2011年普通专升本高等数学真题汇总
天津市专升本2011数学真题及答案

D
A.
2 d
2
f
r 2 dr
0
0
B. 2 d 2 f r 2 dr
0
C.
2 d
2
f
r2
rdr
0
0
D. 2 d 2 f r 2 rdr
0
10.设实数 a 0 , f x为连续的奇函数,x x f tdt ,则 a xdx
2.每小题选出答案后,用 2B 铅笔把答题卡上对应题目的答案标号涂黑。如需改动, 用橡皮擦干净后,再选涂其他答案标号。答在试卷上的无效。
3. 考试结束,监考人将本试卷和答题卡一并收回。 一、选择题:本大题共 10 小题,每小题 4 分,共 40 分
1.下列函数中, lim f x存在的是 x0
2011 年天津市高等院校“高职升本科”招生统一考试
高等数学
本试卷分第 I 卷(选择题)和第Ⅱ卷非选择题)两部分。第 I 卷 1 至 2 页,第Ⅱ卷 3 至 8 页。共 150 分。考试时间 120 分钟。
第 I 卷(选择题 共 40 分)
注意事项:
1. 答第 I 卷前,考生务必将自己的姓名、准考证号、考试科目涂写在答题卡上,并 将本人考试用条形码贴在答题卡的贴条形码处。
3
y f x与直线 x 1 , y 0 所围成的平面图形绕 X 轴旋转一周所成的旋转体的体积 为 47 ,求函数 f x的表达式。
90
得分 评卷人 23.(本小题满分 12 分)
得分 评卷人 二、填空题:本大题共 6 小题,每小题 4 分,共 24 分,把答案填在 题中横线上.
11.求极限 lim 5x 2 7x 9 x x3 sin 1 x
山东省普通高等教育专升本统一考试2011年机械工程及自动化专业高等数学

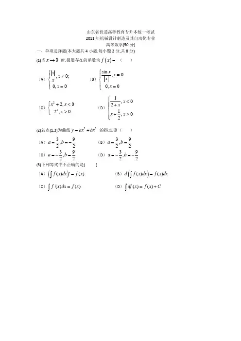
山东省普通高等教育专升本统一考试2011年机械设计制造及其自动化专业高等数学(50分)一、单项选择题(本大题共4小题,每小题2分,共8分)(1)当0x → 时,极限存在的函数为()f x = ( )(A ),0;0,0x x x x ⎧≠⎪⎨⎪=⎩(B )sin ,00,0x x x x ⎧≠⎪⎨⎪=⎩(C )22,02,0x x x x ⎧+<⎨>⎩ (D )1,021,02x x x x ⎧<⎪⎪+⎨⎪+>⎪⎩ (2)若点(1,3)为曲线32y ax bx =+ 的拐点,则( )(A )39,22a b ==- (B )39,22a b == (C )39,22a b =-= (D )39,22a b =-=- (3)下列等式中不正确的是( ) (A )()()'()f x dx f x =⎰ (B )()()()d f x dx f x dx =⎰ (C )'()()f x dx f x =⎰ (D )()()df x f x C =+⎰(4)设级数12!n n n n n ∞=∑ (1)与级数13!n n n n n ∞=∑ (2),则( )(A)级数(1)(2)都收敛 (B)级数(1)(2)都发散;(C)级数(1)收敛,级数 (2)发散(D)级数(1)发散,级数(2)收敛.二、填空题(本大题共4小题,每空2分,共8分)(1)设3y x = ,则dy =(2)设()()()()122010f x x x x x =--⋯- ,则()'0f =(3)已知()(),1y x y arcs x f i =+=,则()2,1x f = (4)幂级数0(2)3nn n x n ∞=+∑ 的收敛半径R = 三、解答题(本大题共8小题,每小题3分,共24分)(1)计算极限:111lim ln 1x x x →⎛⎫-⎪-⎝⎭(2)设函数()21 arctan y x x =+ ,求',''y y(3)设函数(),z z x y = 由方程333z xyz a -= 确定,求.z z x y∂∂∂∂ ,及dz(4)已知ABC ∆ 的三个顶点的坐标分别为:()()()1,2,33,4,52,4,7A B C 、、 。
2011年江苏专转本高等数学试卷及答案

江苏省2011年普通高校专转本统一考试试卷高等数学试卷一、选择题(本大题共6小题,每小题4分,共24分,在每小题给出的四个选项中,只有一项是符合题目要求的,请把所选项前的字母填在答题卷的指定位置上)1、当x→0时,函数f(x)=e-x-1是函数g(x)=x的。
