +36x +3) =33−12(x +3+36x +3)≤33−12⋅2√(x +3)⋅36x+3=27(0≤x ≤5).当且仅当x =3时,上式取“=”∴ 当x =3时,y 取最大值27.答:当推广促销费投入3万元时,利润最大,最大利润为27万元. 【考点】基本不等式在最值问题中的应用 根据实际问题选择函数类型 函数最值的应用【解析】(1)根据利润公式得出y 关于x 的函数; (2)利用基本不等式得出最大利润 【解答】解:(1)由题意知,y =(4+30w)w −3(w +3w )−x =w +30−9w−x =632−x2−18x+3(0≤x ≤5).所以y =632−x 2−18x+3(0≤x ≤5).(2)∵ y =632−x 2−18x+3=33−12(x +3+36x +3)≤33−12⋅2√(x +3)⋅36x+3=27(0≤x ≤5).当且仅当x =3时,上式取“=”∴ 当x =3时,y 取最大值27.答:当推广促销费投入3万元时,利润最大,最大利润为27万元. 【答案】解:(1)由e 2=c 2a 2=a 2−b 2a 2=1−b 2a 2=34得a 2=4b 2,又∵ 短轴长为2,可得b =1,a 2=4, ∴ 椭圆L 的标准方程为:x 24+y 2=1.(2)易知直线l 的斜率存在且不为零,设直线l 的斜率为k(k ≠0),直线l 的方程为:y =kx +2,则联立{y =kx +2,x 2+4y 2−4=0,消元得:(4k 2+1)x 2+16kx +12=0,Δ=16×16k 2−48(4k 2+1)=16(4k 2−3)>0, 即k 2>34.设A (x 1,y 1),B (x 2,y 2),∴ x 1+x 2=−16k4k 2+1,x 1⋅x 2=124k 2+1,∴ y 1⋅y 2=(kx 1+2)(kx 2+2)=k 2x 1⋅x 2+2k(x 1+x 2)+4 . 由题意可知OA →⊥OB →,OA →⋅OB →=0即:x 1⋅x 2+y 1⋅y 2=(1+k 2)x 1⋅x 2+2k (x 1+x 2)+4=0, ∴12(1+k 2)1+4k 2−32k 21+4k 2+4=0,解得k 2=4>34, ∴ k =±2 ,|AB|=√1+k 2|x 1−x 2| =√1+k 2⋅√(x 1+x 2)2−4x 1x 2 =√1+k 2⋅4√4k 2−31+4k 2=4√6517. 综上:直线l 的方程为:y =±2x +2,|AB|=4√6517. 【考点】圆锥曲线的综合问题 椭圆的离心率向量的数量积判断向量的共线与垂直待定系数法求直线方程 直线的一般式方程 【解析】 【解答】 解:(1)由e 2=c 2a 2=a 2−b 2a 2=1−b 2a2=34得a 2=4b 2,又∵ 短轴长为2,可得b =1,a 2=4, ∴ 椭圆L 的标准方程为:x 24+y 2=1.(2)易知直线l 的斜率存在且不为零,设直线l 的斜率为k(k ≠0),直线l 的方程为:y =kx +2,则联立{y =kx +2,x 2+4y 2−4=0,消元得:(4k 2+1)x 2+16kx +12=0,Δ=16×16k 2−48(4k 2+1)=16(4k 2−3)>0, 即k 2>34.设A (x 1,y 1),B (x 2,y 2), ∴ x 1+x 2=−16k 4k 2+1,x 1⋅x 2=124k 2+1,∴ y 1⋅y 2=(kx 1+2)(kx 2+2)=k 2x 1⋅x 2+2k(x 1+x 2)+4 . 由题意可知OA →⊥OB →,OA →⋅OB →=0即:x 1⋅x 2+y 1⋅y 2=(1+k 2)x 1⋅x 2+2k (x 1+x 2)+4=0, ∴12(1+k 2)1+4k 2−32k 21+4k 2+4=0,解得k 2=4>34, ∴ k =±2 ,|AB|=√1+k 2|x 1−x 2| =√1+k 2⋅√(x 1+x 2)2−4x 1x 2 =√1+k 2⋅4√4k 2−31+4k 2=4√6517. 综上:直线l 的方程为:y =±2x +2,|AB|=4√6517. 【答案】(1)解:设公差为d ,∵ S 4=S 22,∴ 1+1+d +1+2d +1+3d =(1+1+d)2, 解得,d =2或d =0(舍去), ∴ a n =2n −1.22∴2n−12n <2n2n+1,∴a na n+1<a n+1a n+2.(3)证明:∵4n2−1<4n2,即(2n+1)(2n−1)<(2n)2.即由(2)得b n=2n−12n <2n2n+1,∴(12×34×⋯×2n−12n)2<12×34×⋯×2n−12n×23×45×⋅⋅⋅×2n2n+1=12n+1,∴12×34×…×2n−12n<√2n+1n∈N∗),∴H n<√2n+1.【考点】数列的求和等差数列的性质等差数列的通项公式【解析】【解答】(1)解:设公差为d,∵S4=S22,∴1+1+d+1+2d+1+3d=(1+1+d)2, 解得,d=2或d=0(舍去),∴a n=2n−1.(2)证明:∵4n2−1<4n2,即(2n+1)(2n−1)<(2n)2,∴2n−12n <2n2n+1,∴a na n+1<a n+1a n+2.(3)证明:∵4n2−1<4n2,即(2n+1)(2n−1)<(2n)2.即由(2)得b n=2n−12n <2n2n+1,∴(12×34×⋯×2n−12n)2<1×3×⋯×2n−1×2×4×⋅⋅⋅×2n=1,∴ 12×34×…×2n−12n<√2n+1n ∈N ∗),∴ H n <√2n+1.【答案】解:(1)当b =a −54时,y =ax 2+x −a +54, 由题意集合{x|y =0}中有且仅有一个元素,则:①当a =0时,x +54=0,解得x =−54,满足题意;②当a ≠0时,可令y =0,得ax 2+x −a +54=0, 此时Δ=1+4a (a −54)=0,解得a =1或14.综上所述,a 的取值集合为{0,14,1}.(2)由题意,y <(2a +2)x −b −2, 可得ax 2−(2a +1)x +2<0, 化简即(ax −1)(x −2)<0,所以①当a >0时,不等式可化为(x −1a )(x −2)<0, 1∘当0<a <12时,1a >2,此时不等式的解集为(2,1a );2∘当a =12时,则不等式化为(x −2)2<0,此时不等式的解集为⌀;3∘当a >12时,1a<2,此时不等式的解集为(1a,2).②当a =0时,不等式可化为−x +2<0,此时不等式的解集为(2,+∞). ③当a <0时,不等式可化为(x −1a )(x −2)>0.此时不等式的解集为(−∞,1a )∪(2,+∞).综上所述:当a <0时,不等式的解集为(−∞,1a )∪(2,+∞);当a =0时,不等式的解集为(2,+∞); 当0<a <12时,不等式的解集为(2,1a ); 当a =12时,不等式的解集为⌀; 当a >12时,不等式的解集为(1a ,2).(3)由题意集合Q ={x|−2−t <x <−2+t },即4a −2−b ≥0,所以4a ≥b +2>3, 则1a−1b ≤4b+2−1b=3b−2b (b+2), 令t =3b −2,则t >1,此时b =t+23,所以1a−1b ≤4b+2−1b=3b−2b (b+2)=9tt+16t+10≤12,当且仅当t =16t,即t =4时,此时a =1,b =2,1a−1b有最大值为12.【考点】集合关系中的参数取值问题 基本不等式在最值问题中的应用 一元二次不等式的解法 【解析】解:(1)当b =a −54时,y =ax 2+x −a +54, 由题意集合{x|y =0}中有且仅有一个元素,则:①当a =0时,x +54=0,解得x =−54,满足题意;②当a ≠0时,可令y =0,得ax 2+x −a +54=0, 此时△=1+4a (a −54)=0,解得a =1或14.综上所述,a 的取值集合为{0,14,1}.(3)由题意集合Q ={x|−2−t <x <−2+t },对于任意正数t ,−2∈Q . 又因为P ∩Q ≠⌀,所以满足当x =−2时,函数y ≥0, 即4a −2−b ≥0,所以4a ≥b +2>3, 则1a −1b ≤4b+2−1b =3b−2b (b+2), 令t =3b −2,则t >1,此时b =t+23, 所以1a −1b ≤4b+2−1b =3b−2b (b+2)=9tt+16t+10≤12,当且仅当t =16t,即t =4时,此时a =1,b =2,1a −1b 有最大值为12.解:(1)当b =a −54时,y =ax 2+x −a +54, 由题意集合{x|y =0}中有且仅有一个元素,则:①当a =0时,x +54=0,解得x =−54,满足题意;②当a ≠0时,可令y =0,得ax 2+x −a +54=0, 此时Δ=1+4a (a −54)=0,解得a =1或14.综上所述,a 的取值集合为{0,14,1}.(2)由题意,y <(2a +2)x −b −2, 可得ax 2−(2a +1)x +2<0, 化简即(ax −1)(x −2)<0,所以①当a >0时,不等式可化为(x −1a )(x −2)<0,1∘当0<a <12时,1a >2,此时不等式的解集为(2,1a );2∘当a =12时,则不等式化为(x −2)2<0,此时不等式的解集为⌀; 3∘当a >12时,1a <2,此时不等式的解集为(1a ,2).②当a =0时,不等式可化为−x +2<0,此时不等式的解集为(2,+∞). ③当a <0时,不等式可化为(x −1a )(x −2)>0.此时不等式的解集为(−∞,1a )∪(2,+∞).综上所述:当a <0时,不等式的解集为(−∞,1a )∪(2,+∞);当a =0时,不等式的解集为(2,+∞); 当0<a <12时,不等式的解集为(2,1a ); 当a =12时,不等式的解集为⌀; 当a >12时,不等式的解集为(1a ,2).(3)由题意集合Q ={x|−2−t <x <−2+t }, 对于任意正数t ,−2∈Q .又因为P ∩Q ≠⌀,所以满足当x =−2时,函数y ≥0, 即4a −2−b ≥0,所以4a ≥b +2>3, 则1a −1b ≤4b+2−1b =3b−2b (b+2),试卷第21页,总21页 所以1a −1b ≤4b+2−1b =3b−2b (b+2) =9tt+16t +10≤12, 当且仅当t =16t ,即t =4时,此时a =1,b =2,1a −1b有最大值为12.。
江苏省泰州市泰州中学2024-2025学年高二上学期10月月考数学试题(含解析)

