完整word版,高等数学常用积分公式查询表
(完整word版)高等数学公式补充三角函数公式

此文档分为两部分:高等数学公式(13页)和补充的三角函数公式(7页)。
声明:源材料来自网络,自己稍加整理。
第一部分:高等数学公式导数公式:基本积分表:ax x a a a ctgx x x tgx x x xctgx x tgx a x x ln 1)(log ln )(csc )(csc sec )(sec csc )(sec )(22='='⋅-='⋅='-='='222211)(11)(11)(arccos 11)(arcsin x arcctgx x arctgx x x x x +-='+='--='-='⎰⎰⎰⎰⎰⎰⎰⎰⎰⎰+±+=±+=+=+=+-=⋅+=⋅+-==+==Ca x x a x dx C shx chxdx C chx shxdx Ca a dx a Cx ctgxdx x Cx dx tgx x Cctgx xdx x dx C tgx xdx x dx xx)ln(ln csc csc sec sec csc sin sec cos 22222222C axx a dx C x a xa a x a dx C a x ax a a x dx C a xarctg a x a dx Cctgx x xdx C tgx x xdx Cx ctgxdx C x tgxdx +=-+-+=-++-=-+=++-=++=+=+-=⎰⎰⎰⎰⎰⎰⎰⎰arcsin ln 21ln 211csc ln csc sec ln sec sin ln cos ln 22222222⎰⎰⎰⎰⎰++-=-+-+--=-+++++=+-===-Cax a x a x dx x a Ca x x a a x x dx a x Ca x x a a x x dx a x I nn xdx xdx I n n nn arcsin 22ln 22)ln(221cos sin 2222222222222222222222ππ三角函数的有理式积分:222212211cos 12sin u dudx x tg u u u x u u x +==+-=+=, , , 一些初等函数: 两个重要极限:三角函数公式: ·诱导公式:·和差角公式: ·和差化积公式:2sin2sin 2cos cos 2cos2cos 2cos cos 2sin2cos 2sin sin 2cos2sin2sin sin βαβαβαβαβαβαβαβαβαβαβαβα-+=--+=+-+=--+=+αββαβαβαβαβαβαβαβαβαβαβαctg ctg ctg ctg ctg tg tg tg tg tg ±⋅=±⋅±=±=±±=±1)(1)(sin sin cos cos )cos(sin cos cos sin )sin(μμμxxarthx x x archx x x arshx e e e e chx shx thx e e chx ee shx x xxx xx xx -+=-+±=++=+-==+=-=----11ln21)1ln(1ln(:2:2:22)双曲正切双曲余弦双曲正弦...590457182818284.2)11(lim 1sin lim 0==+=∞→→e xxx x x x·倍角公式:·半角公式:ααααααααααααααααααcos 1sin sin cos 1cos 1cos 12cos 1sin sin cos 1cos 1cos 122cos 12cos 2cos 12sin -=+=-+±=+=-=+-±=+±=-±=ctg tg·正弦定理:R CcB b A a 2sin sin sin === ·余弦定理:C ab b a c cos 2222-+=·反三角函数性质:arcctgx arctgx x x -=-=2arccos 2arcsin ππ高阶导数公式——莱布尼兹(Leibniz )公式:)()()()2()1()(0)()()(!)1()1(!2)1()(n k k n n n n nk k k n k n n uv v u k k n n n v u n n v nu v u v u C uv +++--++''-+'+==---=-∑ΛΛΛ中值定理与导数应用:拉格朗日中值定理。
高数微积分公式大全

高等数学微积分公式大全一、基本导数公式⑴()0c '= ⑵1x xμμμ-= ⑶()sin cos x x '=⑷()cos sin x x '=- ⑸()2tan sec x x '= ⑹()2cot csc x x '=- ⑺()sec sec tan x x x '=⋅ ⑻()csc csc cot x x x '=-⋅⑼()xxee'= ⑽()ln xxaaa '= ⑾()1ln x x'=⑿()1log ln xax a'= ⒀()arcsin x '= ⒁()arccos x '=⒂()21arctan 1x x '=+ ⒃()21arccot 1x x '=-+⒄()1x '=⒅'=二、导数的四则运算法则()u v u v '''±=± ()uv u v uv '''=+ 2u u v uv v v '''-⎛⎫= ⎪⎝⎭三、高阶导数的运算法则 (1)()()()()()()()n n n u x v x u x v x ±=±⎡⎤⎣⎦ (2)()()()()n n cu x cu x =⎡⎤⎣⎦(3)()()()()n n nu ax b a uax b +=+⎡⎤⎣⎦(4)()()()()()()()0nn n k k k n k u x v x c u x v x -=⋅=⎡⎤⎣⎦∑ 四、基本初等函数的n 阶导数公式 (1)()()!n nxn = (2)()()n ax b n ax b e a e ++=⋅ (3)()()ln n x x n a a a =(4)()()sin sin 2n n ax b a ax b n π⎛⎫+=++⋅⎡⎤ ⎪⎣⎦⎝⎭ (5) ()()cos cos 2n nax b a ax b n π⎛⎫+=++⋅⎡⎤ ⎪⎣⎦⎝⎭(6)()()()11!1n n nn a n ax b ax b +⋅⎛⎫=- ⎪+⎝⎭+ (7) ()()()()()11!ln 1n n n na n axb ax b -⋅-+=-⎡⎤⎣⎦+五、微分公式与微分运算法则 ⑴()0d c = ⑵()1d xxdx μμμ-= ⑶()sin cos d x xdx =⑷()cos sin d x xdx =- ⑸()2tan sec d x xdx = ⑹()2cot csc d x xdx =- ⑺()sec sec tan d x x xdx =⋅ ⑻()csc csc cot d x x xdx =-⋅ ⑼()xx d ee dx = ⑽()ln x x d a a adx = ⑾()1ln d x dx x=⑿()1logln xad dx x a =⒀()arcsin d x =⒁()arccos d x = ⒂()21arctan 1d x dx x =+ ⒃()21arccot 1d x dx x=-+ 六、微分运算法则⑴()d u v du dv ±=± ⑵()d cu cdu = ⑶()d uv vdu udv =+ ⑷2u vdu udvd v v -⎛⎫= ⎪⎝⎭七、基本积分公式⑴kdx kx c =+⎰ ⑵11x x dx c μμμ+=++⎰ ⑶ln dxx c x=+⎰ ⑷ln xxa a dx c a=+⎰ ⑸x x e dx e c =+⎰ ⑹cos sin xdx x c =+⎰ ⑺sin cos xdx x c =-+⎰⑻221sec tan cos dx xdx x c x ==+⎰⎰ ⑼221csc cot sin xdx x c x ==-+⎰⎰⑽21arctan 1dx x c x =++⎰ ⑾arcsin x c =+八、补充积分公式tan ln cos xdx x c =-+⎰ cot ln sin xdx x c =+⎰ sec ln sec tan xdx x x c =++⎰ csc ln csc cot xdx x x c =-+⎰2211arctan xdx c a x a a=++⎰ 2211ln 2x adx c x a a x a-=+-+⎰arcsinxc a=+ ln x c =+十、分部积分法公式⑴形如n ax x e dx ⎰,令nu x =,axdv e dx =形如sin n x xdx ⎰令nu x =,sin dv xdx =形如cos n x xdx ⎰令nu x =,cos dv xdx =⑵形如arctan nx xdx ⎰,令arctan u x =,ndv x dx =形如ln nx xdx ⎰,令ln u x =,ndv x dx =⑶形如sin axe xdx ⎰,cos ax e xdx ⎰令,sin ,cos axu e x x =均可。
29、高等数学积分公式大全

(a b)
第 7 页 共 12 页
天道酬勤,人道酬善
(十一)含有三角函数的积分
83. sin xdx = cos x C
84. cos xdx = sin x C
85. tan xdx = ln cos x C
86. cot xdx = ln sin x C
87.