A、高阶无穷小B、低阶无穷小C、同阶无穷小D、等价无穷小评析:本题是考查无穷小阶的比较,两个无穷小之间的关系通过作“商的极限”可以得出相x2x2x 2与函数g(x)为同阶无穷小,因此选C。
这种题型还是比较常见的,关键是掌握无穷小阶的比较的概念,即有三种关系:高阶、同阶(包括等价)、低阶。
h→0hA、-4B、-2C、2D、4评析:本题是一道经典的关于导数定义的考查题型,即通过导数的定义来构造极限。
h→0h h→0-2hf'(x0)=-2,因此选B。
3、若点(1,-2)是曲线y=ax-bx的拐点,则。
A、a=1,b=3B、a=-3,b=-1C、a=-1,b=-3D、a=4,b=6评析:本题间接地考查了导数的应用,即利用已知极值点或拐点的有关信息反求函数中的参数。
对于多项式函数y=ax-bx,显然满足二阶可导的,因此点(1,-2)一定是使得二阶导数等于零的点,因为y''=6ax-2b,所以y''(1)=6a-2b=0,又点(1,-2)本身也是曲线y=ax-bx2上的点,所以y(1)=a-b=-2,结合两个关于a,b的方程解得a=1,b=3,因此选A。
4、设z=f(x,y)为由方程z1 1 3-3yz+3x=8所确定的函数,则∂z∂y|x=0y=0=。
A、-2 B、2C、-2D、2x2 x xe-x-1e-1x 1应的关系,因为lim=lim=lim=(常数),所以当x→0时函数f(x)2f(x-h)-f(x+h)002、设函数f(x)在点x处可导,且lim=4,则f(x)=。
f(x-h)-f(x+h)f(x-h)-f(x+h)'32323评析:本题考查二元隐函数求偏导,利用的是构造三元函数F (x ,y ,z )=z2y3-3yz+3x-8,则F y =-3z,F z =3z -3y ,于是∂y=- z=- 3z 2 -3y=3z 2 -3y;把x=0,y=0代入到原方程中得z =2,所以 ∂z ∂y | x =0 y =0 = 3⋅2 3⋅2-3⋅0 = 12,因此选B 。
高数真题及答案

山东省普通高等教育专升本统一考试《高等数学》真题(部分)一、 选择题1、函数22712arcsin x x x y -+-=的定义域为( )【2011年真题】 A 、]4,3[- B 、 )4,3(- C 、 ]2,0[ D 、 )2,0(【答案】选C.2、如果级数)0(1≠∑∞=n n n u u 收敛,则必有( )【2011年真题】A 、级数∑∞=11n n u 发散B 、级数)1(1n u n n +∑∞=收敛 C 、级数∑∞=1n n u 收敛 D 、级数n n n u ∑∞=-1)1(收敛【答案】选A.二、填空题:1、由方程0422=--xy y x 确定的隐函数的导数dxdy = 【2011年真题】 【答案】填 x y y x 22+-. 2、向量)4,1,1(=a 与向量)2,2,1(-=b 的夹角余弦值是 . 【2011年真题】 【答案】填1827. 3、级数∑∞=n n n x !的收敛区间为_______.【2010年真题】 【答案】),(+∞-∞. 【解析】收敛半径:∞=+=+==∞→∞→+∞→)1(lim !)!1(lim ||lim 1n n n a a R n n n n n , 所以,收敛区间为:),(+∞-∞.4、当26ππ≤<x 时,x x x f sin )(=是_______函数(填“单调递增”、“单调递减”) 【2009年真题】【答案】单调递减 【解析】,sin cos )(2xx x x x f -='令,sin cos )(x x x x g -= ,sin cos sin cos )(x x x x x x x g -=--='当26ππ≤<x 时,0)(<'x g ,从而,,0)(<'x f 故函数)(x f 单调递减. 二、计算下列各题:1、求函数)0(1>⎪⎭⎫⎝⎛+=x x x y x的导数. 