第八章理想流体有旋流动和无旋流动演示文稿
工程流体力学讲义

强制涡
r r0
ω
复合涡
自由涡
1.速度分布
前面已讨论过涡核内外的速度分布:
涡内:
与半径成正比如图
。由于
Hale Waihona Puke 这部分流体有旋。涡外:
与半径r成反比。
在时
当 不变 处 的 为常数
2、压力分布: 自由涡:由于是无旋流动,在自由涡中 任取一点与无穷远处写伯努利方程:
忽略位能
若
则
将
代入
在自由涡中 p与r 成平方关系,(抛物线)
3.点源的压力分布 在源上任取一点与无穷远处写能量方程
将 , 代入
有
p
P与r成抛物线正比。r
p;r p
r r0
三、点涡
点涡:无限长的直 线涡束所形成的平 面流动。除涡线本 身有旋外涡线外的 流体绕涡线做等速 圆周运动且无旋。
这种流动也称纯环流。若设点涡的强度
为
则在半径r处由点涡所诱导的速
度为 而
例2:求有间断面的平行流的速度环量 Γ=?
4
3
b
1L 2
u1 u2
例3:龙卷风的速度分布为 时
时
试根据 stokes law 来判断是否为有 旋流动。
如图,当
,流体以ω象刚体一样转
动,称风眼或强迫涡(涡核)。
在
区域,流体绕涡核转动,流体
质点的运动轨迹是圆但本身并没有旋转
称之为自由涡或势涡。
强制涡
y
d
c
vu
a
b
c’ d’
Δα
b’
a’ Δβ
定义:单位时间内ab、cd转过的平均角度
称角变形速度,用 θ表示。 由定义有:
第八章 势流

称函数ψ为流函数。注意到Oxy平面的流动只有速度分量 ux和 uy,且它们都只是x和y的函数,由式(8.3a)知涡量 V 只有z方向的分量
17
第八章 势流
u x x y
(8.16b)
15
第八章 势流
速度势函数等于常数的曲线称为等势线。平面内由于x 和y的微小变化而引起的速度势函数φ=φ(x,y)的变化为
在等势线上φ等于常数,dφ =0,则有
d u x dx u y dy dx dy x y
0 u x dx u y dy
等势线斜率
V 0
即以速度势函数φ的梯度表示的速度场为势流场。
8
第八章 势流
将式(8.5)代入不可压缩流动的连续方程,▽· V= ▽· ▽ φ=0,即 2 0 0 (8.6) 或 在直角坐标系中上式可写为
2 2 2 0 2 2 2 x y z
V 0
(8.4)
2
第八章 势流
§8-1 势流
无旋流动或势流是指涡量等于零的流动。由式(8.3a), 一个流体微元绕z轴的旋转角速度
1 1 u y u x z z 2 2 x y
上式的物理意义可理解为一个矩形流体微元的两个相互垂直 的边(分别平行于x轴和y轴)各自绕z轴的旋转角速度的算术平 均值(图3.13),旋转就是物质线元随时间连续改变其空间朝 向或方位。一个流动是否有旋或涡量是否等于零,要看流体 微团在运动过程中是否改变其空间方位,而与流体微团的运 动轨迹无关。
c11 c22
也是方程(8.7)的解,式中c1和c2是不全为零的任意常数。
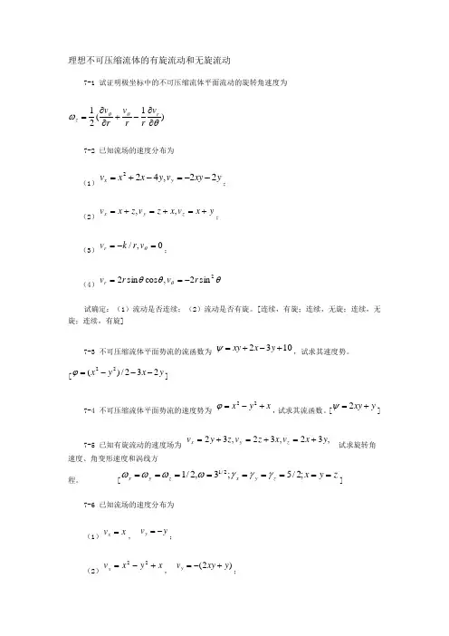
七、理想不可压缩流体的有旋流动和无旋流动

理想不可压缩流体的有旋流动和无旋流动7-1 试证明极坐标中的不可压缩流体平面流动的旋转角速度为)1(21θωθθ∂∂-+∂∂=r z v r r v r v7-2 已知流场的速度分布为(1)yxy v y x x v y x 22,422--=-+=; (2)y x v x z v z x v z y x +=+=+=,,;(3)0,/=-=θv r k v r ;(4)θθθθ2sin 2,cos sin 2r v r v r -== 试确定:(1)流动是否连续;(2)流动是否有旋。
[连续,有旋;连续,无旋;连续,无旋;连续,有旋]7-3 不可压缩流体平面势流的流函数为1032+-+=y x xy ψ,试求其速度势。