sec
xdx
x2 a2
34.
x dx = 1 C
(x2 a2)3
x2 a2
35.
x2 dx = x x2 a2 a 2 ln(x x2 a2 ) C
x2 a2
2
2
第 3 页 共 12 页
天道酬勤,人道酬善
36.
x2
dx = x ln( x x2 a2 ) C
(x2 a2)3
=
ln
tan(
4
x) 2
C
=
ln
sec
x
tan
x
C
88. csc xdx = ln
tan x 2
C
= ln
csc x cot x
C
89. sec2 xdx = tan x C
90. csc2 xdx = cot x C
91. sec x tan xdx = sec x C
92. csc x cot xdx = csc x C
x2 a2
48.
x
dx = 1 C
(x2 a2)3
x2 a2
第 4 页 共 12 页
天道酬勤,人道酬善
49.
x2 dx = x x2 a2 a 2 ln x x2 a2 C
x2 a2
2
2
50.
高数公式大全(全)

高数公式大全1.基本积分表:三角函数的有理式积分:222212211cos 12sin u dudx x tg u u u x u u x +==+-=+=, , , 一些初等函数: 两个重要极限:⎰⎰⎰⎰⎰⎰⎰⎰⎰⎰+±+=±+=+=+=+-=⋅+=⋅+-==+==Ca x x a x dx C shx chxdx C chx shxdx Ca a dx a Cx ctgxdx x C x dx tgx x Cctgx xdx x dx C tgx xdx x dx xx)ln(ln csc csc sec sec csc sin sec cos 22222222C axx a dx C x a xa a x a dx C a x ax a a x dx C a xarctg a x a dx Cctgx x xdx C tgx x xdx Cx ctgxdx C x tgxdx +=-+-+=-++-=-+=++-=++=+=+-=⎰⎰⎰⎰⎰⎰⎰⎰arcsin ln 21ln 211csc ln csc sec ln sec sin ln cos ln 22222222⎰⎰⎰⎰⎰++-=-+-+--=-+++++=+-===-Cax a x a x dx x a Ca x x a a x x dx a x Ca x x a a x x dx a x I nn xdx xdx I n n nn arcsin 22ln 22)ln(221cos sin 2222222222222222222222ππx x arshx e e e e chx shx thx e e chx e e shx x xxx xx xx ++=+-==+=-=----1ln(:2:2:2)双曲正切双曲余弦双曲正弦...590457182818284.2)11(lim 1sin lim0==+=∞→→e xxxx x x三角函数公式: ·诱导公式:·和差角公式: ·和差化积公式:2sin2sin 2cos cos 2cos2cos 2cos cos 2sin2cos 2sin sin 2cos2sin2sin sin βαβαβαβαβαβαβαβαβαβαβαβα-+=--+=+-+=--+=+αββαβαβαβαβαβαβαβαβαβαβαctg ctg ctg ctg ctg tg tg tg tg tg ±⋅=±⋅±=±=±±=±1)(1)(sin sin cos cos )cos(sin cos cos sin )sin(·倍角公式:·半角公式:ααααααααααααααααααcos 1sin sin cos 1cos 1cos 12cos 1sin sin cos 1cos 1cos 122cos 12cos 2cos 12sin -=+=-+±=+=-=+-±=+±=-±=ctg tg·正弦定理:R CcB b A a 2sin sin sin === ·余弦定理:C ab b a c cos 2222-+= ·反三角函数性质:arcctgx arctgx x x -=-=2arccos 2arcsin ππ高阶导数公式——莱布尼兹(Leibniz )公式:)()()()2()1()(0)()()(!)1()1(!2)1()(n k k n n n n nk k k n k n n uv v u k k n n n v u n n v nu v u v u C uv +++--++''-+'+==---=-∑中值定理与导数应用:拉格朗日中值定理。
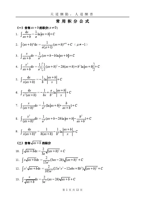
高等数学常用积分公式查询表之欧阳文创编

ax x a a a ctgx x x tgx x x x ctgx x tgx a x x ln 1)(log ln )(csc )(csc sec )(sec csc )(sec )(22='='⋅-='⋅='-='='222211)(11)(11)(arccos 11)(arcsin x arcctgx x arctgx x x x x +-='+='--='-='⎰⎰⎰⎰⎰⎰⎰⎰⎰⎰+±+=±+=+=+=+-=⋅+=⋅+-==+==Ca x x a x dx C shx chxdx C chx shxdx Ca a dx a Cx ctgxdx x C x dx tgx x Cctgx xdx x dx C tgx xdx x dx xx)ln(ln csc csc sec sec csc sin sec cos 22222222C axx a dx C x a xa a x a dx C a x ax a a x dx C a xarctg a x a dx Cctgx x xdx C tgx x xdx Cx ctgxdx C x tgxdx +=-+-+=-++-=-+=++-=++=+=+-=⎰⎰⎰⎰⎰⎰⎰⎰arcsin ln 21ln 211csc ln csc sec ln sec sin ln cos ln 22222222⎰⎰⎰⎰⎰++-=-+-+--=-+++++=+-===-Cax a x a x dx x a Ca x x a a x x dx a x Ca x x a a x x dx a x I nn xdx xdx I n n nn arcsin 22ln 22)ln(221cos sin 2222222222222222222222ππ基本积分表:三角函数的有理式积分: (一)含有ax b +的积分(0a ≠) 1.d xax b +⎰=1ln ax b C a++2.()d ax b x μ+⎰=11()(1)ax b C a μμ++++(1μ≠-)3.d x x ax b +⎰=21(ln )ax b b ax b C a+-++4.2d x x ax b +⎰=22311()2()ln 2ax b b ax b b ax b C a ⎡⎤+-++++⎢⎥⎣⎦5.d ()xx ax b +⎰=1ln ax b C b x+-+ 6.2d ()xx ax b +⎰=21ln a ax b C bx b x +-++ 7.2d ()x x ax b +⎰=21(ln )b ax b C a ax b++++ 8.22d ()x x ax b +⎰=231(2ln )b ax b b ax b C a ax b+-+-++ 9.2d ()xx ax b +⎰=211ln ()ax b C b ax b b x +-++的积分10.x =C +11.x ⎰=22(3215ax b C a- 12.xx⎰=22232(15128105a x abx b C a-+ 13.x=22(23ax b C a -14.2x=22232(34815a x abx b C a -+ 15.