【2011年真题】【解析】两边取对数,)]1ln([ln ln x x x y +-=两边对x 求导数,x x x x x x x x y y ++⎪⎭⎫⎝⎛+=⎥⎦⎤⎢⎣⎡+-+⎪⎭⎫ ⎝⎛+='111ln 1111ln 1 所以,⎥⎦⎤⎢⎣⎡++⎪⎭⎫ ⎝⎛+⎪⎭⎫ ⎝⎛+=x x x x x dx dyx111ln 1.2、级数∑∞=n nn x !的收敛区间为___________.【2010年真题】【解析】收敛半径:∞=+=+==∞→∞→+∞→)1(lim !)!1(lim ||lim 1n n n a a R n n n n n ,所以,收敛区间为:),(+∞-∞.3、求幂级数 +-+-+--n xx x x nn 132)1(32的收敛半径和收敛域.【2009年真题】 【解析】 收敛半径: 11lim lim 1=+==∞→+∞→nn a a R n n nn ,当1-=x 时,级数∑∑∞=∞=--=--1111)1()1(n n n n n n 发散;当1=x 时,级数∑∞=--111)1(n n n 收敛.所以,级数的收敛域为:]1,1(-. .0663********sin 6cos 6)6()(<-⋅=-⋅=-⋅=<ππππππg x g .0663********sin 6cos6)6()(<-⋅=-⋅=-⋅=<ππππππg x g三、证明题:1、某车间靠墙壁要盖一间长方形小屋,现有存砖只能够砌成20m 长的墙壁.问:应围成怎样的长方形才能使这间小屋面积最大. 【2011年真题】【解析】设小屋宽为x 米,则长为(20-2x )米,小屋面积为:)220(x x y -=,0420=-='x y 得,5=x由实际问题的实际意义知,当围成宽5米,长10米的长方形时小屋面积最大.2、求抛物线221x y =将圆822=+y x 分割后形成的两部分的面积. 【2011年真题】 【解析】联立⎪⎩⎪⎨⎧=+=821222y x x y ,得2±=x 面积2032402022131)cos 22(22182x dt t dx x x A -=⎪⎭⎫ ⎝⎛--=⎰⎰π 342382sin 21838)2cos 1(84040+=-⎥⎦⎤⎢⎣⎡+=-+=⎰πππt t dt t . 另一部分面积346812-=-=ππA A .3、设函数)(x f 在[0,1]上连续,且1)(0≤≤x f ,证明:存在ξξξ=∈)(],1,0[f 使.【2010年真题】【解析】本题考查闭区间上连续函数的性质——零点定理.证明. 令x x f x g -=)()(,则)(x g 在[0,1]上连续,且,0)0(0)0()0(≥=-=f f g ,01)1()1(≤-=f g若等号成立,即1)1(,0)0(==f f 或,则端点0或1即可作为要找的ξ;若等号不成立,即,0)1()0(<⋅g g 由零点定理知,存在0)(),1,0(=∈ξξg 使,即ξξ=)(f . 综上可证,存在ξξξ=∈)(],1,0[f 使.4、某工厂需要围建一个面积为2512m 的矩形堆料场,一边可以利用原有的墙壁,其他三边需要砌新的墙壁.问堆料场的长和宽各为多少时,才能使砌墙所用的材料最省?【2009年真题】【解析】求最值问题.首先根据题意建立数学函数,然后求导数,并求出使一阶导数等于零的点,若只求得一个驻点,则可直接断定结论.解 设宽为x 米,则长为x 512米.新砌墙的总长度为: x x y 5122+= 由051222=-='xy ,得16=x (16-=x 舍去), 32512=x 所以,当堆料场的长为32米,宽为16米时砌墙所用的材料最省.。
【专升本】2011年数学试题及答案

绝密★启用前2011年成人高等学校招生全国统一考试数 学(文史财经类)考生注意:本试题分第Ⅰ卷(选择题)第Ⅱ卷(非选择题)两部分,满分150分,考试时间120分钟.第Ⅰ卷(选择题,共85分)一、选择题:本大题共17小题,每小题5分,共85分。
在每小题给出的四个选项中,只有一项是符合题目要求的。