泰州中学2024-2025学年高二上学期10月月考数学(考试时间:120分钟;总分:150分)一、选择题:本题共8小题,每小题5分,共40分,在每小题给出的四个选项中,只有一项符合题目要求,1.经过两点的直线的倾斜角为( )A.B.C.D.2.若方程表示圆,则实数的取值范围是( )A. B.CD.3.平面内一点到两定点的距离之和为10,则的轨迹方程是()A. B.C. D.4.一座圆拱桥,当水面在如图所示位置时,拱顶离水面3米,水面宽12米,当水面下降1米后,水面宽度为()A.米B.米C.米D.米5.若直线与曲线只有一个公共点,则实数的取值范围是()A. B.C.D.或6.已知点在圆上,点,则满足点的个数为( )A.3B.2C.1D.07.设直线,一束光线从原点出发沿射线向直线射出,经反射后与轴交()()0,3,P Q -30 60 120 1502224240x y mx y m m ++-+-=m 0m <12m <1m >-2m ≥M ()()120,3,0,3F F -M 2212516x y +=2212516y x +=2212516y x -=2212516x y -=y x m =+x =m m =m ≥m ≤m <<11m -<≤m =P 22:(2)(1)4O x y -+-=()()1,2,2,2A B --6AP BP ⋅=P :10l x y +-=O ()0y kx x =≥l l x于点,再次经轴反射后与轴交于点.若,则的值为( )A.B. C. D.8.已知圆,点,点是上的动点,过作圆的切线,切点分别为,直线与交于点,则的最小值为( )A.二、多选题:本题共3小题,每小题6分,共18分.在每小题给出的四个选项中,有多项符合题目要求.全部选对的德6分,部分选对的得部分分,有选错的得0分.9.已知中,,则关于下列说法中正确( )A.某一边上的中线所在直线的方程为B.某一条角平分线所在直线的方程为C.某一边上的高所在直线的方程为D.某一条中位线所在直线的方程为10.下列说法正确的是()A.直线的倾斜角的取值范围是B.“”是“直线与直线互相垂直”的充要条件C.过点且在轴,轴截距相等的直线方程为D.设点,若点在线段上(含端点),则的取值范围是11.已知圆:,过圆外一点作圆的切线,切点为,,直线与直线相交于点,则下列说法正确的是()A.若点在直线上,则直线过定点M x y N MN =k 3223121322:16O x y +=12,2F ⎛-+ ⎝E :2160l x y -+=E O ,A B AB EO M MF ∣32ABC V ()()()1,2,1,0,3,4A B C -ABC V 2y =2y =20x y +=210x y -+=sin 20x y α++=θπ3π0,,π44⎡⎤⎡⎫⋃⎪⎢⎥⎢⎣⎦⎣⎭1a =-210a x y -+=20x ay --=()1,2P x y 30x y +-=()()2,3,3,2A B ---(),P x y AB 11y x --(]3,4,4∞∞⎡⎫--⋃+⎪⎢⎣⎭O 224x y +=O (),P a b O A B OP AB D P 40x y ++=AB ()1,1--B.当取得最小值时,点在圆上C.直线,关于直线对称D.与的乘积为定值4三、填空题:本题共3小题,每小题5分,共15分.12.写出过点且与圆相切的直线方程__________.(写出一条直线即可)13.若方程表示焦点在轴上的椭圆,则实数的取值范围是__________.14.已知为圆上任意一点,,则的最小值为__________.四、解答题:本题共5小题,共77分.解答应写出文字说明,证明过程或演算步骤.15.(13分)已知点和直线.(1)求过点与直线平行的直线的方程;(2)求过的中点与垂直的直线的方程.16.(15分)已知以点为圆心的圆与__________,过点的动直线与圆相交于两点.从①直线相切;②圆关于直线对称.这2个条件中任选一个,补充在上面问题的横线上并回答下列问题.(1)求圆的方程;(2)当的方程.17.(15分)如图,将一块直角三角形木板置于平面直角坐标系中,已知,,点是三角形木板内一点,现因三角形木板中阴影部分受到损坏,要把损坏部分锯掉,可用经过点的任一直线将三角形木板锯成,设直线的斜率为.PA PB ⋅P 2232x y +=PA PB 22ax by a b +=+OP OD ()1,4A -22:(2)(3)1C x y -+-=22112x y m m+=--y m P 22(1)(1)1x y -+-=()()0,0,2,0O B PO ()()1,3,5,7A B --:34200l x y +-=A l 1l ,A B l 2l ()1,2A -()2,0B -l A ,M N270x y ++=22(3)20x y -+=210x y --=A MN =l ABO 1AB OB ==AB OB ⊥11,24P ⎛⎫⎪⎝⎭P MN AMN V MN k(1)用表示出直线的方程,并求出的坐标;(2)求锯成的的面积的最小值.18.(17分)如图,圆C :.(1)若圆与轴相切,求圆的方程;(2)当时,圆与轴相交于两点(点在点的左侧).问:是否存在圆,使得过点的任一条直线与该圆的交点,都有?若存在,求出圆方程,若不存在,请说明理由.19.(17分)已知为圆上三点.(1)若直线过点,求面积的最大值;(2)若为曲线上的动点,且.试问直线和直线的斜率之积是否为定值?若是,求出该定值;若不是,说明理由.k MN M N 、AMN V ()2210x a x y ay a -++-+=C y C 4a =C x ,M N M N 222:O x y r +=M ,A B ANM BNM ∠∠=()0,3,,A B C 22:9O x y +=BC ()0,2ABC V D ()22(1)43x y y ++=≠-AD AB AC =+AB AC数学学科答案(考试时间:120分钟;总分:150分)一、选择题:本题共8小题,每小题5分,共40分,在每小题给出的四个选项中,只有一项符合题目要求.1.【答案】C【解析】由题意知,经过的直线的斜率为设该直线的倾斜角为,则,所以,即直线的倾斜角为.故选:C 2.【答案】C 3.【答案】B【解析】平面内一点到两定点的距离之和为,所以的轨迹满足椭圆的定义,是椭圆,且,椭圆的焦点在轴上,所以椭圆的方程为.故选:B.4.【答案】C【解析】如图建立平面直角坐标系,则圆心在轴上,设圆的半径为,则圆的方程为,拱顶离水面3米,水面宽12米,圆过点,圆的方程为,当水面下降1米后,可设水面的端点坐标为,则,当水面下降1米后,水面宽度为.PQ k ==()0180θθ≤<tan k θ==120θ=120 M ()()120,3,0,3F F -106>M 5,3,4a c b =====y 2212516y x+=y r 222()x y r r ++= ∴()6,3-221536(3),,2r r r ∴+-+=∴=∴221522524x y ⎛⎫++= ⎪⎝⎭(),4t -244,t t =∴=±∴故选:C.5.【答案】D【解析】因为曲线,即,表示圆心为原点,半径为1的半圆,如图,当直线,即与曲线相切时,圆心到直线的距离,解得或(舍去)当直线,即与曲线相交且只有一个交点时,,综上可得,或,故选:D 6.【答案】B【解析】设点,则,由,得,即,故点的轨迹为一个圆心为、半径为的圆,又点在圆上,,半径差为,有,所以两圆相交,满足这样的点有2个.故选:B.7.【答案】B0x =≥()221,0x y x +=≥y x m =+0x y m -+=1d m =m =y x m =+0x y m -+=11m -<≤11m -<≤m =(),P x y ()()1,2,2,2AP x y BP x y =+-=+-AP BP ⊥()()22212(2)3466AP BP x x y x y x y ⋅=+++-=++-+= 22325(2)24x y ⎛⎫++-= ⎪⎝⎭P 3,22⎛⎫-⎪⎝⎭52P 22:(2)(1)4O x y -+-=59222+=51222-=1922<<P【解析】如图,设点关于直线的对称点为:则得,即,由题意知与直线不平行,故,由,得,即为入射点,故直线的斜率为,直线的直线方程为:,令得,故,令得,故由对称性可得,由得,即,解得,得或,若,则第二次反射后光线不会与轴相交,故不符合条件.故,O l ()11,A x y ()1111102211x y y x ⎧+-=⎪⎪⎨⎪⨯-=-⎪⎩1111x y =⎧⎨=⎩()1,1A ()0y kx x =≥l 1k ≠-10y kx x y =⎧⎨+-=⎩111x k k y k ⎧=⎪⎪+⎨⎪=⎪+⎩1,,11k P P k k ⎛⎫ ⎪++⎝⎭AP 111111APkk k k k -+==-+AP ()111y x k-=-0y =1x k =-()1,0M k -0x =11y k =-10,1N k ⎛⎫- ⎪⎝⎭MN =22113(1)136k k ⎛⎫-+-= ⎪⎝⎭21113236k k k k ⎛⎫⎛⎫+-+= ⎪ ⎪⎝⎭⎝⎭1136k k +=23k =32k =32k =y 23k =故选:B.8.【答案】B【解析】如图,设,由题可知,则,即,所以,所以点,将点的坐标代入,化简得(不同时为0,故点的轨迹是以为半径的圆,又,点在该圆外,所以的最小值为,故选:B.二、多选题:本题共3小题,每小题6分,共18分.在每小题给出的四个选项中,有多项符合题目要求.全部选对的得6分,部分选对的得部分分,有选错的得0分.9.【答案】AD【解析】对于A ,线段的中点为,又,所以边上的中线所在直线的方程为,故A 正确;对于B ,由A 知,只能为的角平分线,假设为的角平分线,在上任取一点,直线的方程为:,即.(),M x y :AOE MOA V V OA OM OEOA=2||OA OE OM =⋅2222||16||OEOA OM OM x y ==+22221616,x y E x y x y ⎛⎫ ⎪++⎝⎭E :2160l x y -+=2215(1)24x y ⎛⎫++-= ⎪⎝⎭,x y )M 11,2⎛⎫- ⎪⎝⎭22115(21)20224⎛⎫-+++-=> ⎪⎝⎭F MF =-=BC ()2,2()1,2A -BC 2y =2y =A ∠2y =A ∠2y =(),2M a AB 1y x =-+10x y +-=直线的方程为:,即,则到直线的距离为:则到直线的距离为:因为,故B 错误;对于C ,因为,而直线的高所在直线的方程为:,故C 错误;对于D ,线段的中点为,线段的中点为,线段的中点为,直线的方程为:,即,所以D 正确;故选:AD.10.【答案】AD【解析】对于A :直线的倾斜角为,则,因为,所以,故A 正确.对于B :当时,直线与直线的斜率分别为,斜率之积为,故两直线相互垂直,所以充分性成立,若“直线与直线互相垂直”,则,故或,所以得不到,故必要性不成立,故B 错误.对于C :截距为0时,设直线方程为,又直线过点,所以可得,所以直线方程为,当截距不为0时,设直线方程为,又直线过点,所以可得,所以直线方程为,AC ()1212y x -=+250x y -+=(),2M a AB 1d (),2M a AC 2d 12d d ≠()4212040,1,23121131AC AB CB k k k ---====-==-----AC ()2122y x x =--=-+BC ()2,2E AC ()1,3F AB ()310,1,210FD D k -==-FD 12y x -=210x y -+=θ[]tan sin 1,1θα=-∈-0πθ≤<π3π0,,π44θ⎡⎤⎡⎫∈⋃⎪⎢⎥⎢⎣⎦⎣⎭1a =-10x y -+=20x y +-=1,1-1-210a x y -+=20x ay --=20a a +=0a =1a =-1a =-y kx =()1,2P 2k =2y x =1x ya a+=()1,2P 3a =30x y +-=所以过点且在轴,轴截距相等的直线方程为或,故C 错误;对于D :如图,令,则的取值范围等价于直线的斜率的取值范围,Q 点,点是线段(含端点)上任一点,,或的取值范围是.故D 正确.故选:AD.11.【答案】ACD 【解析】【分析】根据垂直关系可得四点共圆,进而可得以为直径的圆的方程,两圆相减可得直线的方程,即可得定点坐标,根据数量积的运算律,结合基本不等式即可求解最值,进入可得点的轨迹,根据直线关于直线对称,而与直线垂直,即可判断C ,根据锐角三角函数即可求解D.