=(0)(0)C b C b ⎧+><16.2abx b --17.d x x ⎰=b ⎰18.2d x x ⎰=2a +(三)含有22x a ±的积分 19.22d x x a +⎰=1arctan x C aa+20.22d ()nx x a +⎰=2221222123d 2(1)()2(1)()n n x n xn a x a n a x a ---+-+-+⎰21.22d xx a-⎰=1ln 2x a C a x a -++ (四)含有2(0)ax b a +>的积分22.2d x ax b +⎰=(0)(0)C b C b ⎧+>+<23.2d x x ax b +⎰=21ln 2ax b C a++ 24.22d x x ax b +⎰=2d x b xa a ax b-+⎰25.2d ()x x ax b +⎰=221ln 2x C b ax b ++ 26.22d ()x x ax b +⎰=21d a xbx b ax b--+⎰ 27.32d ()x x ax b +⎰=22221ln 22ax b aC b x bx+-+28.22d ()x ax b +⎰=221d 2()2x xb ax b b ax b+++⎰ (五)含有2ax bx c ++(0)a >的积分 29.2d x ax bx c++⎰=22(4)(4)C b ac C b ac +<+>30.2d x x ax bx c ++⎰=221d ln 22b x ax bx c a a ax bx c++-++⎰(0)a >的积分31.=1arsh x C a+=ln(x C ++32.C +33.x C34.x =C +35.2x 2ln(2a x C ++36.2x =ln(x C +++37.1ln aC a x +38.C +39.x =2ln(2a x C ++40.x=2243(25ln(88x x a a x C +++41.x ⎰=C +42.x x ⎰=422(2ln(88x a x a x C +++43.d x x ⎰ln a a C x+44.2d x x ⎰=ln(x C x-+++(0)a >的积分45.=1arch xx C xa+=ln x C ++46.C +47.x C48.x =C +49.2x 2ln 2a x C +++50.2x =ln x C +++51.1arccos aC a x +52.2C a x+53.x 2ln 2a x C -++54.x=2243(25ln 88x x a a x C -++55.x ⎰=C56.xx⎰=422(2ln 88x a x a x C -++57.x arccos aa C x-+58.x =ln x C +++(0)a >的积分59.=arcsin x C a+60.C +61.x =C +62.x C +63.2x =2arcsin 2a x C a ++64.2x arcsinxC a-+65.1C a +66.2C a x -+67.x 2arcsin 2a x C a+68.x =2243(52arcsin 88x xa x a C a-+69.x ⎰=C70.x x ⎰=422(2arcsin 88x a x x a C a-+71.x ln a a C x++72.x =arcsin xC a-+(0)a >的积分73.2ax b C +++74.x75.x =76.=C +77.x=2C+78.x=C++79.x=((x b b a C--+80.x=((x b b a C-+-81.C()a b<82.x=2()arcsin4b aC-+(十一)含有三角函数的积分83.sin d x x⎰=cos x C-+84.cos d x x⎰=sin x C+85.tan d x x ⎰=ln cos x C -+ 86.cot d x x ⎰=ln sin x C + 87.sec d x x ⎰=ln tan()42xC π++=ln sec tan x x C ++ 88.csc d x x ⎰=ln tan2xC +=ln csc cot x x C -+ 89.2sec d x x ⎰=tan x C + 90.2csc d x x ⎰=cot x C -+ 91.sec tan d x x x ⎰=sec x C + 92.csc cot d x x x ⎰=csc x C -+ 93.2sin d x x ⎰=1sin 224x x C -+94.2cos d x x ⎰=1sin 224x x C ++95.sin d n x x ⎰=1211sin cos sin d n n n x x x x n n----+⎰96.cos d n x x ⎰=1211cos sin cos d n n n x x x x n n ---+⎰97.d sin n x x ⎰=121cos 2d 1sin 1sin n n x n xn x n x----⋅+--⎰ 98.d cos n x x ⎰=121sin 2d 1cos 1cos n n x n xn x n x---⋅+--⎰ 99.cossin d mn x x x⎰=11211cos sin cos sin d m n m nm x x x x x m n m n-+--+++⎰ =11211cos sin cos sin d m n m n n x x x x x m n m n+----+++⎰100.sin cos d ax bx x⎰=11cos()cos()2()2()a b x a b x C a b a b -+--++-101.sin sin d ax bx x⎰=11sin()sin()2()2()a b x a b x C a b a b -++-++-102.cos cos d ax bx x⎰=11sin()sin()2()2()a b x a b x C a b a b ++-++-103.d sin x a b x +⎰=tan xa b C ++22()a b >104.d sin x a b x+⎰=C+22()a b <105.d cos x a b x+⎰=)2xC+22()a b >106.d cos xa b x+⎰=C+22()a b<107.2222dcos sinxa xb x+⎰=1arctan(tan)bx Cab a+108.2222dcos sinxa xb x-⎰=1tanln2tanb x aCab b x a++-109.sin dx ax x⎰=211sin cosax x ax Ca a-+110.2sin dx ax x⎰=223122cos sin cosx ax x ax ax Ca a a-+++ 111.cos dx ax x⎰=211cos sinax x ax Ca a++112.2cos dx ax x⎰=223122sin cos sinx ax x ax ax Ca a a+-+(十二)含有反三角函数的积分(其中0a>)113.arcsin d x xa⎰=arcsin xx Ca+114.arcsin d xx xa⎰=22()arcsin24x a xCa-+115.2arcsin d xx xa⎰=3221arcsin(239x xx a Ca+++116.arccos d x xa⎰=arccos xx Ca117.arccos d xx xa⎰=22()arccos24x a xCa--+ 118.2arccos d xx xa⎰=3221arccos(239x xx a Ca-++119.arctan d x xa⎰=22arctan ln()2x ax a x Ca-++120.arctan d x x x a⎰=221()arctan 22x a a x x C a+-+121.2arctan d xx x a⎰=33222arctan ln()366x x a a x a x C a -+++(十三)含有指数函数的积分122.d x a x ⎰=1ln xa C a+ 123.e d ax x ⎰=1e ax C a+124.e d ax x x ⎰=21(1)e ax ax C a-+125.e d n ax x x ⎰=11e e d n ax n ax n x x x a a--⎰126.d x xa x ⎰=21ln (ln )x x x a a C a a -+ 127.d n x x a x ⎰=11d ln ln n x n x nx a x a x a a--⎰ 128.e sin d ax bx x ⎰=221e (sin cos )ax a bx b bx C a b-++129.e cos d ax bx x ⎰=221e (sin cos )ax b bx a bx C a b+++130.e sin d ax n bx x ⎰=12221e sin (sin cos )ax n bx a bx nb bx a b n--+131.e cos d ax n bx x ⎰=12221e cos (cos sin )ax n bx a bx nb bx a b n-++ (十四)含有对数函数的积分 132.ln d x x ⎰=ln x x x C -+133.d ln xx x⎰=ln ln x C +134.ln d n x x x ⎰=111(ln )11n x x C n n +-+++135.(ln )d n x x ⎰=1(ln )(ln )d n n x x n x x --⎰136.(ln )d m n x x x ⎰=111(ln )(ln )d 11m n m n n x x x x x m m +--++⎰(十五)含有双曲函数的积分 137.sh d x x ⎰=ch x C + 138.ch d x x ⎰=sh x C + 139.th d x x ⎰=lnch x C +140.2sh d x x ⎰=1sh224x x C -++141.2ch d x x ⎰=1sh224x x C ++(十六)定积分142.cos d nx x π-π⎰=sin d nx x π-π⎰=0 143.cos sin d mx nx x π-π⎰=0144.cos cos d mx nx x π-π⎰=0,,m nm n ≠⎧⎨π=⎩145.sin sin d mx nx x π-π⎰=0,,m nm n≠⎧⎨π=⎩146.0sin sin d mx nx x π⎰=0cos cos d mx nx x π⎰=0,,2m n m n ≠⎧⎪⎨π=⎪⎩147. n I =20sin d nx x π⎰=20cos d n x x π⎰n I =21n n I n-- 1342253n n n I n n --=⋅⋅⋅⋅- (n为大于1的正奇数),1I =113312422n n n I n n --π=⋅⋅⋅⋅⋅-(n 为正偶数),0I =2π。
高数积分总结Word版

第四章 一元函数的积分及其应用第一节 不定积分一、原函数与不定积分的概念定义1.设)(x f 是定义在某区间的已知函数,若存在函数)(x F ,使得)()(x f x F ='或dx x f x dF )()(=,则称)(x F 为)(x f 的一个原函数定义2.函数)(x f 的全体原函数C x F +)(叫做)(x f 的不定积分,,记为: ⎰+=C x F x x f )(d )(其中 )(x f 叫做被积函数 x x f d )(叫做被积表达式 C 叫做积分常数“⎰”叫做积分号 二、不定积分的性质和基本积分公式性质1. 不定积分的导数等于被积函数,不定积分的微分等于被积表达式,即()⎰=='⎰x x f x x f x f x x f d )(d )(d )(d )(;. 性质2. 函数的导数或微分的不定积分等于该函数加上一个任意函数,即⎰+=+=⎰'C x f x f C x f x x f )()(d ,)(d )(或 性质3. 非零的常数因子可以由积分号内提出来,即⎰≠=⎰)0(d )(d )(k x x f k x x kf .性质4. 两个函数的代数和的不定积分等于每个函数不定积分的代数和,即[]⎰⎰±=⎰±x x g x x f x x g x f d )(d )(d )()(基本积分公式 (1)⎰+=C kx x k d (k 为常数) (2)C x x x ++=⎰+111d μμμ(1-≠μ) (3)C x x x +=⎰ln d 1 (4)⎰+=C e dx e x x (5)⎰+=C a a x a x x ln d (6)⎰+=C x x x sin d cos (7)⎰+-=C x x x cos d sin (8)⎰+=C x x x tan d sec 2 (9)⎰+-=C x x x cot d csc 2 (10)⎰+=C x x x x sec d tan sec(11)⎰+-=C x x x x csc d cot csc (12)⎰++=C x x x x tan sec ln d sec三、换元积分法和分部积分法定理1. 设)(x ϕ可导,并且.)(d )(⎰+=C u F u u f 则有Cx F x u C u F u u f x u x x f xx x f +=+⎰=⎰'⎰))(()()(d )()()(d )]([d )()]([ϕϕϕϕϕϕϕ代回令凑微分 该方法叫第一换元积分法(integration by substitution),也称凑微分法.定理 2.设)(t x ϕ=是可微函数且0)(≠'t ϕ,若)())((t t f ϕϕ'具有原函数)(t F ,则()()d x t f x xϕ=⎰换元 ()()()()()11d .t x f t t t F t C F x C ϕϕϕϕ--='⎡⎤⎡⎤++⎣⎦⎣⎦⎰积分回代该方法叫第二换元积分法:)d (的原则或及选取v v u ' 1) v 容易求得 ; x v u x v u d d )2''⎰⎰比 解题技巧: :的一般方法及选取v u '把被积函数视为两个函数之积 ,按 “ 反对幂指三” 的顺序,前者为u 后者为.v '第二节 定积分概念一、原函数与不定积分的概念二、定积分的定义和存在定理三、定积分的几何意义与定积分的性质1.定积分的几何意义2. 定积分的性质性质1.=⎰±dx x g x f b a )]()([±⎰b a dx x f )(⎰ba dx x g )(.性质2.=⎰b a dx x kf )(k ⎰b a dx x f )( (k 是常数). 性质3.=⎰b a dx x f )(⎰+c a dx x f )(⎰b c dx x f )(. 性质4.=⎰b a dx x f )(a b dx b a -=⎰.推论1. 如果在],[b a 上,则),()(x g x f ≤≤⎰b a dx x f )(⎰b a dx x g )( (a <b ).推论2.≤⎰ba dx x f )(⎰b a dx x f )( 性质5. 0)(≥⎰b a dx x f )(b a <.性质6. 设M 与m 分别是函数],[)(b a x f 在上的最大值及最小值,则≤-)(a b m ≤⎰b a dx x f )()(a b M - (b a <). 性质7 .(定积分中值定理) 如果函数)(x f 在闭区间],[b a 上连续,则在积分区间],[b a ]上至少存在一点ξ,使下式成立:))(()(a b f dx x f ba -=⎰ξ (b a ≤≤ξ)可积的充分条件:定理1.上连续在函数],[)(b a x f ,则.],[)(可积在b a x f定理2.,],[)(上有界在函数b a x f 且只有有限个间断点 ,则.],[)(可积在b a x f第三节 微积分基本公式一、微积分基本公式1. 变上限函数定义1. 