(1))函数24x y -=的定义域是( )(A)]0,(-∞ (B)]2,0[(C)]2,2[- (D)),2[]2,(+∞--∞(2)已知向量)1,(),4,2(-==m b a ,且b a ⊥ ,则实数=m ( )(A)2 (B)1 (C)1- (D)2-(3)设角α是第二象限角,则( )(A)0tan ,0cos ><αα且 (B)0tan ,0cos <<αα且(C)0tan ,0cos <>αα且 (D)0tan ,0cos >>αα且(4)一个小组共有4名男同学和3名女同学,4名男同学的平均身高为1.72m,3名女同学的平均身高为1.61m ,则全组同学的平均身高为(精确到0.01m )( )(A)1.65m (B)1.66m (C)1.67m (D)1.68m(5)已知集合}4321{A ,,,=,}31{B <<-=x x ,则=B A ( )(A)}210{,,(B)}21{, (C)}321{,,(D)}2101{,,,- (6)二次函数142++=x x y ( )(A)有最小值-3 (B)有最大值-3(C)有最小值-6 (D)有最大值-6(7)不等式32<-x 的解集中包含的整数共有( )(A)8个(B)7个(C)6个 (D)5个 (8)已知函数)(x f y =是奇函数,且35(=-)f ,则=)5(f ( ) (A) 5 (B) 3 (C) -3 (D)-5(9)若5)1(=m a ,则=-m a2( ) (A)251 (B)51 (C)5 (D)25 (10)若向量=21log 4 ( ) (A)2 (B)=21 (C)21- (D)2- (11)已知25与实数m 的等比中项是1,则m= ( ) (A)251 (B)51 (C)5 (D)25 (12)方程800253622=-y x 的曲线是 ( )(A)椭圆 (B)双曲线 (C)圆 (D)两条直线(13)在首项是20,公差为-3的等差数列中,绝对值最小的一项是( )(A)第5项 (B)第6项(C)第7项 (D)第8项(14)设圆048422=+-++y x y x 的圆心与坐标原点间的距离为d ,则( )(A)54<<d (B)65<<d (C)32<<d (D) 43<<d(15)下列函数中,既是偶函数,又在区间),(30为减函数的是( ) (A)x y cos = (B)x y 2log = (C) 42-=x y (D)x y )31(= (16)一位篮球运动员投篮两次,两投全中的概率为375.0,两投一中的概率为5.0,则他两投全不中的概率为(A)6875.0 (B)625.0(C)5.0 (D)125.0(17)B A , 是抛物线x y 82=上两点,且此抛物线的焦点在线段AB 上,已知AB 两点的横坐标之和为10,则=AB ( )(A)18 (B)14(C)12 (D)10 第Ⅱ卷(非选择题,共65分)二、填空题:本大题共4小题,每小题4分,共16分,把答案填在题中横线上。
2011年成人高考专升本《高数一》试题及答案

机动
目录
上页
下页
返回
结束
2.定义 设 是空间中一条有限长的光滑曲线, 义在 上的一个有界函数, 若通过对 的任意分割 和对 局部的任意取点, 下列“乘积和式极限”
( k ,k , k )
n
0
lim
f ( k ,k , k )sk
记作
k 1
f ( x, y , z ) d s
(由
1
f ( x, y , z ) d s
2
f ( x, y , z ) d s
组成)
( l 为曲线弧 的长度)
机动
目录
上页
下页
返回
结束
(5) 若在曲线弧 上,有
f ( x, y, z ) g ( x, y, z )
,则
f ( x , y , z ) ds
g ( x , y , z ) ds
机动
ds d y dx x x
上页 下页 返回 结束
目录
如果曲线 L 的方程为
则有
a
b
f ( x, ( x) ) 1 2 ( x) d x
如果方程为极坐标形式: L : r r ( ) ( ), 则
推广:
f ( r ( ) cos , r ( ) sin ) r 2 ( ) r 2 ( ) d
tk
k 1
t
(t ) (t ) d t
2 2
2
2
( k ) ( k ) t k ,
则
lim f [ ( k ) , ( k ) ]
2011年普通专升本高等数学真题汇总