[y x y x 232/)(22---=ϕ] 7-4 不可压缩流体平面势流的速度势为 x y x +-=22ϕ,试求其流函数。
[y xy +=2ψ] 7-5 已知有旋流动的速度场为,32,32,32y x v x z v z y v z y x +=+=+= 试求旋转角速度、角变形速度和涡线方程。
[z y x z y x z y x =========;2/5;3,2/12/1γγγωωωω]7-6 已知流场的速度分布为(1)x v x =, y v y -=;(2)x y x v x +-=22, )2(y xy v y +-=;(3)θcos )/11(2r v r -=,θθsin )/11(2r v +-= 试确定:(1)流动是否有势;(2)它们的速度势和流函数。
[有势,2/)(22y x -=ϕ,xy =ψ;有势,223)2/1(2/3/y x x x +-+=ϕ,y x x y )(3/23++-=ψ;有势,θϕcos )/11(2r r +=,θψsin )/11(2r r -=] 7-7 已知流场的流函数为(1)xy =ψ;(2)22y x -=ψ试确定:(1)二流场是否有势,若有势,求出速度势;(2)通过点)3,2(A 和点)7,4(B 的任意曲线的流量和沿该线的切向速度线积分。
有旋流动和无旋流动_1~9

vx
v x dx v x dy x 2 y 2
vy
vy
v y dx v y dy x 2 y 2
Y方向速度: vy
Z方向速度:
vx
vx
vx dt
y
v x dx v x dy x 2 y 2
vz
vx
v x dx vx dy v x dz x 2 y 2 z 2
vx vx
vx dx v x dy v x dz x 2 y 2 z 2
vy
vx vx dx vx dy vx dz x 2 y 2 z 2
E
vx
vx dx v x dy v x dz x 2 y 2 z 2
vy
vx
v y dx v y dy x 2 y 2
v x dx v x dy x 2 y 2
vx
v x dx v x dy x 2 y 2
Y方向速度:
y
vy
vy
v y dx v y dy x 2 y 2
vx
vx
v x dx v x dy x 2 y 2
(
(
y
v y dy dy )(v y )dzdx y 2 y 2
z轴方向流体的净流入量:
( v z dz v z dz )dxdy ( v z )dxdydz z z z
o
z
x
每秒流入微元六面体的净流体质量
x轴方向流体的净流入量:
( v x dx v x dx )dydz ( v x )dxdydz x x x
dz v dz )( v z z )dxdy z 2 z 2
第八章 旋转水射流

第八章 旋转水射流第一节 概 述所谓旋转射流是指在射流喷嘴不旋转的条件下产生的具有三维速度的、射流质点沿螺旋线轨迹运动而形成的扩散式射流,也称之为旋动射流。
这种射流与常规的普通圆射流的主要不同点在于其外形呈明显扩张的喇叭状,具有较强的扩散能力和卷吸周围介质参与流动的能力,并能够形成较大的冲击面积,产生良好的雾化效果。
旋转射流作为一种特殊射流,早巳被用于工农业生产中。
喷洒农药的雾化器就是一个典型实例,液体农药通过管道被压到一个装有旋流片的雾化器中,使农药液流产生高速旋转,并喷出雾化器,达到雾化农药的目的。
工程技术中常常利用旋风原理来组织燃烧炉中的燃烧过程,如旋风燃烧室、旋风预燃室等。
因为燃料的燃烧过程可分为三个基本阶段:燃料与助燃空气的混合、燃料与空气的混合物升温到藉火温度,以及燃烧反应过程。
燃烧反应过程也就是燃料和空气中氧气之间进行的氧化过程,这个阶段实际上是瞬间完成的。