【详解】设,由四点,,,共圆,且以为直径,可得圆的方程为,化简得,联立圆,可得直线的方程为,即,令,且,解得,即直线恒过定点,故A 正确,,()1,2P x y 30x y +-=2y x =()1,1Q 11y x --PQ k ()()2,3,3,2A B ---(),P x y AB 13123Q 4,12134AQ BQ k k ++==-==-+34k ∴≥14,1y k x -≤-∴-(]3,4,4∞∞⎡⎫--⋃+⎪⎢⎣⎭OP AB P ,PA PB OP 22ax by a b +=+0OPbx ay -=(,4)P m m --P A O B OP 2222442222m m m m x y ----⎛⎫⎛⎫⎛⎫⎛⎫-+-=+ ⎪ ⎪ ⎪ ⎪⎝⎭⎝⎭⎝⎭⎝⎭()2240x y mx m y +-++=224x y +=AB ()440mx m y -++=()440m y x y -++=y x =440y +=1x y ==-AB ()1,1--()()2222PA PB OA OP OB OP OA OB OP OA OP OB OP OA OB OP OA OB⋅=-⋅-=⋅+-⋅-⋅=⋅+-- ()2222232cos 2842cos 1812OA OB AOP OP AOP OP OP OP=⋅∠+-=∠-+-=+-由于,当且仅当时,即时等号成立,故此时点在圆上,故B 错误,由于直线,关于直线对称,而方程为,由于直线与垂直,故直线,关于直线对称,C 正确,设,则,,所以,故D 正确,故选:ACD 三、填空题:本题共3小题,每小题5分,共15分.12.【答案】或,答案不唯一13.【答案】14.【解析】设,取四、解答题:本题共5小题,共77分.解答应写出文字说明,证明过程或演算步骤.2232OP OP +≥ 2232OP OP = 2OP = P 22x y +=PA PB OP OP 0bx ay -=22ax by a b +=+0bxay -=PAPB 22ax by a b +=+AOP θ∠=cos OA OP θ=cos OD OA θ=2cos 4cos OA OP OD OA OA θθ===4(y =34130x y +-=)31,2⎛⎫ ⎪⎝⎭(),,C m n PO =22222()()x y x m y n ⎡⎤⇒+=-+-⎣⎦()22224420x mx y ny m n ⇒-+-++=1111,,,2222m n C ⎛⎫==⇒ ⎪⎝⎭)PO PC PB =+≥=15.解析:(1)的斜率为,因为,所以,代入点斜式,得,化简,得.(2)的中点坐标为,因为,所以,代入点斜式,得,化简,得.16.【解析】(1)选①:因为圆与直线相切,所以圆,因此圆的方程为;选②:因为圆与圆关于直线对称,所以两个圆的半径相等,因此圆的半径为所以圆的方程为.(2)两种选择圆的方程都是,当过点的动直线不存在斜率时,直线方程为,把代入中,得显然当过点的动直线存在斜率时,设为,直线方程为,因为,所以有,即方程为:.34200x y +-=34-1l l ∥134k =-()3314y x -=-+3490x y +-=,A B ()2,2-2l l ⊥243k =()4223y x +=-43140x y --=A 270x y ++=A A 22(1)(2)20x y ++-=A 22(3)20x y -+=210x y --=A A 22(1)(2)20x y ++-=A 22(1)(2)20x y ++-=()2,0B -l 2x =-2x =-22(1)(2)20x y ++-=2y =(22+--=()2,0B -l k ()220y k x kx y k =+⇒-+=MN =22132024k ⎛+⨯=⇒= ⎝3460x y -+=综上所述:直线的方程为或.17.【答案】(1).(2).【解析】【小问1详解】设直线,因为直线过点,所以,即,所以,又因为,易得直线,直线,联立,解得;联立,解得,故.【小问2详解】因为,所以,所以,因为,设到直线的距离为,则,所以,当且仅当,即时,等号成立,所以的最小值为.18.【答案】(1)或(2)存在,【解析】(1)因为由,可得由题意得l 3450x y -+=2x =-()()1212121:,,,1,4241414MN k k k k l y kx M N k k ⎛⎫--+⎛⎫=+- ⎪ ⎪ ⎪--⎝⎭⎝⎭14:MN y kx b =+MN 11,24P ⎛⎫ ⎪⎝⎭1142k b =⋅+142k b =-1:42MN k l y kx =+-()()1,1,1,0A B :OA y x =:1AB x =142k y kx y x ⎧=+-⎪⎨⎪=⎩()()21412141k x k k y k -⎧=⎪-⎪⎨-⎪=⎪-⎩1421k y kx x ⎧=+-⎪⎨⎪=⎩1214x k y =⎧⎪⎨+=⎪⎩()()212121,,1,41414k k k M N k k ⎛⎫--+⎛⎫ ⎪ ⎪ ⎪--⎝⎭⎝⎭11,22OP BP k k ==-1122k -≤≤131,22k ⎡⎤-∈⎢⎥⎣⎦2132144k k AN +-=-=M AN d ()()212314141k k d k k --=-=--()()2113223(23)22441321k k k S AN d k k ---=⋅=⨯⨯=--()()()()21414(1)111111132184184k k k k k ⎡⎤⎡⎤+-+-==+-+≥+=⎢⎥⎢⎥--⎢⎥⎣⎦⎣⎦()1141k k =--12k =S 14225440x x y y -+-+=220x x y -+=224x y +=()22010x x a x y ay a =⎧⎨-++-+=⎩20,y ay a -+=,所以或,故所求圆的方程为或.(2)Q 令,得,即,求得,或,所以.假设存在圆,当直线与轴不垂直时,设直线的方程为,代入得,设,从而.因为的斜率之和为而因为,所以,的斜率互为相反数,即,所以,即.当直线与轴垂直时,仍然满足,即的斜率互为相反数.综上,存在圆,使得.19.解:(1)方法一设直线的方程为将代入得,令,则当,即时,方法二直线过点面积等于面积的一半设到直线的距离为,则2Δ()40a a =--=4a =0a =C 225440x x y y -+-+=220x x y -+=4a =∴0y =2540x x -+=()()140x x --=1x =4x =()()1,0,4,0M N 222:O x y r +=AB x AB ()1y k x =-222x y r +=()22222120k x k x k r +-+-=()()1122,,,A x y B x y 2221212222,11k k r x x x x k k-+==++NA NB 、()()()()()()122112121214144444k x x x x y y x x x x ⎡⎤--+--⎣⎦+=----()()()()()2222122112212222821414258258111k r k r x x x x x x x x k k k ----+--=-++=⨯-⨯+=+++ANM BNM ∠∠=NA NB 、1212044y y x x +=--228201r k-=+24r =AB x ANM BNM ∠∠=NA NB 、22:4O x y +=ANM BNM ∠∠=BC ()()11222,,,,y kx B x y C x y =+2y kx =+229x y +=()221450k x kx ++-=12112ABC S x x =⋅⋅-==V 21k t +=1ABC S t ==≥V 1t =0k =ABC V BC ()0,2,ABC ∴V OBC V O BC d (]0,2d ∈设,则当,即时,(2)设直线和直线的斜率之积为,设,则①,因为为圆上,所以化简得整理得②因为,所以从而,又因为为曲线上的动点所以,展开得,将①代入得,化简得,将②代入得1124ABC OBC S S BC d d ==⋅==V V (]20,4t d =∈ABC S =V 4t =2d =ABC V AB AC ()0m m ≠()()()112200,,,,,B x y C x y D x y 121233y y m x x --⋅=()()1212133x x y y m =--()()22122221233y y m x x --=,B C 222:O x y r +=222211229,9x y x y +=+=()()()()22122221233,99y y m y y --=--()()()()122123333y y m y y --=++()()2121223191m y y y y m +=-+--AD AB AC =+ ()()()112200,3,3,3x y x y x y -+-=-()1212,3D x x y y ++-D ()22(1)43x y y +-=≠-()()22121224x x y y +++-=()()()2222112212121222444x y x y x x y y y y +++++-++=()()()12121229933240y y y y y y m++--+-+=()()()()1212123910m y y m y y m +-++++=,整理得因为,所以,从而又,所以()()()()()()2121223119239101m m y y m y y m m ⎡⎤+⎢⎥+-+--++++=-⎢⎥⎣⎦()212501m m y y m +⋅+=-1233y y +-≠-120y y +≠250m m +=0m ≠15m =-。
2020-2021学年江苏省泰州市高二(上)期末数学试卷 (解析版)

2020-2021学年江苏省泰州市高二(上)期末数学试卷一、选择题(共8小题).1.已知命题p:“∃x∈R,e x﹣x﹣1≤0”,则命题¬p()A.∀x∈R,e x﹣x﹣1>0B.∀x∉R,e x﹣x﹣1>0C.∀x∈R,e x﹣x﹣1≥0D.∃x∈R,e x﹣x﹣1>02.已知等差数列{a n}前10项的和是310,前20项的和是1220,则数列{a n}的通项公式为()A.a n=6n+2B.a n=6n﹣2C.a n=4n+2D.a n=4n﹣23.在空间四边形OABC中,,且,则=()A.﹣﹣+B.﹣﹣+C.+﹣D.+﹣4.2020年北京时间11月24日我国嫦娥五号探月飞行器成功发射.嫦娥五号是我国探月工程“绕、落、回”三步走的收官之战,经历发射入轨、地月转移、近月制动、环月飞行、着陆下降、月面工作、月面上升、交会对接与样品转移、环月等待、月地转移、再入回收等11个关键阶段.在经过交会对接与样品转移阶段后,若嫦娥五号返回器在近月点(离月面最近的点)约为200公里,远月点(离月面最远的点)约为8600公里,以月球中心为一个焦点的椭圆形轨道上等待时间窗口和指令进行下一步动作,月球半径约为1740公里,则此椭圆轨道的离心率约为()A.0.32B.0.48C.0.68D.0.825.如果向量=(2,﹣1,3),=(﹣1,4,2),=(1,﹣1,m)共面,则实数m 的值是()A.﹣1B.1C.﹣5D.56.设抛物线y2=8x的焦点为F,过点M(1,0)的直线与抛物线相交于A,B两点,若|BF|=4,则|AF|=()A.B.3C.D.7.已知正项等比数列{a n}的公比为q,前n项和为S n,则“q>1”是“S4+S6﹣2S5>0”的()条件A.充分不必要B.必要不充分C.充分必要D.既不充分也不必要8.若0<x<y<z且xyz=1,则下列关系式不一定成立的是(()A.lgy+lgz>0B.2y+2z>4C.x+z2>2D.x2+z>2二、选择题(共4小题).9.已知双曲线C:=1,则下列说法正确的是()A.渐近线方程为B.焦点坐标为C.顶点坐标为D.实轴长为10.设a,b,c∈R,则下列结论正确的有()A.若a<b,c<0,则ac>bc B.a+≥2C.若a<b<0,则D.()2≤11.任取一个正整数m,若是奇数,就将该数乘3再加上1;若是偶数,就将该数除以2.反复进行上述两种运算,经过有限次步骤后,必进入循环圈1→4→2→1.这就是数学史上著名的“冰雹猜想”(又称“角谷猜想”).如取正整数m=3,根据上述运算法,则得出3→10→5→16→8→4→2→1,共需经过7个步骤首次变成1(简称为7步“雹程”).则下列叙述正确的是()A.当m=12时,经过9步雹程变成1B.当m=2k(k∈N*)时,经过k步雹程变成1C.当m越大时,首次变成1需要的雹程数越大D.若m需经过5步雹程首次变成1,则m所有可能的取值集合为5,3212.