设函数)(x f 在区间],[b a 上连续,则它在],[b a 任意一个子区间],[x a 上可积,则⎰=Φx a dx t f x )()( ( b x a ≤≤) 是上限变量x 的函数,称此函数为积分上限函数,也称为变上限函数.2. 微积分基本公式定理2.=⎰b a dx x f )(-)(b F )(a F1.定积分的换元积分法定理3.=⎰b a dx x f )([]dt t t f ⎰'βαϕϕ)()(注:设)(x f 在],[a a -上连续,证明(1)若)(x f 在],[a a -为偶函数,则 ⎰-aa dx x f )(=⎰a dx x f 0)(2;(2)若)(x f 在],[a a -上为奇函数,则 ⎰-aa dx x f )(=0.2.定积分的分部积分法定理4.⎰-⎰=b ab a b a vdu uv udv ][第四节 定积分的应用(这点跟高中无异,于是乎就偷懒了=v=~)一、定积分的微元法其实质是找出A 的微元dA 的微分表达式.二、定积分在几何中的应用1. 平面图形的面积 ⎰=badx x f A )(.2. 旋转体的体积x x A V ba d )(⎰=三、定积分在物理上的应用1.变力做功⎰=ba x x F W d )(2.液体静压dx x xf F ba )(g ρ⎰=四、定积分在医学上的应用。
高数的全部公式大全
第 2 页 共 15 页
高等数学复习公式
·倍角公式:
sin 2α = 2 sin α cos α cos 2α = 2 cos 2 α − 1 = 1 − 2 sin 2 α = cos 2 α − sin 2 α ctg 2α − 1 ctg 2α = 2ctgα 2tgα tg 2α = 1 − tg 2α
高等数学复习公式
高等数学公式
导数公式:
(tgx)′ = sec 2 x (ctgx)′ = − csc 2 x (sec x)′ = sec x ⋅ tgx (csc x)′ = − csc x ⋅ ctgx (a x )′ = a x ln a (log a x)′ =
基本积分表:
1 x ln a
2 2 2 2 2 2
k a z , c = a ⋅ b sin θ .例:线速度:v = w × r . bz ay by cy az bz = a × b ⋅ c cosα ,α为锐角时, cz
ax [ a b c ] = ( a × b ) ⋅ c = bx 向量的混合积: cx
ቤተ መጻሕፍቲ ባይዱ
代表平行六面体的体积。
ctg -ctgα tgα -tgα -ctgα ctgα tgα -tgα -ctgα ctgα
·和差化积公式:
sin(α ± β ) = sin α cos β ± cosα sin β cos(α ± β ) = cosα cos β ∓ sin α sin β tgα ± tgβ tg (α ± β ) = 1 ∓ tgα ⋅ tgβ ctgα ⋅ ctgβ ∓ 1 ctg (α ± β ) = ctgβ ± ctgα
⎧ x = x0 + mt x − x0 y − y 0 z − z 0 ⎪ = = = t , 其中s = {m, n, p}; 参数方程: 空间直线的方程: ⎨ y = y0 + nt m n p ⎪ z = z + pt 0 ⎩ 二次曲面: x2 y2 z2 1、椭球面: 2 + 2 + 2 = 1 a b c 2 2 x y , p, q同号) 2、抛物面: + = z( 2 p 2q 3、双曲面: x2 y2 z 2 单叶双曲面: 2 + 2 − 2 = 1 a b c 2 2 x y z2 1 双叶双曲面: 2 − 2 + 2 =(马鞍面) a b c
高数公式大全(全)
高数公式大全1.基本积分表:三角函数的有理式积分:222212211cos 12sin u dudx x tg u u u x u u x +==+-=+=, , , 一些初等函数: 两个重要极限:⎰⎰⎰⎰⎰⎰⎰⎰⎰⎰+±+=±+=+=+=+-=⋅+=⋅+-==+==Ca x x a x dx C shx chxdx C chx shxdx Ca a dx a Cx ctgxdx x C x dx tgx x Cctgx xdx x dx C tgx xdx x dx xx)ln(ln csc csc sec sec csc sin sec cos 22222222C axx a dx C x a xa a x a dx C a x ax a a x dx C a xarctg a x a dx Cctgx x xdx C tgx x xdx Cx ctgxdx C x tgxdx +=-+-+=-++-=-+=++-=++=+=+-=⎰⎰⎰⎰⎰⎰⎰⎰arcsin ln 21ln 211csc ln csc sec ln sec sin ln cos ln 22222222⎰⎰⎰⎰⎰++-=-+-+--=-+++++=+-===-Cax a x a x dx x a Ca x x a a x x dx a x Ca x x a a x x dx a x I nn xdx xdx I n n nn arcsin 22ln 22)ln(221cos sin 2222222222222222222222ππxxarthx x x archx x x arshx e e e e chx shx thx e e chx e e shx x xxx xx xx -+=-+±=++=+-==+=-=----11ln21)1ln(1ln(:2:2:22)双曲正切双曲余弦双曲正弦...590457182818284.2)11(lim 1sin lim 0==+=∞→→e xxx x x x三角函数公式: ·诱导公式:·和差角公式: ·和差化积公式:·倍角公式:·半角公式:ααααααααααααααααααcos 1sin sin cos 1cos 1cos 12cos 1sin sin cos 1cos 1cos 122cos 12cos 2cos 12sin -=+=-+±=+=-=+-±=+±=-±=ctg tg2sin2sin 2cos cos 2cos2cos 2cos cos 2sin2cos 2sin sin 2cos2sin2sin sin βαβαβαβαβαβαβαβαβαβαβαβα-+=--+=+-+=--+=+αββαβαβαβαβαβαβαβαβαβαβαctg ctg ctg ctg ctg tg tg tg tg tg ±⋅=±⋅±=±=±±=±1)(1)(sin sin cos cos )cos(sin cos cos sin )sin( αααααααααα23333133cos 3cos 43cos sin 4sin 33sin tg tg tg tg --=-=-=αααααααααααααα222222122212sin cos sin 211cos 22cos cos sin 22sin tg tg tg ctg ctg ctg -=-=-=-=-==·正弦定理:R CcB b A a 2sin sin sin ===·余弦定理:C ab b a c cos 2222-+=·反三角函数性质:arcctgx arctgx x x -=-=2arccos 2arcsin ππ高阶导数公式——莱布尼兹(Leibniz )公式:)()()()2()1()(0)()()(!)1()1(!2)1()(n k k n n n n nk k k n k n n uv v u k k n n n v u n n v nu v u v u C uv +++--++''-+'+==---=-∑中值定理与导数应用:拉格朗日中值定理。
高级数学公式(定积分微积分三角函数导函数等等搜罗万象)值得搜躲[整理版]