而前两个阶段则需要较长的时间。
因此,组织混合的过程决定着整个燃烧过程和火焰的特性,从而决定着炉膛内的温度分布和对工艺要求的适应程度。
在旋风燃烧室或顶燃室中,由于旋转射流能使流体质点以较高的速度旋转前进,形成扩散,产生一定程度的雾化,并且在强旋射流的内部形成一个回流区.旋转射流不但从射流外侧卷吸周围介质,而且还从回流区中卷吸介质,故它有较好的“抽气”能力,使大量的高温烟气回流到火炬根部,使燃料与空气充分掺混 ,提高温度和浓度的均匀分布程度,保证燃料顺利着火和火炬稳定燃烧,提高燃烧效率。
另外,在石油钻并工程中使用的固控设备(如除砂器、除泥器、离心机等),也是利用旋转流体的离心力原理将流体中的因相颗粒进行分离清除,以保持洗井浓的性能,满足钻井过程中的安全快速钻进之需要,旋转射流的流动见图8·1所示。
通常用圆柱坐标来描述旋转射流的运动,将射流各质点的流速分解为三个v w分量:轴向流速u,径向流速和切向流速,这三个流速分量的时均流场和脉动流场就可表示旋转射流的运动状态。
流体力学课件

第九章: 第九章:相似理论
§9 - 1 §9 - 2 §9 - 3 §9 - 4 相似概念 相似理论 方程分析法 因次分析法与定理
第十章:粘性流体一元流动 第十章:
§10-1 1010§10-2 10§10-3 10§10-4 10§10-5 10§10-6 管路计算基本方程式 流体的两种流动状态几判别方法 圆管中的层流运动 湍流流动及其特征 直圆管中的湍流运动 沿程阻力系数
当微矩形面积的数目趋于无限多, 当微矩形面积的数目趋于无限多,相应微 分面积趋向于零时, 分面积趋向于零时,其外边界趋向于这条封闭 曲线C。可以得到: 曲线C。可以得到: C。可以得到 Γ C = 2 ∫∫ ω n d σ = 2 J
在曲面σ上任取微分面积dσ, 在曲面σ上任取微分面积dσ, 法线分量 dσ ω 为ωn, J=ω 则 dJ=ωndσ 为dσ上的旋涡强度 dσ上的旋涡强度 上的 若将d 若将dJ沿σ面积分,则得 面积分, 穿过σ面的旋涡强度: 穿过σ面的旋涡强度:
J =
r
(5(5-2)
∫∫ σ
ω
n
dσ
(5 -3 )
Γc =
∫
V s d s (5 -9 ) c
速度环量的计算: 速度环量的计算: 1.若已知速度场,求沿一条开曲线的速度环量 若已知速度场, 若已知速度场 ★ 对于无旋场 ∂ϕ ∂ϕ ∂ϕ Γ AB = ∫ Vx dx + Vy dy + Vz dz = ∫ dx + dy + dz ∂x ∂y ∂z AB AB
@
旋涡运动理论广泛地应用于工程实际, 机翼、 旋涡运动理论广泛地应用于工程实际 机翼、 螺旋桨理论就是以旋涡理论为基础的。 螺旋桨理论就是以旋涡理论为基础的。旋涡与 船体的阻力、振动、噪声等问题密切相关。 船体的阻力、振动、噪声等问题密切相关。 旋涡的产生: 与压力差、 旋涡的产生: 与压力差、质量力和粘性力等 因素有关。 因素有关。 流体流过固体壁面时, 流体流过固体壁面时,除壁面附近粘性影响严 重的一薄层外, 重的一薄层外,其余区域的流动可视为理想流体 的无旋运动。 的无旋运动。
第八章-理想流体的有旋流动和无旋流动
y x
t
同理,在δt时间内,D较点A纵向多移动
x t 线段 A D 逆时针旋转了 y
' '
x y t x
角变形速度(剪切变形速度): 单位时间内直角的变化量
直角的变化量:
角变形速度:
x y 2 z / t y x
1 z 1 z z z 2 x 2 x
z
x 1 y x x x x 2 x y 1 y x 2 x y
1 y x z 2 z x
同理
1 y x z z 2 z x 1 1 My y y y z y z y x x y 2 y x 2 z z y 1 1 x z y x x 2 y x 2 z z z 1 x z 1 y z Mz z z y x z 2 z x 2 z y