已知过抛物线y2=4x焦点F的直线l与抛物线交于A,B两点,直线AM⊥l交x轴于点M,直线BN⊥l交x轴于点N,则下列结论正确的有()A.|AF|+|BF|=|AF|•|BF|B.|MF|+|NF|=|MF|•|NF|C.|AF|•|BF|的最小值为4D.|MF|•|NF|的最小值为16三、填空题(共4小题).13.已知直三棱柱ABC﹣A1B1C1中,AB⊥AC,AB=AC=AA1,点E,F分别为AA1,A1C1的中点,则直线BE和CF所成角的余弦值为.14.椭圆C:=1(a>b>0)的左右焦点为F1、F2,若C上存在一点P,使得|PF1|=2|PF2|,则C的离心率的范围是.15.如图甲是第七届国际数学教育大会(ICME﹣7)的会徽.它的主题图案是由一连串如图乙所示的直角三角形演化而成的.设其中的第一个直角三角形OA1A2是等腰三角形,且OA1=A1A2=A2A3=A3A4=…=A7A8=1,它可以形成近似的等角螺线,记OA1,OA2,OA3,…,OA8的长度组成数列{a n}(n∈N*,1≤n≤8),且b n=,则a n=(n∈N*,1≤n≤8),数列{b n}的前7项和为.16.已知正实数a,b满足a+2b=1,则+的最小值为.四、解答题(共6小题,满分70分)17.已知命题p:实数t满足t2﹣7at+12a2<0(a<0),命题q:实数t满足曲线+=1为椭圆.(1)若q为真,求实数t的取值范围;(2)若p是q的充分条件,求实数a的取值范围.18.在①b n=a n•2an,②b n=|a n﹣10|,③b n=这三个条件中任选一个,补充在下面问题中,并完成问题的解答.问题:已知数列{a n}是各项均为正数的等差数列,a2=2,且a1+1,a4,a8成等比数列.(1)求数列{a n}的通项公式;(2)记______,求数列{b n}的前n项和S n.19.已知点P(x,y)到定点F(0,)的距离与它到定直线l:y=的距离的比是常数,点P的轨迹为曲线E.(1)求曲线E的方程;(2)设点Q(m,0)(m>1),若|PQ|的最大值为,求实数m的值.20.2020年11月23日,贵州宣布最后9个深度贫困县退出贫困县序列,这不仅标志着贵州省66个贫困县实现整体脱贫,这也标志着国务院扶贫办确定的全国832个贫困县全部脱贫摘帽,全国脱贫攻坚目标任务已经完成.在脱贫攻坚过程中,某地县乡村三级干部在帮扶走访中得知某贫困户的实际情况后,为他家量身定制了脱贫计划,政府无息贷款10万元给该农户种养羊,每万元可创造利润0.15万元.若进行技术指导,养羊的投资减少了x(x>0)万元,且每万元创造的利润变为原来的(1+0.25x)倍.现将养羊少投资的x万元全部投资网店,进行农产品销售,则每万元创造的利润为0.15(a﹣0.875x)万元,其中a>0.(1)若进行技术指导后养羊的利润不低于原来养羊的利润,求x的取值范围;(2)若网店销售的利润始终不高于技术指导后养羊的利润,求a的最大值.21.如图,已知在四棱锥P﹣ABCD中,PA⊥平面ABCD,四边形ABCD为直角梯形,AD =2AB=2BC=2,PA=1,∠ABC=90°.(1)求直线PB与平面PCD所成角的正弦值;(2)在线段PB上是否存在点E,使得二面角E﹣AC﹣P的余弦值?若存在,指出点E的位置;若不存在,说明理由.22.已知A,B分别是双曲线E:x2﹣=1的左,右顶点,直线l(不与坐标轴垂直)过点N(2,0),且与双曲线E交于C,D两点.(1)若=3,求直线l的方程;(2)若直线AC与BD相交于点P,求证:点P在定直线上.参考答案一、选择题(共8小题).1.已知命题p:“∃x∈R,e x﹣x﹣1≤0”,则命题¬p()A.∀x∈R,e x﹣x﹣1>0B.∀x∉R,e x﹣x﹣1>0C.∀x∈R,e x﹣x﹣1≥0D.∃x∈R,e x﹣x﹣1>0【分析】利用含逻辑联结词的否定是将存在变为任意,同时将结论否定,可写出命题的否定.解:∵命题p:“∃x∈R,e x﹣x﹣1≤0”,∴命题¬p:∀x∈R,e x﹣x﹣1>0,故选:A.2.已知等差数列{a n}前10项的和是310,前20项的和是1220,则数列{a n}的通项公式为()A.a n=6n+2B.a n=6n﹣2C.a n=4n+2D.a n=4n﹣2【分析】利用等差数列的求和公式、通项公式即可得出.解:设等差数列{a n}的公差为d,∵10a1+45d=310,20a1+190d=1220,解得:a1=4,d=6,∴a n=4+6(n﹣1)=6n﹣2.故选:B.3.在空间四边形OABC中,,且,则=()A.﹣﹣+B.﹣﹣+C.+﹣D.+﹣【分析】直接利用空间向量的线性运算的应用求出结果.解:空间四边形OABC中,,如图所示:所以,,则,所以.故选:A.4.2020年北京时间11月24日我国嫦娥五号探月飞行器成功发射.嫦娥五号是我国探月工程“绕、落、回”三步走的收官之战,经历发射入轨、地月转移、近月制动、环月飞行、着陆下降、月面工作、月面上升、交会对接与样品转移、环月等待、月地转移、再入回收等11个关键阶段.在经过交会对接与样品转移阶段后,若嫦娥五号返回器在近月点(离月面最近的点)约为200公里,远月点(离月面最远的点)约为8600公里,以月球中心为一个焦点的椭圆形轨道上等待时间窗口和指令进行下一步动作,月球半径约为1740公里,则此椭圆轨道的离心率约为()A.0.32B.0.48C.0.68D.0.82【分析】将椭圆中的a、c与椭圆形轨道中的数量关系一一对应,建立模型,再求解即可.解:实轴长2a=200+8600+2×1740=12280,∴a=6140,焦距2c=2a﹣(200+1740)×2=12280﹣3880=8400,∴c=4200,∴离心率e==≈0.68.故选:C.5.如果向量=(2,﹣1,3),=(﹣1,4,2),=(1,﹣1,m)共面,则实数m 的值是()A.﹣1B.1C.﹣5D.5【分析】由各量共面,可知存在x,y,使得,列出方程组,求出实数m的值.解:∵向量=(2,﹣1,3),=(﹣1,4,2),=(1,﹣1,m)共面,∴存在x,y,使得,∴(2,﹣1,3)=(﹣x+y,4x﹣y,2x+my),∴,解得x=,y=,m=1.∴实数m的值是1.故选:B.6.设抛物线y2=8x的焦点为F,过点M(1,0)的直线与抛物线相交于A,B两点,若|BF|=4,则|AF|=()A.B.3C.D.【分析】由|BF|=4可求得B坐标,从而求得直线AB的方程,联立抛物线与直线AB的方程,求得B坐标即可.解:不妨设B在四象限,因为|BF|=4,所以x B+=4,∴x B=2,∴B(2,﹣4),∴k AB=k BF=,∴直线AB的方程为y=﹣4(x﹣1),联立,可得y2+2y﹣8=0,∴y A•y B=﹣8,∴y B=2,∴x B=,则|AF|=.故选:D.7.已知正项等比数列{a n}的公比为q,前n项和为S n,则“q>1”是“S4+S6﹣2S5>0”的()条件A.充分不必要B.必要不充分C.充分必要D.既不充分也不必要【分析】先根据等比数列的性质可求出q的范围,然后根据充分条件、必要条件的定义可判定.解:因为S4+S6﹣2S5>0,所以S6﹣S5>S5﹣S4,即a6>a5,所以a1q4(q﹣1)>0,因为a1q4>0,所以q>1.“q>1”能推出“S4+S6﹣2S5>0”,满足充分性,“S4+S6﹣2S5>0”能推出“q>1”,满足必要性,所以“q>1”是“S4+S6﹣2S5>0”的充分必要条件.故选:C.8.若0<x<y<z且xyz=1,则下列关系式不一定成立的是(()A.lgy+lgz>0B.2y+2z>4C.x+z2>2D.x2+z>2【分析】由已知可得yz>1,由对数的性质即可判断选项A;由已知可得y+z>y+>2,由基本不等式即可判断选项B;由已知可得x=>,由基本不等式即可判断选项C;利用特殊值法即可判断选项D.解:由0<x<y<z且xyz=1,可得0<x<1,yz>1,所以lgy+lgz=lgyz>lg1=0,故A正确;由0<x<y<z且xyz=1,可得0<x<1,yz>1,所以z>,y+z>y+>2,所以2y+2z>2=2>4,故B正确;由0<x<y<z且xyz=1,可得x=,yz>z2,x=>,所以x+z2>+z2>2=2,故C正确;由0<x<y<z且xyz=1,可取x=,y=,z=,此时x2+z=<2,故D错误.故选:D.二、选择题(共4小题,每小题5分,满分20分)9.已知双曲线C:=1,则下列说法正确的是()A.渐近线方程为B.焦点坐标为C.顶点坐标为D.实轴长为【分析】由双曲线的方程可得a,b,c的值,进而可判断各选项的正误.解:对于双曲线C:﹣=1,所以a=2,b=2,c=2,所以双曲线C的渐近线方程为y=±x=±x,焦点坐标为(±2,0),顶点坐标为(±2,0),实轴长为4,因此AD选项错误,BC选项正确,故选:BC.10.设a,b,c∈R,则下列结论正确的有()A.若a<b,c<0,则ac>bc B.a+≥2C.若a<b<0,则D.()2≤【分析】直接利用不等式的基本性质和作差法的应用求出结果.解:对于A:若a<b,c<0,则ac>bc,故A正确;对于B:当a为正数时,才成立,故B错误;对于C:由于a<b<0,所以,故,故C正确,对于D:根据平方平均值和算数平均值的关系,≥0,所以,故D正确;故选:ACD.11.任取一个正整数m,若是奇数,就将该数乘3再加上1;若是偶数,就将该数除以2.反复进行上述两种运算,经过有限次步骤后,必进入循环圈1→4→2→1.这就是数学史上著名的“冰雹猜想”(又称“角谷猜想”).如取正整数m=3,根据上述运算法,则得出3→10→5→16→8→4→2→1,共需经过7个步骤首次变成1(简称为7步“雹程”).则下列叙述正确的是()A.当m=12时,经过9步雹程变成1B.当m=2k(k∈N*)时,经过k步雹程变成1C.当m越大时,首次变成1需要的雹程数越大D.若m需经过5步雹程首次变成1,则m所有可能的取值集合为5,32【分析】根据冰雹猜想今年模拟运算即可.解:当m=12时,12→6→3→10→5→16→8→4→2→1共9步雹程变成1,则A正确;当m=2k(k∈N“)时,2k→2k﹣1→2k﹣2→2k﹣3→…→22→2→1经过k步雹程变成1,则B 正确;当m=12时有9步雹程变成1,当m=16时16→8→4→2→1有4步雹程变成1,故C错;若m需经过5步雹程首次变成1则1←2←4←8←16←5或1←2←4←8←16←32两种情况,故D正确故选:ABD.12.已知过抛物线y2=4x焦点F的直线l与抛物线交于A,B两点,直线AM⊥l交x轴于点M,直线BN⊥l交x轴于点N,则下列结论正确的有()A.|AF|+|BF|=|AF|•|BF|B.|MF|+|NF|=|MF|•|NF|C.|AF|•|BF|的最小值为4D.|MF|•|NF|的最小值为16【分析】A设直线斜率和交点坐标,联立方程组,把等式用斜率表示判断;B把等式用斜率表示判断;C把乘积用斜率表示判断;D把乘积用斜率表示判断.解:抛物线y2=4x的焦点为F(1,0),准线方程为x=﹣1,设直线l方程为x=ky+1(k≠0),A(x1,y1),B(x2,y2),M(a,0),N(b,0),x1=ky1+1,x2=ky2+1,x1+x2=k(y1+y2)+2,,⇒a=x1+ky1=2ky1+1,b=x2+ky2=2ky2+1,⇒y2﹣4ky﹣4=0⇒y1+y2=4k,y1y2=﹣4;对于A,|AF|=x1+1=ky1+2,|BF|=x2+1=ky2+2.|AF|+|BF|=x1+x2+2=k(y1+y2)+4=4k2+4,|AF|•|BF|=k2y1y2+2k(y1+y2)+4=﹣4k2+2k•4k+4=4k2+4,所以A对;对于B,|MF|+|NF|=|a﹣1|+|b﹣1|=2|y1|+2|y2|=2|y1﹣y2|=2=8,|MF|•|NF|=|a﹣1|•|b﹣1|=4|y1y2|=16,所以B错;对于C,因为|AF|•|BF|=4k2+4,k≠0,所以C错;对于D,因为|MF|•|NF|=|a﹣1|•|b﹣1|=4|y1y2|=16,所以D对.