2011年普通专升本高等数学真题一一. 选择题(每个小题给出的选项中,只有一项符合要求:本题共有5个小题,每小题4分,共20分)1.函数()()x x x f cos 12+=是( ).()A 奇函数 ()B 偶函数 ()C 有界函数 ()D 周期函数2.设函数()x x f =,则函数在0=x 处是( ).()A 可导但不连续 ()B 不连续且不可导()C 连续且可导 ()D 连续但不可导3.设函数()x f 在[]1,0上,022>dxfd ,则成立( ). ()A ()()0101f f dxdf dxdf x x ->>== ()B ()()0110==>->x x dx df f f dxdf()C ()()0101==>->x x dxdf f f dxdf()D ()()101==>>-x x dxdf dxdf f f4.方程22y x z +=表示的二次曲面是( ).()A 椭球面 ()B 柱面()C 圆锥面 ()D 抛物面5.设()x f 在[]b a ,上连续,在()b a ,内可导,()()b f a f =, 则在()b a ,内,曲线()x f y =上平行于x 轴的切线( ).()A 至少有一条 ()B 仅有一条().C 不一定存在 ().D 不存在二.填空题:(只须在横线上直接写出答案,不必写出计算过程,每小题4分,共40分)考学校:______________________报考专业:______________________姓名: 准考证号: ----------------------------------------------------------------------------密封线---------------------------------------------------------------------------------------------------2.设函数()x f 在1=x 可导, 且()10==x dx x df ,则()().__________121lim=-+→xf x f x .3.设函数(),ln 2x x f =则().________________________=dxx df4.曲线x x x y --=233的拐点坐标._____________________5.设x arctan 为()x f 的一个原函数,则()=x f ._____________________6.()._________________________2=⎰xdt t f dx d7.定积分().________________________2=+⎰-ππdx x x8.设函数()22cos y x z +=,则._________________________=∂∂x z9. 交换二次积分次序().__________________________,010=⎰⎰xdy y x f dx10. 设平面∏过点()1,0,1-且与平面0824=-+-z y x 平行,则平面∏的方程为._____________________三.计算题:(每小题6分,共60分)1.计算xe x x 1lim 0-→.2.设函数()()x x g e x f xcos ,==,且⎪⎭⎫⎝⎛=dx dg f y ,求dx dy .3.计算不定积分()⎰+.1x x dx4.计算广义积分⎰+∞-0dx xe x .5.设函数()⎩⎨⎧<≥=0,0,cos 4x x x x x f ,求()⎰-12dx x f . 6. 设()x f 在[]1,0上连续,且满足()()⎰+=12dt t f e x f x,求()x f .7.求微分方程xe dx dy dxy d =+22的通解. 8.将函数()()x x x f +=1ln 2展开成x 的幂级数.9.设函数()yx yx y x f +-=,,求函数()y x f ,在2,0==y x 的全微分. 10.计算二重积分,()⎰⎰+Ddxdy y x22,其中1:22≤+y x D .四.综合题:(本题共30分,其中第1题12分,第2题12分,第3题6分) 1.设平面图形由曲线xe y =及直线0,==x e y 所 围成,()1求此平面图形的面积;()2求上述平面图形绕x 轴旋转一周而得到的旋转体的体积.2.