流体微团在发生角变形的同时,还要发生旋转运动
1 y x z z / t 2 x y
有旋流动、无旋流动:流体微团的旋转角速度 是否为零。
x y z 0
z y y z
z x x z
x x x x y z x 2 x 2
z
x z y
z z z z x y z 2 z 2
y
z z z z x y z 2 z 2
《流体力学》第八章绕流运动解析
( x, y ) d u dy u y dx C
x
实际上ψ(x,y)表示流场中的流线,C为任 意常数。不同的C,则对应不同的流线。 d dx dy ux , uy x y y x
ux , uy y x
第八章
绕流运动
在自然界和实际工程中,存在着大量的流体 绕流物体的流动问题,即绕流问题。 我们研究时,都是把坐标固结于物体,将物 体看作是静止的,而探讨流体相对于物体的 运动。 在大雷诺数的绕流中,由于流体的惯性力远 大于粘性力,可将流体视为理想流体。 在靠近物体的一薄层内,可以用附面层理论 处理。
d ( x, y, z) ux dx uy dy uz dz
展开势函数的全微分
d dx dy dz x y x
比较上两式的对应系数,得出:
ux uy uz x y z 即速度在三坐标上的投影,等于速度势函 数对于相应坐标的偏导数
工 业 液 槽 边 侧 吸 气
平面无旋运动是旋转角速度为零的平面运 动。在平面运动中,仅只有一个坐标方向 上的旋转角速度分量ωz,当ωz=0时,则 满足: u u
y
x
x
y
这时速度势函数全微分为:
d ux dx u y dy
对应的拉普拉斯方程为: 0 2 2 x y
流函数与势函数间关系为:
ux x y
两者交叉相乘得:
uy y x
0 y y x x
由高等数学得到,上式表明, φ(x,y)=C1和 ψ(x,y)=C2是互为正交的。由此表明:流线与等 势线是相互垂直的。当给出不同的常数C1,C2时, 就可得到一系列等势线和流线,它们间构成相互 正交的流网,应用流网的正交性,借助数值计算 方法和计算机,可以解决复杂的流场问题。
有旋流动与无旋流动
y
B A C D
B’ C’ 0
�
A’ D’
B’’ C’’
A’’ D’’
x
需要指出,一般并不是先有了速度后求φ,而是恰恰相反,先求出φ,然后再确 定速度分布的 。
§ 2.5 环量与涡
§ 2.5.1 环量与涡的概念 � 研究流动的问题,还有两面个极重要的概念,一个叫环量,一个叫做涡。 � 环量的定义:在流场中任取一条封闭曲线,速度沿该封闭曲线的线积分称为该封闭曲 线的速度环量。速度环量的符号不仅决定于流场的速度方向,而且与封闭曲线的绕行 方向有关,规定积分时逆时针绕行方向为正,即封闭曲线所包围的区域总在行进方向 的左侧。
旋流。一个流场,如果各处的
ωx x
� ω 都等于零,这种流场称为有很大的意义。无旋流多了一个 ω = 0 的条件。这个
条件就是 :
ω x = 0, ω y = 0, ω z = 0
∂v ∂w = ; ∂z ∂y
�
∂u ∂v = ; ∂y ∂x
∂u ∂v ∂w 略高次项后= + + ∂x ∂y ∂z
� � 可以证明任何形状微团的相对体积膨胀率均为上式。 流体微团在运动中不论它的形状怎么变,体积怎么变,它的质量总是不变的。而 质量等于体积乘密度,所以在密度不变的不可压流里,其速度的散度必为零:
� ω
� ∂u ∂v ∂w divV = + + =0 ∂x ∂y ∂z
∫ (udx + vdy + wdz ) = ∫ dφ = φ
A A
� 例. 设有一个二维流场其速度分布是
B
B
B
− φA
u = 2 ax,
v = −2 ay
,
问这个流动是有旋的还