故选:AD.三、填空题(共4小题,每小题5分,满分20分)13.已知直三棱柱ABC﹣A1B1C1中,AB⊥AC,AB=AC=AA1,点E,F分别为AA1,A1C1的中点,则直线BE和CF所成角的余弦值为.【分析】建立坐标系求出点的坐标,利用向量法进行求解即可.解:∵在直三棱柱ABC﹣A1B1C1中,AB⊥AC,∴∠BAC=90°,设AB=AC=AA1=2,E,F分别为AA1,A1C1的中点,∴以A为原点,AB为x轴,AC为y轴,AA1为z轴,建立空间直角坐标系,B(2,0,0),E(0,0,1),C(0,2,0),B1(2,0,2),C1(0,2,2),F(0,1,2),=(﹣2,0,1),=(0,﹣1,2),设异面直线BE与直线CF所成角为θ,则cosθ===.∴直线BE与直线CF所成角的余弦值是.故答案为:.14.椭圆C:=1(a>b>0)的左右焦点为F1、F2,若C上存在一点P,使得|PF1|=2|PF2|,则C的离心率的范围是.【分析】设P点的横坐标为x,根据|PF1|=2|PF2|,利用椭圆的第二定义,可得x关于e 的表达式,进而根据x的范围确定e的范围.解:设P点的横坐标为x∵|PF1|=2|PF2|,∴根据椭圆的第二定义,可得a+ex=2(a﹣ex)∴3ex=a∵x≤a,∴ex≤ea∴a≤ea,∴e≥∵0<e<1,∴e∈.故答案为:.15.如图甲是第七届国际数学教育大会(ICME﹣7)的会徽.它的主题图案是由一连串如图乙所示的直角三角形演化而成的.设其中的第一个直角三角形OA1A2是等腰三角形,且OA1=A1A2=A2A3=A3A4=…=A7A8=1,它可以形成近似的等角螺线,记OA1,OA2,OA3,…,OA8的长度组成数列{a n}(n∈N*,1≤n≤8),且b n=,则a n=(n∈N*,1≤n≤8),数列{b n}的前7项和为2﹣1.【分析】由a1,a2,a3,a4可以猜想数列{a n}的通项公式a n;由b n===﹣,可得其前n项和S n.解:由a1=1,a2=,a3=,a4=2=,可以猜想数列{a n}的通项公式为:a n=(其中n∈N*);在数列{b n}中,因为b n===﹣,所以其前n项和为:S n=(﹣)+(﹣)+(﹣)+…+(﹣)=﹣1.所以S7=﹣1=2﹣1.故答案是:;2﹣1.16.已知正实数a,b满足a+2b=1,则+的最小值为.【分析】由+=+=+﹣,利用基本不等式的性质即可得出.解:∵a>0,b>0,a+2b=1,∴a=1﹣2b>0⇒b<,∴1﹣b>0,∴+=+=+﹣≥2﹣=,当且仅当=时,取得最小值.故答案为:.四、解答题(共6小题,满分70分)17.已知命题p:实数t满足t2﹣7at+12a2<0(a<0),命题q:实数t满足曲线+=1为椭圆.(1)若q为真,求实数t的取值范围;(2)若p是q的充分条件,求实数a的取值范围.【分析】(1)根据椭圆性质,通过方程组求解;(2)根据充分条件概念,通过解不等式组求解.解:(1)因为q为真,所以,解得t>﹣9;故实数t的取值范围是t∈(﹣9,+∞).(2)p:实数t满足t2﹣7at+12a2<0(a<0)⇔(t﹣3a)(t﹣4a)<0且a<0⇔4a<t <3a且a<0;因为p是q的充分条件,即p⇒q,所以,解得.故实数a的取值范围是a∈[,0).18.在①b n=a n•2an,②b n=|a n﹣10|,③b n=这三个条件中任选一个,补充在下面问题中,并完成问题的解答.问题:已知数列{a n}是各项均为正数的等差数列,a2=2,且a1+1,a4,a8成等比数列.(1)求数列{a n}的通项公式;(2)记______,求数列{b n}的前n项和S n.【分析】(1)直接利用等差和等比数列的性质求出数列的通项公式;(2)利用裂项相消法和乘公比错位相减法的应用求出数列的和.解:(1)数列{a n}是各项均为正数的等差数列,a2=2,且a1+1,a4,a8成等比数列.设公差为d,a2=a1+d=2,则解得a1=d=1.所以a n=n.(2)选①时,b n=a n•2n=n•2n,所以①,②,①﹣②得:,整理得.选②时,b n=|n﹣10|,当n≤10时,b n=n﹣10,所以.当n>10时,S n=(9+8+…+0)+[1+2+…+(n﹣10)]=,所以.选③时,,所以.19.已知点P(x,y)到定点F(0,)的距离与它到定直线l:y=的距离的比是常数,点P的轨迹为曲线E.(1)求曲线E的方程;(2)设点Q(m,0)(m>1),若|PQ|的最大值为,求实数m的值.【分析】(1)由题意列关于x,y的等式,整理可得曲线E的方程;(2)写出两点间的距离公式,利用配方法对m分类讨论求最值.解:(1)根据题意可得,,化简得,∴曲线E的方程为;(2)=,①当,即m>2 时,,解得(舍);②当,即1<m≤2 时,,解得.综上所述,实数m的值为.20.2020年11月23日,贵州宣布最后9个深度贫困县退出贫困县序列,这不仅标志着贵州省66个贫困县实现整体脱贫,这也标志着国务院扶贫办确定的全国832个贫困县全部脱贫摘帽,全国脱贫攻坚目标任务已经完成.在脱贫攻坚过程中,某地县乡村三级干部在帮扶走访中得知某贫困户的实际情况后,为他家量身定制了脱贫计划,政府无息贷款10万元给该农户种养羊,每万元可创造利润0.15万元.若进行技术指导,养羊的投资减少了x(x>0)万元,且每万元创造的利润变为原来的(1+0.25x)倍.现将养羊少投资的x万元全部投资网店,进行农产品销售,则每万元创造的利润为0.15(a﹣0.875x)万元,其中a>0.(1)若进行技术指导后养羊的利润不低于原来养羊的利润,求x的取值范围;(2)若网店销售的利润始终不高于技术指导后养羊的利润,求a的最大值.【分析】(1)直接由题意列不等式,求解得答案;(2)写出网店销售利润及技术指导后养羊的利润,列不等式,分离参数a,再由基本不等式求得a的范围,即可得到a的最大值.解:(1)由题意,得0.15(1+0.25x)(10﹣x)≥0.15×10,整理得:x2﹣6x≤0,解得0≤x≤6,又x>0,故0<x≤6.∴x的取值范围是(0,6];(2)由题意知,网店销售利润为0.15(a﹣0.875x)x万元,技术指导后,养羊的利润为0.15(1+0.25x)(10﹣x)万元,则0.15(a﹣0.875x)x≤0.15(1+0.25x)(10﹣x)恒成立,又0<x<10,∴a,又,当且仅当x=4时等号成立,∴0<a≤6.5,即a的最大值为6.5.21.如图,已知在四棱锥P﹣ABCD中,PA⊥平面ABCD,四边形ABCD为直角梯形,AD =2AB=2BC=2,PA=1,∠ABC=90°.(1)求直线PB与平面PCD所成角的正弦值;(2)在线段PB上是否存在点E,使得二面角E﹣AC﹣P的余弦值?若存在,指出点E的位置;若不存在,说明理由.【分析】(1)以A为原点建立空间直角坐标系,求得平面PCD的法向量,设直线PB 与平面PCD所成的角为α,由sinα=|cos<,>|,得解;(2)设=λ,λ∈[0,1],写出点E的坐标,求得平面ACE和平面PAC的法向量和,由|cos<,>|=,可得关于λ的方程,解之即可.解:(1)以A为原点,AB,AD,AP所在直线分别为x,y,z轴,建立如图所示的空间直角坐标系,则A(0,0,0),B(1,0,0),D(0,2,0),C(1,1,0),P(0,0,1),∴=(﹣1,﹣1,1),=(﹣1,1,0),=(1,0,﹣1),设平面PCD的法向量为=(x,y,z),则,即,令x=1,则y=1,z=2,∴=(1,1,2),设直线PB与平面PCD所成的角为α,则sinα=|cos<,>|=||=||=,故直线PB与平面PCD所成角的正弦值为.(2)假设线段PB上存在点E,使得二面角E﹣AC﹣P的余弦值,设=λ,λ∈[0,1],则E(λ,0,1﹣λ),∴=(λ,0,1﹣λ),=(1,1,0),=(0,0,1),设平面ACE的法向量为=(x1,y1,z1),则,即,令z1=λ,则x1=λ﹣1,y1=1﹣λ,∴=(λ﹣1,1﹣λ,λ),同理可得,平面PAC的法向量=(1,﹣1,0),∵二面角E﹣AC﹣P的余弦值,∴|cos<,>|=||=||=,化简得,3λ2﹣8λ+4=0,解得λ=或2(舍),故存在点E满足题意,且E为PB上靠近点B的三等分点.22.已知A,B分别是双曲线E:x2﹣=1的左,右顶点,直线l(不与坐标轴垂直)过点N(2,0),且与双曲线E交于C,D两点.(1)若=3,求直线l的方程;(2)若直线AC与BD相交于点P,求证:点P在定直线上.【分析】(1)设直线l的方程为x=my+2,与双曲线的方程联立,设C(x1,y1),D(x2,y2),运用韦达定理和向量共线的坐标表示,解方程可得m,进而得到所求直线方程;(2)分别求得直线AC,BD的方程,联立方程计算,结合y1y2=﹣(y1+y2),化简可得所求定直线.解:(1)设直线l的方程为x=my+2,设C(x1,y1),D(x2,y2),由可得(4m2﹣1)y2+16my+12=0,则y1+y2=﹣,y1y2=,=(2﹣x1,﹣y1),=(x2﹣2,y2),由=3,可得y1=﹣3y2,即有y2=①,﹣3y22=②,将①代入②可得﹣3()2=,解得m2=,即m=±,可得直线l的方程为2x﹣y﹣4=0或2x+y﹣4=0;(2)证明:由A(﹣1,0),B(1,0),可得直线AC的方程为y=(x+1),直线BD的方程为y=(x﹣1),设直线AC与BD的交点为P,故(x+1)=(x﹣1),即(x+1)=(x﹣1),进而得到=,又y1y2=﹣(y1+y2),故===﹣3,解得x=,故点P在定直线x=上.。
江苏省泰州中学2020-2021学年高二10月月度质量检测数学试题【含答案】

}
通项公式为
一个工业凹槽的轴截面是双曲线的一部分,它的方程是,在凹槽内放入一
已知抛物线的焦点为,准线为,过点的直线与抛物线交于两点,,点在上的射影为,则
.若,则.以为直径的圆与准线相切
.设,则
.过点与抛物线有且仅有一个公共点的直线至多有
已知,为椭圆的左、右焦点,是椭圆上异于顶点的任意一点,点是内切圆的圆心,过作于,为坐标原点,则的取值范围为
一个工业凹槽的轴截面是双曲线的一部分,它的方程是,在凹槽内放入一
设半径为,圆心为,圆方程为:代入双曲线方程,得,要使清洁球到达底部,.
二、多项选择题:本题共4
已知抛物线的焦点为,准线为,过点的直线与抛物线交于两点,,点在上的射影为,则
.若,则.以为直径的圆与准线相切
.设,则
.过点与抛物线有且仅有一个公共点的直线至多有
已知,为椭圆的左、右焦点,是椭圆上异于顶点的任意一点,点是内切圆的圆心,过作于,为坐标原点,则的取值范围为。
江苏省泰州中学2020-2021学年高二上学期期初检测数学试题
A.2 B.3 C.5 D.7
【答案】B 2.过点 P(2,4)作圆(x-1)2+(y-1)2=1 的切线,则切线方程为( )
A.3x+4y-4=0
B.4x-3y+4=0
C.x=2 或 4x-3y+4=0 D.y=4 或 3x+4y-4=0
49
D.三角形外接圆面积为
3
11.在平面直角坐标系 xOy 中,动点 P 到两个定点 F1(1, 0) 和 F2 (1, 0) 的距离之积等于 8,记点 P 的
轨迹为曲线 E ,则( ) A.曲线 E 经过坐标原点 C.曲线 E 关于 y 轴对称
B.曲线 E 关于 x 轴对称
D.若点 x, y 在曲线 E 上,则 3 ≤ x ≤ 3
19.(12 分)已知抛物线 E 上的焦点为 F (0,1) . (1)求抛物线 E 的标准方程;
3
(2)过 F 作斜率为 k 的直线 l 交曲线 E 于 A 、 B 两点,若 BF 3FA ,求直线 l 的方程.
20.(12 分)在平面直角坐标系 xOy 中,已知双曲线 C 的焦点为 0, 3 、 0, 3 ,实轴长为 2 2 .