高等数学公式基本积分表(1)kdx kx C =+⎰ (k 是常数)(2)1,1x x dx C μμμ+=++⎰ (1)u ≠-(3)1ln ||dx x Cx =+⎰(4)2tan 1dxarl x C x=++⎰ (5)arcsin x C=+(6)cos sin xdx x C =+⎰ (7)sin cos xdx x C =-+⎰(8)21tan cos dx x C x =+⎰(9)21cot sin dx x Cx=-+⎰ (10)sec tan sec x xdx x C=+⎰ (11)csc cot csc x xdx x C =-+⎰(12)x x e dx e C=+⎰(13)ln xxa a dx C a=+⎰,(0,1)a a >≠且(14)shxdx chx C =+⎰ (15)chxdx shx C =+⎰(16)2211tan xdx arc C a x a a =++⎰(17)2211ln ||2x adx C x a a x a-=+-+⎰(18)sinxarc C a=+(19)ln(x C=+(20)ln |x C=+(21)tan ln |cos |xdx x C =-+⎰(22)cot ln |sin |xdx x C=+⎰(23)sec ln |sec tan |xdx x x C =++⎰ (24)csc ln |csc cot |xdx x x C=-+⎰注:1、从导数基本公式可得前15个积分公式,(16)-(24)式后几节证。
2、以上公式把x 换成u 仍成立,u 是以x 为自变量的函数。
3、复习三角函数公式:2222sin cos 1,tan 1sec ,sin 22sin cos ,x x x x x x x +=+==21cos 2cos 2xx +=,21cos 2sin 2xx -=。
注:由[()]'()[()]()f x x dx f x d x ϕϕϕϕ=⎰⎰,此步为凑微分过程,所以第一类换元法也叫凑微分法。
高数公式大全Word版
高等数学公式·平方关系:sin^2(α)+cos^2(α)=1tan^2(α)+1=sec^2(α)cot^2(α)+1=csc^2(α)·积的关系:sinα=tanα*cosαcosα=cotα*sinαtanα=sinα*secαcotα=cosα*cscαsecα=tanα*cscαcscα=secα*cotα·倒数关系:tanα·cotα=1sinα·cscα=1cosα·secα=1直角三角形ABC中,角A的正弦值就等于角A的对边比斜边,余弦等于角A的邻边比斜边正切等于对边比邻边,·三角函数恒等变形公式·两角和与差的三角函数:cos(α+β)=cosα·cosβ-sinα·sinβcos(α-β)=cosα·cosβ+sinα·sinβsin(α±β)=sinα·cosβ±cosα·sinβtan(α+β)=(tanα+tanβ)/(1-tanα·tanβ)tan(α-β)=(tanα-tanβ)/(1+tanα·tanβ)·三角和的三角函数:sin(α+β+γ)=sinα·cosβ·cosγ+cosα·sinβ·cosγ+cosα·cosβ·sinγ-sinα·sinβ·sinγ cos(α+β+γ)=cosα·cosβ·cosγ-cosα·sinβ·sinγ-sinα·cosβ·sinγ-sinα·sinβ·cosγ tan(α+β+γ)=(tanα+tanβ+tanγ-tanα·tanβ·tanγ)/(1-tanα·tanβ-tanβ·tanγ-tanγ·tanα)·辅助角公式:Asinα+Bcosα=(A^2+B^2)^(1/2)sin(α+t),其中sint=B/(A^2+B^2)^(1/2)cost=A/(A^2+B^2)^(1/2)tant=B/AAsinα+Bcosα=(A^2+B^2)^(1/2)cos(α-t),tant=A/B·倍角公式:·三倍角公式:sin(2α)=2sinα·cosα=2/(tanα+cotα) sin(3α)=3sinα-4sin^3(α)cos(2α)=cos^2(α)-sin^2(α)=2cos^2(α)-1=1-2sin^2(α) cos(3α)=4cos^3(α)-3cosαtan(2α)=2tanα/[1-tan^2(α)]·半角公式:sin(α/2)=±√((1-cosα)/2)cos(α/2)=±√((1+cosα)/2)tan(α/2)=±√((1-cosα)/(1+cosα))=sinα/(1+cosα)=(1-cosα)/sinα·降幂公式sin^2(α)=(1-cos(2α))/2=versin(2α)/2cos^2(α)=(1+cos(2α))/2=covers(2α)/2tan^2(α)=(1-cos(2α))/(1+cos(2α))·万能公式:sinα=2tan(α/2)/[1+tan^2(α/2)]cosα=[1-tan^2(α/2)]/[1+tan^2(α/2)]tanα=2tan(α/2)/[1-tan^2(α/2)]·积化和差公式:sinα·cosβ=(1/2)[sin(α+β)+sin(α-β)]cosα·sinβ=(1/2)[sin(α+β)-sin(α-β)]cosα·cosβ=(1/2)[cos(α+β)+cos(α-β)]sinα·sinβ=-(1/2)[cos(α+β)-cos(α-β)]·和差化积公式:sinα+sinβ=2sin[(α+β)/2]cos[(α-β)/2]sinα-sinβ=2cos[(α+β)/2]sin[(α-β)/2]cosα+cosβ=2cos[(α+β)/2]cos[(α-β)/2]cosα-cosβ=-2sin[(α+β)/2]sin[(α-β)/2]·推导公式tanα+cotα=2/sin2αtanα-cotα=-2cot2α1+cos2α=2cos^2α1-cos2α=2sin^2α1+sinα=(sinα/2+cosα/2)^2·其他:sinα+sin(α+2π/n)+sin(α+2π*2/n)+sin(α+2π*3/n)+……+sin[α+2π*(n-1)/n]=0cosα+cos(α+2π/n)+cos(α+2π*2/n)+cos(α+2π*3/n)+……+cos[α+2π*(n-1)/n]=0 以及sin^2(α)+sin^2(α-2π/3)+sin^2(α+2π/3)=3/2tanAtanBtan(A+B)+tanA+tanB-tan(A+B)=0三角函数的角度换算[编辑本段]公式一:设α为任意角,终边相同的角的同一三角函数的值相等:sin(2kπ+α)=sinαcos(2kπ+α)=cosαtan(2kπ+α)=tanαcot(2kπ+α)=cotα公式二:设α为任意角,π+α的三角函数值与α的三角函数值之间的关系:sin(π+α)=-sinαcos(π+α)=-cosαtan(π+α)=tanαcot(π+α)=cotα公式三:任意角α与-α的三角函数值之间的关系:sin(-α)=-sinαcos(-α)=cosαtan(-α)=-tanαcot(-α)=-cotα公式四:利用公式二和公式三可以得到π-α与α的三角函数值之间的关系:sin(π-α)=sinαcos(π-α)=-cosαtan(π-α)=-tanαcot(π-α)=-cotα公式五:利用公式一和公式三可以得到2π-α与α的三角函数值之间的关系:sin(2π-α)=-sinαcos(2π-α)=cosαtan(2π-α)=-tanαcot(2π-α)=-cotα公式六:π/2±α及3π/2±α与α的三角函数值之间的关系:sin(π/2+α)=cosαcos(π/2+α)=-sinαtan(π/2+α)=-cotαcot(π/2+α)=-tanαsin(π/2-α)=cosαcos (π/2-α)=sinαtan (π/2-α)=cotαcot (π/2-α)=tanαsin (3π/2+α)=-cosαcos (3π/2+α)=sinαtan (3π/2+α)=-cotαcot (3π/2+α)=-tanαsin (3π/2-α)=-cosαcos (3π/2-α)=-sinαtan (3π/2-α)=cotαcot (3π/2-α)=tanα(以上k ∈Z)部分高等内容[编辑本段]·高等代数中三角函数的指数表示(由泰勒级数易得):sinx=[e^(ix)-e^(-ix)]/(2i) cosx=[e^(ix)+e^(-ix)]/2 tanx=[e^(ix)-e^(-ix)]/[ie^(ix)+ie^(-ix)]泰勒展开有无穷级数,e^z=exp(z)=1+z/1!+z^2/2!+z^3/3!+z^4/4!+…+z^n/n !+…此时三角函数定义域已推广至整个复数集。