第八章理想流体的有旋流动和无旋流动
vx vy vz 0
x
y
z
vx vy vz 0 x y z
vx vy 0
x
y
vx vy 0 x y
第二节 流体微团运动分解
刚体的一般运动可以分解为移动和转动两部分。 流体与刚体的主要不同在于它具有流动性,极易变
形。 因此,任一流体微团在运动过程中不但与刚体一样
可以移动和转动,而且还会发生变形运动。 所以,在一般情况下流体微团的运动可以分解为移
动、转动和变形运动三部分。
vMx
vx
vx x
x
vx y
y
vx z
z
vMy
vy
vy x
x
vy y
y
vy z
z
vMz
vz
vz x
x
vz y
y
vz z
z
图8-2 平行六面体微小流体质团
vMx
vx
vx x
x
1 2
v y x
vx y
y
1 vx 2 z
vz x
z
1 vx 2 z
vz x
z
1 2
v y x
vx
vx x
δ
x δ t
vx
δt
vx x
δ
x
δt
v y
vy y
δ
y t
vy
δt
vy x
δ
y
δt
vx x
δ xδt
vx
δ x δt x
vy y
δ
yδt
vy
δ y δ t y
vMx
vx
vx x
x
zy yz
yz zy
- 1、下载文档前请自行甄别文档内容的完整性,平台不提供额外的编辑、内容补充、找答案等附加服务。
- 2、"仅部分预览"的文档,不可在线预览部分如存在完整性等问题,可反馈申请退款(可完整预览的文档不适用该条件!)。
- 3、如文档侵犯您的权益,请联系客服反馈,我们会尽快为您处理(人工客服工作时间:9:00-18:30)。
vx t
dx 2
dx t 2
在dt时间内沿y轴和z轴方向流体质量的净通量分别为:
y
(
v
y
)dxdydzdt
z
(
vz
)dxdydzdt
在dt时间内经过微元六面体的流体质量总变化为
v
x
vy
vz
dxdydzdt
x
y
z
开始瞬时流体的密度为ρ,经过dt时间后的密度为
vndA
CS
( x, y, z, t dt) dt t
在dt时间内,六面体内因密度的变化而引起的质量变化为
dt dxdydz dxdydz dxdydzdt
t
t
t
CV
dV
dxdydzdt
v
x
vy
vz
dxdydzdt
0
t
x
y
z
vx vy vz 0
t
t
定常
0 t
vx vy vz 0
x
y
z
v div v 0
不可压缩定常 const
vx vy vz 0 x y z
v divv 0
物理意义:在同一时间内通过流场中任一封闭表面的体积流量等于零, 也就是说,在同一时间内流入的体积流量与流出的体积流量相等。
在流场中取出微元六面体ABCDEFG
微元六面体中心点上流体质点的速度
为vx、vy、vz 密度为ρ
vx
v x x
dx 2
dx x 2
和x轴垂直的两个平面上的速度和密
度
vx
v x x
dx 2
vx
v x x
dx 2
dx x 2
dx x 2
vx
vx x
dx 2
dx x 2
在x方向上,dt时间内通过左面流入的流体质 量为:
vx y
y
1 2
vx z
vz x
z
vMx
vx
v x x
x
1
2
v y x
v x y
y
1
2
v x z
vz x
z
1
2
v y x
v x y
x
dx 2
v
x
vx x
dx 2
dydzdt
dt时间通过右面流出的流体质量为:
vx
v x t
dx 2
dx t 2
x
dx 2
v
x
vx x
dx 2
dydzdt
则dt时间内沿x轴通过微元体表面的质量净通
量为
vx x
dx
vx
x
dx
dydzdt
x
(vx
)dxdydzdt
vx
x
v x y
y
v x z
z
vMx
vx
vx x
x
1 2
vx y
y
1 2
vx y
y