7.在 ABC 中,角 A, B,C 所对应的边分别为 a, b, c ,已知 b cos C c cos B 2b ,则 a ( ) b
1
A. 2 3
B.2
C. 2
D.1
8.如图,椭圆 C : x2 y 2 1 的右顶点为 A,上顶点为 B,动直线 l 交椭圆 C 于两点,且始终满足 4 uuur uuur
4 3
y2
2y 1
4 3
江苏省泰州中学2020_2021学年高二数学上学期期中模拟检测试题
江苏省泰州中学2020-2021学年高二数学上学期期中模拟检测试题一、选择题:本题共8小题,每小题5分,共40分.在每小题给出的四个选项中,只有一项是符合题目要求的. 1.命题21,0:<+>∃aa a p ,则p 的否定为( ) A .21,0<+<∀a a a B .21,0≥+<∃a a a C .21,0<+>∀aa aD .21,0≥+>∀aa a 2。
若双曲线C:22221(0,0)x y a b a b -=>>的离心率为,则双曲线C 的渐近线方程为( ) A .B .C .D .3。
已知关于x 不等式0ax b ->的解集为(),1-∞,则关于x 的不等式02ax bx +>-解集为( )A .()1,2-B .()1,2C .()(),12,-∞-+∞D .()(),21,-∞-⋃+∞4。
已知椭圆错误!+错误!=1(a >b 〉0)的左焦点为F ,右顶点为A ,点B 在椭圆上,且BF ⊥x 轴,直线AB 交y 轴于点P ,若错误!=错误!错误!,则椭圆的离心率是( )A 。
错误! B. 错误! C. 错误! D. 错误! 5。
在R 上定义运算⊗:x ⊗y =x (1﹣y ).若不等式(x ﹣a )⊗(x +1)<1对任意实数x 成立,则( ) A .﹣1<a <1B .﹣2<a <0C .0<a <2D .﹣2<a <26.在公比为q的正项等比数列{a n}中,4a=1,则当262a a+取得最小值时,2log q等于()A.B.﹣C.D.﹣7.在正项等比数列{a n}中,a1=1,前三项的和为7,若存在m,n∈N*使得,则14m n+的最小值为()A.B.C.32D.548。
已知数列{a n}的首项a1=1,前n项的和为S n,且满足2a n+1+S n=2(n∈N*),则满足错误!<错误!<错误!的n的最大值为().A。
2021年高二上学期10月份测试数学试题 含答案
2021年高二上学期10月份测试数学试题 含答案(本试卷考试时间120分钟,满分160分,请将答案做在答题卡上)一、填空题(本大题共14小题,每小题5分,共70分)1.直线的倾斜角为 ▲ .2. 焦点在轴上的椭圆m x2+4y2=1的焦距是2,则m 的值是____▲____.3.若直线与直线关于点对称,则直线恒过定点____▲___.4. 从点引圆的切线,则切线长是 ▲ .5. 若P 是以F 1,F 2为焦点的椭圆25x2+9y2=1上一点,则三角形PF 1F 2的周长等于 ▲ .6. 圆,圆,则这两圆公切线的条数为 ▲ .7. 经过点且在两坐标轴上的截距互为相反数的直线方程是 ▲ .8. 圆关于直线对称的圆的标准方程是 ▲ .9. 已知是由不等式组所确定的平面区域,则圆在区域内的弧长为 ▲ .10. 圆,则圆上到直线距离为3的点共有▲ 个.11. 在平面直角坐标系中,若直线与圆心为的圆相交于,两点,且为直角三角形,则实数的值是 ▲ .12. 已知椭圆,点依次为其左顶点、下顶点、上顶点和右焦点,若直线 与直线 的交点恰在椭圆的右准线上,则椭圆的离心率为____▲ __.13. 已知圆,点在直线上,为坐标原点.若圆上存在点使得,则的取值范围为 ▲ .14. 若对于给定的负实数,函数的图象上总存在点C ,使得以C 为圆心,1为半径的圆上有两个不同的点到原点的距离为2,则的取值范围为 ▲ .二、解答题(本大题共6小题,共90分)15.(本小题满分14分)已知直线和.问:m 为何值时,有:(1);(2).16.(本小题满分14分)已知椭圆818x2+36y2=1上一点,且,.(1)求的值;(2)求过点M 且与椭圆9x2+4y2=1共焦点的椭圆的方程.17.(本小题满分15分)在平面直角坐标系中,己知点,,、分别为线段,上的动点,且满足.(1)若,求直线的方程;(2)证明:的外接圆恒过定点(异于原点).18.(本小题满分15分)在一个特定时段内,以点为中心的7海里以内海域被设为警戒水域.点正北55海里处有一个雷达观测站.某时刻测得一艘匀速直线行驶的船只位于点北偏东且与点相距海里的位置,经过40分钟又测得该船已行驶到点北偏东(其中,)且与点相距海里的位置.(1)求该船的行驶速度(单位:海里/小时);(2)若该船不改变航行方向继续行驶.判断它是否会进入警戒水域,并说明理由.19.(本小题满分16分)在平面直角坐标系中,已知圆经过,,三点,是线段上的动点,、是过点且互相垂直的两条直线,其中交轴于点,交圆于、两点.(I)若,求直线的方程;(II)若是使恒成立的最小正整数,求三角形的面积的最小值.20.(本小题满分16分)已知函数,.(1)当时,求的最小值;(2)若函数图象上的点都在不等式组表示的平面区域内,求实数的取值范围;(3)若函数在上有零点,求的最小值.10月份测试数学参考答案1. 2.5 3. (0,2) 4.3 5.18 6.2 7.或8.9.10.3 11. -1 12.13.14.15.解:(1)∵,∴,得或;当m=4时,l1:6x+7y-5=0,l2:6x+7y=5,即l1与l2重合,故舍去.当时,即∴当时,.(2)由得或;∴当或时,.16.解:(1)把M的纵坐标代入8x281+y236=1,得8x281+436=1,即x2=9.∴x=±3.故M的横坐标.(2)对于椭圆x29+y24=1,焦点在x轴上且c2=9-4=5,故设所求椭圆的方程为x2a2+y2a2-5=1(a2>5),把M点坐标代入得9a2+4a2-5=1,解得a2=15(a2=3舍去).故所求椭圆的方程为x215+y210=1.17. 解:(1)因为,所以,又因为,所以,所以,由,得,所以直线的斜率,所以直线的方程为,即.(2)设,则.则,因为,所以,所以点的坐标为又设的外接圆的方程为,则有解之得,,所以的外接圆的方程为,整理得,令,所以(舍)或所以△的外接圆恒过定点为.18.解:(I)如图,AB=40,AC=10,由于0<<,所以cos=由余弦定理得BC=所以船的行驶速度为(海里/小时).(II)如图所示,以A为原点建立平面直角坐标系,设点B、C的坐标分别是B(x1,y2), C(x1,y2),BC与x轴的交点为D.由题设有,x1=y1=AB=40, x2=AC cos,y2=AC sin.所以过点B、C的直线l的斜率k=,直线l的方程为y=2x-40.又点E(0,-55)到直线l的距离d=所以船会进入警戒水域.19.解:(I)由题意可知,圆C的直径为A D,所以,圆C方程为:.当直线垂直于轴时,方程为,不合题意;当直线不垂直于轴时,设方程为:,则,解得,,当时,直线与y轴无交点,不合,舍去.所以,此时直线的方程为.(II)设,由点M在线段A D上,得,即.由AM≤2BM,得.依题意知,线段A D与圆至多有一个公共点,故,解得或.因为t是使AM≤2BM恒成立的最小正整数,所以,t=4.所以,圆C方程为:(1)当直线:时,直线的方程为,此时,;(2)当直线的斜率存在时,设的方程为:(),则的方程为:,点.所以,.又圆心C到的距离为,所以,PQ==故12EPQS BE PQ=⋅==.因为所以,.20.解:(1)(2)由题意可知,在上恒成立,把根式换元之后容易计算出;(3)422()()(1)1h x x f x x bx⎡=++++⎣=0,即,令,方程为,设,,当,即时,只需,此时,;当,即时,只需,即,此时.故的最小值为.20466 4FF2 俲Y22614 5856 塖 25824 64E0 擠NPy36818 8FD2 迒Xr21190 52C6 勆27888 6CF0 泰31013 7925 礥。
泰州中学2021-2022学年高二上学期期中考试数学试卷(含解析)
1江苏省泰州中学2021-2022学年度第一学期高二年级期中质量检测数学试题一、 选择题:本题共8小题,每小题5分,共40分。
在每小题给出的四个选项中,只有一项 是符合题目要求的。
130y -+=的倾斜角是 ( ) A .30︒B .45︒C .60︒D .150︒2.抛物线上一点到其焦点的距离为3.则抛物线的方程为 A .B .C .D .3.已知双曲线的一个焦点为,则其渐近线方程为 A .B .C .D .4.圆221:260O x y x y +-+=和圆222:60O x y x +-=的公共弦AB 的垂直平分线的方程是 ( ) A .2330x y -+=B .2350x y --=C .3290x y --=D .3270x y -+=5.古希腊数学家阿波罗尼奥斯采用平面切割圆锥的方法来研究圆锥曲线,用垂直于圆锥轴的平面去截圆锥,得到的截面是圆;把平面再渐渐倾斜得到的截面是椭圆.若用周长为72的矩形截某圆锥得到椭圆,且与矩形的四边相切.设椭圆在平面直角坐标系中的方程为,下列选项中满足题意的方程为A .B .C .D .6.已知双曲线的右焦点为,若以为坐标原点)为直径的圆被双曲线的一条渐近线所截得的弦长等于双曲线的虚轴长,则双曲线的离心率为2:2C y px =0(1,)y C ()24y x =28y x =212y x =216y x =221(0)y x m m +=≠(3,0)F ()y =±y =2y x =±12y x =±ABCD ττABCD τ22221(0)x y a b a b +=>>()2218116x y +=2211681x y +=22110064x y +=22164100x y +=2222:1(0,0)x y C a b a b -=>>F (OF O C C C ()2ABC .D .27.已知点在椭圆上运动,点在圆上运动,则的最小值为A .2B C . D 8.在直角坐标系xOy 中,已知直线:cos sin 1l x y θθ⋅+⋅=,当θ变化时,动直线始终没有经过点P .定点Q 的坐标(2,0)-,则||PQ 的取值范围为 ( ) A .[0,2] B .(0,2)C .[1,3]D .(1,3)二、选择题:本题共4小题,每小题5分,共20分。
- 1、下载文档前请自行甄别文档内容的完整性,平台不提供额外的编辑、内容补充、找答案等附加服务。
- 2、"仅部分预览"的文档,不可在线预览部分如存在完整性等问题,可反馈申请退款(可完整预览的文档不适用该条件!)。
- 3、如文档侵犯您的权益,请联系客服反馈,我们会尽快为您处理(人工客服工作时间:9:00-18:30)。