- 1、下载文档前请自行甄别文档内容的完整性,平台不提供额外的编辑、内容补充、找答案等附加服务。
- 2、"仅部分预览"的文档,不可在线预览部分如存在完整性等问题,可反馈申请退款(可完整预览的文档不适用该条件!)。
- 3、如文档侵犯您的权益,请联系客服反馈,我们会尽快为您处理(人工客服工作时间:9:00-18:30)。
导数公式:基本积分表:三角函数的有理式积分:ax x a a a ctgx x x tgx x x x ctgx x tgx a x x ln 1)(log ln )(csc )(csc sec )(sec csc )(sec )(22='='⋅-='⋅='-='='222211)(11)(11)(arccos 11)(arcsin x arcctgx x arctgx x x x x +-='+='--='-='⎰⎰⎰⎰⎰⎰⎰⎰⎰⎰+±+=±+=+=+=+-=⋅+=⋅+-==+==Ca x x a x dx C shx chxdx C chx shxdx Ca a dx a Cx ctgxdx x Cx dx tgx x Cctgx xdx x dx C tgx xdx x dx xx)ln(ln csc csc sec sec csc sin sec cos 22222222C axx a dx C x a xa a x a dx C a x ax a a x dx C a xarctg a x a dx Cctgx x xdx C tgx x xdx Cx ctgxdx C x tgxdx +=-+-+=-++-=-+=++-=++=+=+-=⎰⎰⎰⎰⎰⎰⎰⎰arcsin ln 21ln 211csc ln csc sec ln sec sin ln cos ln 22222222⎰⎰⎰⎰⎰++-=-+-+--=-+++++=+-===-Cax a x a x dx x a Ca x x a a x x dx a x Ca x x a a x x dx a x I nn xdx xdx I n n nn arcsin 22ln 22)ln(221cos sin 2222222222222222222222ππ222212211cos 12sin u dudx x tg u u u x u u x +==+-=+=, , , (一)含有ax b +的积分(0a ≠)1.d x ax b +⎰=1ln ax b C a ++2.()d ax b x μ+⎰=11()(1)ax b C a μμ++++(1μ≠-)3.d x x ax b +⎰=21(ln )ax b b ax b C a +-++4.2d x x ax b +⎰=22311()2()ln 2ax b b ax b b ax b C a ⎡⎤+-++++⎢⎥⎣⎦5.d ()xx ax b +⎰=1ln ax b C b x+-+ 6.2d ()xx ax b +⎰=21ln a ax b C bx b x +-++ 7.2d ()x x ax b +⎰=21(ln )b ax b C a ax b++++ 8.22d ()x x ax b +⎰=231(2ln )b ax b b ax b C a ax b+-+-++ 9.2d ()xx ax b +⎰=211ln ()ax b C b ax b b x +-++的积分10.x C11.x ⎰=22(3215ax b C a -12.x x ⎰=22232(15128105a x abx b C a-+13.x=22(23ax b C a -14.2x=22232(34815a x abx b C a -+ 15.=(0)(0)C b C b ⎧+><16.=2a bx b --⎰17.d x x ⎰=b 18.2d x x ⎰=2a +(三)含有22x a ±的积分19.22d x x a +⎰=1arctan xC a a+ 20.22d ()n x x a +⎰=2221222123d 2(1)()2(1)()n n x n xn a x a n a x a ---+-+-+⎰21.22d xx a -⎰=1ln 2x a C a x a -++(四)含有2(0)ax b a +>的积分22.2d x ax b +⎰=(0)(0)C b C b ⎧+>+<23.2d x x ax b +⎰=21ln 2ax b C a++24.22d x x ax b +⎰=2d x b xa a ax b-+⎰ 25.2d ()x x ax b +⎰=221ln 2x C b ax b++ 26.22d ()x x ax b +⎰=21d a xbx b ax b --+⎰27.32d ()x x ax b +⎰=22221ln 22ax b a C b x bx +-+28.22d ()x ax b +⎰=221d 2()2x xb ax b b ax b+++⎰ (五)含有2ax bx c ++(0)a >的积分29.2d x ax bx c ++⎰=22(4)(4)C b ac Cb ac +<+>30.2d x x ax bx c ++⎰=221d ln 22b x ax bx c a a ax bx c++-++⎰(0)a >的积分31.=1arshxC a +=ln(x C ++ 32.=C +33.x=C34.x=C +35.2x =2ln(2a x C ++36.2x =ln(x C +++37.=1ln aC a x +38.C +39.x 2ln(2a x C ++40.x =2243(25ln(88x x a a x C +++41.x ⎰C +42.x x ⎰=422(2ln(88x a x a x C+++43.d x x ⎰a C +44.x =ln(x C +++(0)a >的积分45.=1arch x xC x a+=ln x C ++ 46.C +47.x =C48.x =C +49.2x 2ln 2a x C ++50.2x =ln x C +++51.=1arccos aC a x +52.2C a x+53.x 2ln 2a x C -++54.x =2243(25ln 88x x a a x C -+++55.x ⎰C +56.x x ⎰=422(2ln 88x a x a x C -++57.x =arccos aa C x -+58.x =ln x C ++(0)a >的积分59.=arcsinxC a + 60.C +61.x =C +62.x =C +63.2x =2arcsin 2a x C a ++ 64.2x arcsinxC a-+65.=1C a +66.2C a x -+67.x 2arcsin 2a x C a++68.x =2243(52arcsin 88x x a x a C a-+69.x ⎰=C70.x x ⎰=422(2arcsin 88x a x x a C a-+71.x ln a a C x +72.x =arcsin xC a-+(0)a >的积分73.2ax b C +++74.x22ax b C +++75.x2ax b C +++76.