1 2
vx z
z
1 2
vx z
z
1 vy y 1 vy y 1 vz z 1 vz
2 x
2 x
2 x 2 x
vMx
vx
vx x
x
1 2
v y x
vx y
y
1 2
vx z
vz x
z
1 2
v y x
v Mx
vx
v x x
x
v x y
y
v x z
z
v My
vy
v y x
x
v y y
y
vz z
z
v Mz
vz
vz x
x
vz y
y
vz z
z
v Mx
vx
v x x
x
v x y
y
v x z
z
v My
vy
v y x
x
v y y
y
vz z
z
v Mz
vz
vz x
x
vz y
y
vz z
z
vMx
vx
v x x
流动 均匀等速流绕过圆柱体有环流
的平面流动
第一节 微分形式的连续方程
当把流体的流动看作是连续介质的流动,它必然遵守质量守恒定 律。
对于一定的控制体,必须满足
t
CV
dV
CS
vndA
0
它表示在控制体内由于流体密度变化所引起的流体质量随时间的
变化率等于单位时间内通过控制体的流体质量的净通量。
直角坐标系中微分形式的连续性方程
vA(x, y, z) vx ( x, y, z)i vy ( x, y, z) j vz ( x, y, z)k
顶点M速度为
vM ( x x, y y, z z) vx ( x x, y y, z z)i vy(x x, y y, z z) j vz ( x x, y y, z z)k
(v sin )
1 r sin
(v )
0
定常
1 r2
(vrr2 ) r
1 r sin
(v sin )
1 r sin
(v
)
0
不可压缩定常
vr 1 v 1 v 2vr v cot 0
r r r sin r
r
【例】已知不可压缩流体运动速度v在x,y两个轴方向的分 量为vx=2x2+y,vy=2y2+z。且在z=0处,有vz=0。试求z轴方 向的速度分量vz。
第二节 流体微团运动分解
流体与刚体的主要不同在于它具有流动性,极易变形。
流体微团在运动过程中不但象刚体那样可以有移动和转动,而 且还会发生变形运动。
一般情况下,流体微团的运动可以分解为移动,转动和变形运 动。ຫໍສະໝຸດ 在流场中任取一微元平行六面体
边长分别为dx、dy、dz。
t瞬时A点的速度为
第八章理想流体有旋流动和无 旋流动演示文稿
(优选)第八章理想流体有旋 流动和无旋流动
在许多工程实际问题中,流动参数不仅在流动方向上发生变化,而且 在垂直于流动方向的横截面上也要发生变化。
要研究此类问题,就要用多维流动的分析方法。
本章主要讨论理想流体多维流动的基本规律,为解决工程实际中类似 的问题提供理论依据,也为进一步研究粘性流体多维流动奠定必要的 基础。
t x
y
z
v div v 0
t
t
——可压缩流体非定常三维流动的连续性方程
连续性方程表示了单位时间控制体内流体质量的增量等于流体在控制体 表面上的净通量。
它适用于理想流体和粘性流体、定常流动和非定常流动。
vx vy vz 0
t x
y
z
v div v 0
本章内容
微分形式的连续方程 流体微团运动分解 理想流体运动方程 定解条件 理想流体运动微分方程的积分 涡线 涡管 涡束 涡通量 速度环量 斯托克斯定理 汤姆孙定理 亥姆霍兹定理
平面涡流 速度势 流函数 流网 几种简单的平面势流 简单平面势流的叠加 均匀等速流绕过圆柱体的平面
柱坐标系中微分形式的连续性方程
t
1 r
r
(r vr
)
1 r
( v
)
z
(vz
)
0
定常
1 r
r
(r vr
)
1 r
( v
)
z
(vz
)
0
不可压缩定常
vr 1 v vz vr 0 r r z r
球坐标系中微分形式的连续性方程
t
1 r2
(vrr2 ) r
1 r sin