2020-2021学年江苏省泰州中学高二上学期10月质量检测数学试题一、单选题1.已知数列{}n a 的通项公式为()()211nn a n=--,则6a =( )A .35B .11-C .35-D .11【答案】A【解析】直接将6n =代入通项公式可得结果. 【详解】 因为()()211nn a n=--,所以626(1)(61)35a =--=.故选:A 【点睛】本题考查了根据通项公式求数列的项,属于基础题.2.对于常数mn 、,“0mn >”是“方程221mx ny -=的曲线是双曲线”的( ) A .充分不必要条件 B .必要不充分条件 C .充分必要条件 D .既不充分也不必要条件【答案】C【解析】方程221mx ny -=即为221x y m n-=,故该方程表示双曲线等价于11,m n 同号,即0mn >.所以“0mn >”是“方程221mx ny -=的曲线是双曲线”的充分必要条件.选C .3.若抛物线2x ay =的准线与椭圆2214x y +=相切,则a =( )A .﹣4或4B .4C .﹣8或8D .8【答案】A【解析】先写出抛物线的2x ay =准线方程,再利用已知条件得到14a-=±,即可得出结果. 【详解】因为抛物线2x ay =的准线方程为4a y =-,若抛物线2x ay =的准线与椭圆2214x y +=相切,则144aa -=±⇒=±, 故选:A. 【点睛】本题主要考查了抛物线的性质.属于容易题.4.《周髀算经》中一个问题:从冬至之日起,小寒、大寒、立春、雨水、惊蛰、春分、清明、谷雨、立夏、小满、芒种这十二个节气的日影子长依次成等差数列,若冬至、立春、春分的日影子长的和是37.5尺,芒种的日影子长为4.5尺,则冬至的日影子长为:( ) A .15.5尺 B .12.5尺C .10.5尺D .9.5尺【答案】A【解析】利用等差数列通项公式和前n 项和公式列方程组,求出首项和公差,由此能求出结果. 【详解】从冬至起,日影长依次记为12312,,,,a a a a ,根据题意,有14737.5a a a ++=, 根据等差数列的性质,有412.5a =, 而12 4.5a =,设其公差为d ,则有11312.511 4.5a d a d +=⎧⎨+=⎩,解得115.51a d =⎧⎨=-⎩,所以冬至的日影子长为15.5尺, 故选A. 【点睛】该题考查的是有关应用等差数列解决实际生活中的问题,涉及到的知识点有等差数列的通项公式以及前n 项和的有关量的计算,属于简单题目.5.已知等差数列{}n a 的首项和公差均不为0,且满足2527=⋅a a a ,则37112810a a a a a a ++++的值为( )A .1314B .1213C .1112D .13【答案】B【解析】设等差数列{}n a 的公差为d ,0d ≠,根据等差数列的通项公式化简2527=⋅a a a 可得110a d =-,再根据等差数列的通项公式可求得37112810a a a a a a ++++的值.【详解】设等差数列{}n a 的公差为d ,0d ≠,由2527=⋅a a a 得2111(4)()(6)a d a d a d +=++,整理得21100a d d +=,因为0d ≠,所以110a d =-,所以37112810a a a a a a ++++1131812123171313a d d a d d +-===+-.故选:B. 【点睛】本题考查了等差数列通项公式基本量的运算,属于基础题.6.设双曲线2211612x y -=的左、右焦点分别为12,F F ,过1F 的直线l 交双曲线左支于,A B 两点,则22||||AF BF +的最小值为( ) A .20 B .21C .22D .23【答案】C【解析】由题意得,4,a b ==,再由双曲线的定义可得2128AF AF a -==,2128BF BF a -==,所以2211()16AF BF AF BF +-+=,再由,A B 两点的位置特征可得AB 是双曲线的通径时,AB 最小,从而可得答案 【详解】解:由题意得,4,a b ==由双曲线的定义可得2128AF AF a -==,2128BF BF a -==, 所以2211()16AF BF AF BF +-+=,由于过双曲线的左焦点1F 的直线l 交双曲线左支于,A B 两点,可得11AF BF AB +=,当AB 是双曲线的通径时,AB 最小,即有221122()16AF BF AF BF AF BF AB +-+=+-=,所以2222212161616224b AF BF AB a ⨯+=+≥+=+=,故选:C 【点睛】此题考查两条线段和的最小值的求法,考查双曲线的定义的应用,属于中档题7.P 是椭圆()222210x y a b a b+=>>上的一点,1F ,2F 分别是椭圆的左、右焦点,点P 到原点O 的距离为焦距的一半,且12PF PF a -=,则椭圆的离心率为( )A .4B .4C .2D .2【答案】B【解析】根据椭圆的定义,结合已知、直角三角形的判定方法、勾股定理、椭圆的离心率公式进行求解即可. 【详解】因为P 是椭圆上一点,1F ,2F 分别为左、右焦点,则122PF PF a +=,而12PF PF a -=,则132PF a =,212PF a =.又因为点P 到原点O 的距离为焦距的一半,即12PO OF OF ==,故三角形12PF F 为直角三角形,则2221212PF PF F F +=,即()22231222a a c ⎛⎫⎛⎫+= ⎪ ⎪⎝⎭⎝⎭,解得2258c a =,所以e = 故选:B 【点睛】利用点P 到原点O 的距离为焦距的一半判断出三角形12PF F 为直角三角形是关键,利用勾股定理得a ,c 的关系再计算离心率.8.一个工业凹槽的轴截面是双曲线的一部分,它的方程是[]221,1,10y x y -=∈,在凹槽内放入一个清洁钢球(规则的球体),要求清洁钢球能擦净凹槽的最底部,则清洁钢球的最大半径为( )A .1B .2C .2D .2.5【答案】A【解析】设小球圆心,双曲线上的点的坐标,求出点到球心的距离的平方2r ,根据2r 在(0,1)处取到,即求清洁钢球能擦净凹槽的最底部时只需对称轴在1y =的左边,进而求出0y 的范围,求出半径的范围. 【详解】解:由题意画出曲线的图象,设小球的截面圆心为:0(0,)y ,设双曲线上的点(,)x y ,点到圆心的距离的平方22222220000()1()221r x y y y y y y y y y =+-=-+-=-+-,对称轴02y y =若2r 最小值在(0,1)时取得,则小球触及最底部,故二次函数的对称轴在1y =的左边,所以12y ,02y , 所以0211r <-=, 故选:A .【点睛】考查函数的单调性的应用,圆与双曲线的的综合应用,属于基础题.二、多选题9.已知抛物线2:4C y x =的焦点为F 、准线为l ,过点F 的直线与抛物线交于两点()11,P x y ,()22,Q x y ,点P 在l 上的射影为1P ,则 ( )A .若126x x +=,则8PQ =B .以PQ 为直径的圆与准线l 相切C .设()0,1M ,则1PM PP +≥D .过点()0,1M 与抛物线C 有且仅有一个公共点的直线至多有2条 【答案】ABC【解析】利用抛物线的定义和几何性质依次判断选项即可 【详解】对于选项A,因为2p =,所以122x x PQ ++=,则8PQ =,故A 正确;对于选项B,设N 为PQ 中点,设点N 在l 上的射影为1N ,点Q 在l 上的射影为1Q ,则由梯形性质可得111222PP QQ PF QF PQ NN ++===,故B 正确;对于选项C,因为()1,0F ,所以1PM PP PM PF MF +=+≥=故C 正确; 对于选项D,显然直线0x =,1y =与抛物线只有一个公共点,设过M 的直线为1y kx =+,联立214y kx y x=+⎧⎨=⎩,可得()222410k x k x +-+=,令0∆=,则1k =,所以直线1y x =+与抛物线也只有一个公共点,此时有三条直线符合题意,故D 错误; 故选:ABC 【点睛】本题考查抛物线的几何性质的应用,考查直线与抛物线的的交点个数问题,考查抛物线的定义的应用,考查数形结合思想和运算能力 10.下列命题正确的是( )A .给出数列的有限项就可以唯一确定这个数列的通项公式B .若等差数列{}n a 的公差0d >,则{}n a 是递增数列C .若a ,b ,c 成等差数列,则111,,a b c可能成等差数列 D .若数列{}n a 是等差数列,则数列{}12++n n a a 也是等差数列【答案】BCD【解析】根据等差数列的性质即可判断选项的正误. 【详解】A 选项:给出数列的有限项不一定可以确定通项公式;B 选项:由等差数列性质知0d >,{}n a 必是递增数列;C 选项:1a b c ===时,1111a b c===是等差数列,而a = 1,b = 2,c = 3时不成立; D 选项:数列{}n a 是等差数列公差为d ,所以11112(1)223(31)n n a a a n d a nd a n d ++=+-++=+-也是等差数列;故选:BCD 【点睛】本题考查了等差数列,利用等差数列的性质判断选项的正误,属于基础题. 11.下列判断中正确的是( )A .在ABC 中,“60B =”的充要条件是“A ,B ,C 成等差数列” B .“A >B ”是“sinA >sinB ”的充要条件 C .“a b <”是“22ac bc <”的必要不充分条件.D .命题“x R ∀∈,210x x ++>”的否定为“x R ∃∉,210x x ++≤”. 【答案】AC【解析】根据三角形内角和定理以及等差数列的定义可知选项A 正确;当56A π=,6B π=时,可得选项B 错误;当a b <且0c 时,推不出22ac bc <;当22ac bc <时,可以推出22ac bc <,故C 正确;命题“x R ∀∈,210x x ++>”的否定为“x R ∃∈,210x x ++≤”, 故D 错误.【详解】对于选项A ,若,,A B C 成等差数列,则2B A C =+,又180A B C ++=,所以2180B B =-,所以60B =;若60B =,则180601202A C B +=-==,所以,,A B C 成等差数列.故在ABC 中,“60B =”的充要条件是“A ,B ,C 成等差数列”是正确的;对于选项B ,当56A π=,6B π=时,满足A B >,但是1sin sin 2A B ==,故选项B错误;对于选项C ,当a b <且0c时,推不出22ac bc <;当22ac bc <时,2()0a b c -<,因为20c >,所以0a b ->,即a b >.故“a b <”是“22ac bc <”的必要不充分条件是正确的;对于选项D ,命题“x R ∀∈,210x x ++>”的否定为“x R ∃∈,210x x ++≤”,故D 错误. 故选:AC. 【点睛】本题考查了利用等差中项判断等差数列,考查了全称命题的否定,考查了充要条件、必要不充分条件,属于中档题.12.已知A 、B 两点的坐标分别是(1,0),(1,0)-,直线AP 、BP 相交于点P ,且两直线的斜率之积为m ,则下列结论正确的是( ) A .当1m =-时,点P 的轨迹圆(除去与x 轴的交点)B .当10m -<<时,点P 的轨迹为焦点在x 轴上的椭圆(除去与x 轴的交点)C .当01m <<时,点P 的轨迹为焦点在x 轴上的抛物线D .当1m 时,点P 的轨迹为焦点在x 轴上的双曲线(除去与x 轴的交点) 【答案】ABD 【解析】【详解】M 的坐标为(,)x y ,直线AP 的斜率为()11AP y k x x =≠-+,()11BM yk x x =≠- 由已知得,()111y ym x x x ⨯=≠±+- 化简得点M 的轨迹方程为()2211y x x m+=≠±-,对A ,当1m =-时,方程为221(1)x y x +=≠±,故A 正确;对B ,当10m -<<,方程为()2211y x x m+=≠±-,表示椭圆,故B 正确;对C ,当01m <<,方程为()2211y x x m+=≠±-,不表示抛物线,故C 错误;对D ,1m ,方程为()2211y x x m+=≠±-,表示双曲线线,故D 正确;故选:ABD. 【点睛】本题考查曲线的轨迹方程、直线的斜率公式,考查函数与方程思想、转化与化归思想,考查逻辑推理能力和运算求解能力,求解时注意轨迹要挖去不符合要求的点.三、双空题13.已知命题p :x ∀[0,]4π∈,tan x m ≤, 命题q : []0,3x ∃∈,使得不等式220x x m -+≥成立,若命题p 为真命题,则实数m 的最小值为________; 若命题p和命题q 有且仅有一个是真命题,则实数m 的取值范围是________. 【答案】1 31m -≤<【解析】(1)利用函数tan y x =单调性可解出实数m 的取值范围;(2)先求出命题q 为真命题时实数m 的取值范围,再分析命题p 、q 中一个是真命题,一个是假命题,即可的得出实数m 的取值范围. 【详解】(1)因为tan y x =在[0,]4x π∈是单调递增函数,且01y ≤≤,所以命题 p :x ∀[0,]4π∈,tan x m ≤是真命题时,1m ≥,所以m 的最小值是1;(2)命题q 为真命题时,即[]0,3x ∃∈,使得不等式220x x m -+≥成立, 得22m x x ≥-,令2()=(1)1f x x --+,因为[]0,3x ∈,[]2(1)4,0x --∈-,所以3()1f x -≤≤,所以实数3m ≥-,当命题p 为真命题q 为假命题时,即1<3m m ≥⎧⎨-⎩不等式组无解,当命题p 为假命题q 为真命题时,即13m m <⎧⎨≥-⎩,31m -≤<,命题p 和命题q 有且仅有一个是真命题,实数m 的取值范围是31m -≤<, 故答案为:①1;②31m -≤<. 【点睛】本题考查利用命题的真假、利用复合命题的真假求参数问题,解题的关键就是要确定简单命题的真假,考查分类讨论思想的应用,属于中等题.四、填空题14.过点(3,-1)且与双曲线2213x y -=有公共渐近线的双曲线标准方程是_________.【答案】22162x y -=【解析】利用待定系数法设出所求双曲线标准方程,再将点(3,-1)代入可解得结果. 