=C +77.x 2C +78.x =C ++79.x =((x b b a C -+-+80.x =((x b b a C -+-+81.2arcsinC +()a b <82.x 2()4b a C - ()a b <(十一)含有三角函数的积分 83.sin d x x ⎰=cos x C -+84.cos d x x ⎰=sin x C + 85.tan d x x ⎰=ln cos x C -+ 86.cot d x x ⎰=ln sin x C +87.sec d x x ⎰=ln tan()42x C π++=ln sec tan x x C ++ 88.csc d x x ⎰=ln tan 2xC +=ln csc cot x x C -+ 89.2secd x x ⎰=tan x C +90.2csc d x x ⎰=cot x C -+91.sec tan d x x x ⎰=sec x C + 92.csc cot d x x x ⎰=csc x C -+93.2sin d x x ⎰=1sin 224x x C -+ 94.2cos d x x ⎰=1sin 224x x C ++95.sin d n x x ⎰=1211sin cos sin d n n n x x x x n n----+⎰ 96.cos d n x x ⎰=1211cos sin cos d n n n x x x x n n---+⎰ 97.d sin n x x ⎰=121cos 2d 1sin 1sin n n x n x n x n x----⋅+--⎰ 98.d cos n x x ⎰=121sin 2d 1cos 1cos n n x n xn x n x---⋅+--⎰ 99.cos sin d m nx x x ⎰=11211cos sin cos sin d m n m n m x x x x x m n m n-+--+++⎰ =11211cos sin cos sin d m n m n n x x x x x m n m n+----+++⎰ 100.sin cos d ax bx x ⎰=11cos()cos()2()2()a b x a b x C a b a b -+--++-101.sin sin d ax bx x ⎰=11sin()sin()2()2()a b x a b x C a b a b -++-++-102.cos cos d ax bx x ⎰=11sin()sin()2()2()a b x a b x C a b a b ++-++-103.d sin xa b x +⎰tanx a b C ++22()a b >104.d sin xa b x +⎰C+22()a b <105.d cos xa b x +⎰)2x C +22()a b >106.d cos x a b x +⎰C +22()a b <107.2222d cos sin x a x b x +⎰=1arctan(tan )bx C ab a + 108.2222d cos sin xa xb x -⎰=1tan ln 2tan b x a C ab b x a ++-109.sin d x ax x ⎰=211sin cos ax x ax C a a -+ 110.2sin d x ax x ⎰=223122cos sin cos x ax x ax ax C a a a -+++111.cos d x ax x ⎰=211cos sin ax x ax C a a ++112.2cos d x ax x ⎰=223122sin cos sin x ax x ax ax C a a a+-+(十二)含有反三角函数的积分(其中0a >)113.arcsin d x x a ⎰=arcsin x x C a+114.arcsin d x x x a⎰=22()arcsin 24x a x C a -+115.2arcsin d x x x a ⎰=3221arcsin (239x x x a C a +++116.arccos d x x a ⎰=arccos x x C a117.arccos d x x x a⎰=22()arccos 24x a x C a --+118.2arccos d x x x a ⎰=3221arccos (239x x x a C a -++ 119.arctan d x x a ⎰=22arctan ln()2x a x a x C a -++ 120.arctan d x x x a ⎰=221()arctan 22x a a x x C a +-+ 121.2arctan d x x x a ⎰=33222arctan ln()366x x a a x a x C a -+++ (十三)含有指数函数的积分122.d x a x ⎰=1ln x a C a+ 123.e d ax x ⎰=1e ax C a+ 124.e d ax x x ⎰=21(1)e ax ax C a-+ 125.e d n ax x x ⎰=11e e d n ax n ax n x x x a a --⎰ 126.d x xa x ⎰=21ln (ln )x x x a a C a a -+ 127.d n x x a x ⎰=11d ln ln n x n x n x a x a x a a--⎰ 128.e sin d ax bx x ⎰=221e (sin cos )ax a bx b bx C a b-++ 129.e cos d ax bx x ⎰=221e (sin cos )ax b bx a bx C a b +++130.e sin d ax n bx x ⎰=12221e sin (sin cos )ax n bx a bx nb bx a b n--+ 22222(1)e sin d ax n n n b bx x a b n --++⎰131.e cos d ax n bx x ⎰=12221e cos (cos sin )ax n bx a bx nb bx a b n-++ 22222(1)e cos d ax n n n b bx x a b n--++⎰ (十四)含有对数函数的积分132.ln d x x ⎰=ln x x x C -+ 133.d ln x x x ⎰=ln ln x C +134.ln d n x x x ⎰=111(ln )11n x x C n n +-+++ 135.(ln )d n x x ⎰=1(ln )(ln )d n n x x n x x --⎰ 136.(ln )d m n x x x ⎰=111(ln )(ln )d 11m n m n n x x x x x m m +--++⎰ (十五)含有双曲函数的积分137.sh d x x ⎰=ch x C + 138.ch d x x ⎰=sh x C + 139.th d x x ⎰=lnch x C + 140.2sh d x x ⎰=1sh224x x C -++ 141.2ch d x x ⎰=1sh224x x C ++ (十六)定积分142.cos d nx x π-π⎰=sin d nx x π-π⎰=0 143.cos sin d mx nx x π-π⎰=0144.cos cos d mx nx x π-π⎰=0,,m n m n ≠⎧⎨π=⎩145.sin sin d mx nx x π-π⎰=0,,m n m n ≠⎧⎨π=⎩ 146.0sin sin d mx nx x π⎰=0cos cos d mx nx x π⎰=0,,2m n m n ≠⎧⎪⎨π=⎪⎩ 147.n I =20sin d n x x π⎰=20cos d n x x π⎰n I =21n n I n -- 1342253n n n I n n --=⋅⋅⋅⋅- (n 为大于1的正奇数),1I =1 13312422n n n I n n --π=⋅⋅⋅⋅⋅-(n 为正偶数),0I =2π。