【详解】设与双曲线2213x y -=有公共渐近线的双曲线标准方程是223x y λ-=(0)λ≠,因为双曲线223x y λ-=过(3,1)-,所以29(1)3λ--=,即2λ=,所以所求双曲线的标准方程为22162x y -=.故答案为:22162x y -=.【点睛】本题考查了利用待定系数法求共渐近线的双曲线方程,属于基础题. 15.若数列{}n a 满足111+-=n nd a a (*,n N d ∈为常数),则称数列{}n a 为调和数列.已知数列1n b ⎧⎫⎨⎬⎩⎭为调和数列,12320300,++++=b b b b 且378+=b b 则16=b ______.【答案】26【解析】由调和数列的定义可得{}n b 是公差为d 的等差数列,再由等差数列的性质和求和公式,即可得出结果. 【详解】由数列1n b ⎧⎫⎨⎬⎩⎭为调和数列,可得1111111n n n n b b d b b +++-=-=(n N ∈,d 为常数),∴{}n b 是公差为d 的等差数列, 又12320300b b b b ++++=,∴120203002b b +⨯=,∴12030b b +=,又378+=b b ,∴54b =,∴51612030b b b b +=+=,∴1626b =, 故答案为:26. 【点睛】本题考查新定义的理解和运用,考查等差数列的定义和性质,以及求和公式,考查运算能力,属于中档题.16.已知12,F F 为椭圆2214x y +=的左、右焦点,P 是椭圆上异于顶点的任意一点,点Q 是12F PF △内切圆的圆心,过F 作1F M PQ ⊥于M ,O 为坐标原点,则OM 的取值范围为________. 【答案】()03,【解析】延长2PF ,与1F M 交于点N ,连接OM ,由已知得PQ 平分12F PF ∠,根据平面几何知识得1PF PN =,点M 是1F N 的中点,由中位线的性质得21211322OM F N F F c =<==,可求得OM 的取值范围. 【详解】延长2PF ,与1F M 交于点N ,连接OM ,因为点Q 是12F PF △内切圆的圆心,所以PQ 平分12F PF ∠,因为1F M PQ ⊥,所以1PF PN =,所以点M 是1F N 的中点,又因为点O 是12F F 的中点, 所以()()222121111132222OM F N PN PF PF PF F F c ==-=-<==,所以OM 的取值范围为()03,,故答案为:()03,.【点睛】本题考查椭圆焦点三角形的问题,内切圆的圆心的性质,属于中档题.五、解答题17.在等差数列{}n a 中,已知470a =,21100=-a . (1)求出首项1a 与公差d ,并写出通项公式; (2){}n a 中有多少项属于区间[]18,18-?【答案】(1)1100,10==-a d ,10110=-+n a n ;(2)3项.【解析】(1)设等差数列{}n a 的公差为d ,利用已知条件列出方程组,解出1,a d ,利用等差数列的公式求解即可;(2)由181010018-≤-+≤n ,求出满足题意的n ,即可得出结果. 【详解】解:设等差数列{}n a 的公差为d , 由470a =,21100=-a , 得4121137020100a a d a a d =+=⎧⎨=+=-⎩,解得1100,10==-a d ,1(1)100(1)(10)10110∴=+-=+--=-+n a a n d n n .(2)由181011018n -≤-+≤, 得9.212.8≤≤n ,*n N ∈,10,11,12n ∴=共三项.【点睛】本题主要考查了等差数列的相关知识.属于较易题.18.已知命题p :实数m 满足的方程221(0)34x y a m a m a +=>--表示双曲线,命题q :实数m 满足的方程21x m -+22y m-=1表示焦点在y 轴上的椭圆.(1)若命题p 为真命题,求实数m 的取值范围; (2)若p 是q 的充分不必要条件,求a 的取值范围.【答案】(1)()3,4a a ;(2)1338a ≤≤. 【解析】(1)根据()()340--<m a m a 可解得结果;(2)求出命题q 为真时a 的范围,再将p 是q 的充分不必要条件,转化为真子集关系列式可求得结果. 【详解】(1)若命题p 为真,即方程221(0)34x y a m a m a+=>--表示双曲线,所以()()340--<m a m a ,解得34a m a <<,即()3,4∈m a a .(2)若命题q 为真,即21x m -+22ym-=1表示焦点在y 轴上的椭圆成立,则210m m ->->,解得312m <<,记B =3(1,)2. 由(1)知,记A =()3,4a a ,因为p 是q 的充分不必要条件,所以A 是 B 的真子集,故31342a a ≥⎧⎪⎨<⎪⎩或31342a a >⎧⎪⎨≤⎪⎩,解得1338a ≤≤. 所以实数a 的取值范围为1338a ≤≤. 【点睛】本题考查了由命题的真假求参数的取值范围,考查了椭圆和双曲线的标准方程,考查了充分不必要条件,考查了根据集合之间的关系求参数的取值范围,考查了转化化归思想,属于中档题.19.已知数列{}n a 中,135a =,112nn a a -=-(*2,n n N ≥∈),数列{}n b 满足11n n b a =-(*n N ∈). (1)求证:数列{}n b 是等差数列;(2)求数列{}n a 中的最大项和最小项,并说明理由.【答案】(1)证明见解析;(2)最大项43a =,最小项31a =-,理由见解析. 【解析】(1)根据等差数列的定义和递推公式,可化简11n n b b --=,进而证明结果;(2)根据(1)求出数列{}n b 的通项公式,进而求出数列{}n a 的通项公式可求,然后利用数列的函数特性可求其最大项和最小项. 【详解】(1)证明:因为11n n b a =- (*n N ∈), 121n n a a =--(*2,n n N ≥∈), 所以111111111111121n n n n n n b b a a a a -----=-=-=-----又111512b a ==--, 所以数列{b n }是等差数列. (2)由(1)得,1527(1)122-==-+-=-n n n b n a ,所以2127n a n =+-. 当*4,,≥∈n n N 数列{}n a 单调递减;当*3,,≤∈n n N 数列{}n a 单调递减. 又1343,1,35==-=a a a ,当4n ≥时,1n a >. 所以,数列{}n a 的最大项43a =,最小项31a =-. 【点睛】本题考查数列递推公式的应用,等差数列的证明,数列的函数特性,利用数列的函数特性求出数列的最大值和最小值是解决本题的关键,属于中档题. 20.已知双曲线C()在双曲线上,且抛物线22y px =()0p >的焦点F 与双曲线的一个焦点重合.(1)求双曲线和抛物线的标准方程;(2)过焦点F 作一条直线l 交抛物线于A ,B 两点,当直线lAB 的长度.【答案】(1)22193x y -=;2y =;(2)3. 【解析】(1)设双曲线的方程为22221x y a b-=(0a >,0b >),根据双曲线C 的离心()在双曲线上,得到关于a ,b 的方程组解方程组可求双曲线的方程,则抛物线的焦点可求,其方程易解.(2)联立直线l 和抛物线方程,得到两根之和,根据抛物线的焦半径公式易求线段AB 的长度. 【详解】解:(1)设双曲线的方程为22221x y a b -=(0a >,0b >),由题设c a =所以3b a =①,又点()在双曲线上,所以221211a b -=② 由①②解得29a =,23b =,故双曲线标准方程为22193x y -=;设双曲线的焦距为2c ,因为22212c a b =+=,得c =,所以抛物线焦点为()F ,即2pp =⇒=2y =. (2)设直线y x =-交抛物线于()11,A x y ,()22,B x y ,联立2y x y ⎧=-⎪⎨⎪=⎩,得23360x -+=,故12x x +=由抛物线定义知12pAF x =+,22p BF x =+,所以1233AB x x p =++=+=. 【点睛】考查双曲线和抛物线的标准方程的求法以及抛物线焦半径公式的应用,中档题.21.已知椭圆()2222:10x y C a b a b +=>>其右顶点为A ,下顶点为B ,定点()0,2C ,ABC ∆的面积为3,过点C 作与y 轴不重合的直线l 交椭圆C 于,P Q 两点,直线,BP BQ 分别与x 轴交于,M N 两点.(1)求椭圆C 的方程;(2)试探究,M N 的横坐标的乘积是否为定值,说明理由.【答案】(1)2214x y +=;(2)是,理由见解析. 【解析】(1)求出a ,b 代入即可;(2)设直线PQ 的方程为2y kx =+,P ,Q 的坐标分别为()()1122,,,P x y Q x y ,求出M ,N 的横坐标,12122121212(1)(1)3()9M N x x x x x x y y k x x k x x ⋅==+++++,利用直线和椭圆联立,由韦达定理得1221214x x k =+,1221614kx x k+=-+,即可求出. 【详解】(1)由已知,,A B 的坐标分别是()(),0,0,A a B b -由于ABC ∆的面积为3,1(2)32b a ∴+=,又由3e =2a b =, 解得:=1b ,或=3b -(舍去),2,=1a b ∴=∴椭圆方程为2214x y +=; (2)设直线PQ 的方程为2y kx =+,,P Q 的坐标分别为()()1122,,,P x y Q x y 则直线BP 的方程为1111y y x x +=-,令0y =,得点M 的横坐标111M xx y =+ 直线BQ 的方程为2211y y x x +=-,令0y =,得点N 的横坐标221N x x y =+ 1212(1)(1)M N x x x x y y ∴⋅=++1212(3)(3)x x kx kx =++12212123()9x x k x x k x x =+++把直线2y kx =+代入椭圆2214x y +=得22(14)16120k x kx +++=由韦达定理得1221214x x k =+,1221614kx x k +=-+ ∴222221214124891414M N k x x k k k k+==-+++22212412489363k k k =-++,是定值. 【点睛】本题考查了椭圆的方程,直线与椭圆的综合,圆锥曲线的定值问题,属于中档题.22.已知椭圆()2222:10x y C a b a b+=>>的左右顶点分别为A 和B ,离心率为12,且点31,2T ⎛⎫⎪⎝⎭在椭圆上. (1)求椭圆C 的方程;(2)过点M (1,0)作一条斜率不为0的直线交椭圆于P ,Q 两点,连接AP 、BQ ,直线AP 与BQ 交于点N ,探求点N 是否在一条定直线上,若在,求出该直线方程;若不在,请说明理由.【答案】(1)22143x y +=;(2)在,x =4. 【解析】(1)根据离心率及椭圆上的点可求出椭圆的标准方程; (2)设直线PQ 的方程为1x my =+,联立方程,直线AP 的方程为11(2)2y y xx ,直线BQ 的方程为22(2)2y y x x =--,求出交点,由根与系数关系化简即可. 【详解】 (1)由题设,12c a =,221914ab +=,且222a bc =+所以224,3a b ==,∴椭圆方程为22143x y +=;(2)由(1)知,A (-2,0),B (2,0),设直线PQ 的方程为1x my =+,联立方程组221431x y x my ⎧+=⎪⎨⎪=+⎩,得22(34)690m y my ++-=, 因为>0∆,设()()1122,,,P x y Q x y , 所以12122269,3434m y y y y m m --+==++, 设直线AP 的方程为11(2)2y yxx ,直线BQ 的方程为22(2)2y y x x =--, 则1212(2)(2)22y y x x x x +=-+-,即21211212(2)(3)22(2)(1)+++==---y x y my x x y x y my , 而12123()2my y y y =+, ∴121239222313222++==-+y y x x y y, ∴x =4,即直线AP 与直线BQ 的交点在直线x =4上. 【点睛】本题主要考查了椭圆的标准方程,椭圆的简单几何性质,椭圆中的定值问题,属于中档题.。