求函数1323--=x x y 的单调区间、极值及曲线的凹凸区间.3.求证:当0>x 时,e x x<⎪⎭⎫⎝⎛+11.__报考专业:______________________姓名: 准考证号------------------------------密封线---------------------------------------------------------------------------------------------------2011年普通专升本高等数学真题二一. 选择题(每个小题给出的选项中,只有一项符合要求:本题共有5个小题,每小题4分,共20分)1.当0→x 时,1sec -x 是22x 的( )..A 高阶无穷小 .B 低阶无穷小 .C 同阶但不是等阶无穷小 D .等阶无穷小2.下列四个命题中成立的是( )..A 可积函数必是连续函数 .B 单调函数必是连续函数 .C 可导函数必是连续函数 D .连续函数必是可导函数 3.设()x f 为连续函数,则()⎰dx x f dx d等于( ). .A ()C x f + .B ()x f.C ()dx x dfD .()C dxx df + 4.函数()x x x f sin 3=是( )..A 偶函数 .B 奇函数.C 周期函数 D .有界函数5.设()x f 在[]b a ,上连续,在()b a ,内可导,()()b f a f =, 则在()b a ,内,曲线()x f y =上平行于x 轴的切线( ).()A 不存在 ()B 仅有一条 ().C 不一定存在 ().D 至少有一条二.填空题:(只须在横线上直接写出答案,不必写出计算过程,每小题4分,共40分)__________=a .2.()()().___________________311sin lim221=+--→x x x x3..___________________________1lim 2=++--∞→xx x x x 4.设函数()x f 在点1=x 处可导,且()11==x dx x df ,则()()._______121lim=-+→xf x f x5设函数()x x f ln 2=,则().____________________=dxx df6.设xe 为()xf 的一个原函数,则().___________________=x f 7.()._________________________2=⎰x dt t f dxd 8.._________________________0=⎰∞+-dx e x9.().________________________2=+⎰-ππdx x x10.幂级数()∑∞=-022n nnx 的收敛半径为.________________三.计算题:(每小题6分,共60分) 1.求极限()()()()()x b x a x b x a x ---+++∞→lim.2.求极限()nnnn n n 75732lim+-++∞→.3.设()b ax ey +=sin ,求dy .4.设函数xxe y =,求22=x dx yd .5.设y 是由方程()11sin =--xy xy 所确定的函数,求(1).0=x y ; (2).=x dx dy .6.计算不定积分⎰+dx x x132.7.设函数()⎩⎨⎧≤<≤≤=21,210,2x x x x x f ,求定积分()⎰20dx x f .8.计算()xdte ex t tx cos 12lim--+⎰-→.9.求微分方程022=+dxdydx y d 的通解. 10.将函数()()x x x f +=1ln 2展开成x 的幂级数.四.综合题:(每小题10分,共30分)1. 设平面图形由曲线xe y =及直线0,==x e y 所围成, (1)求此平面图形的面积;(2)求上述平面图形绕x 轴旋转一周而得到的旋转体的体积. 2.求过曲线xxey -=上极大值点和拐点的中点并垂直于0=x 的直线方程。
2011年山东专升本数学真题(公共课)
山东省二〇一一年专升本统一考试高等数学真题一、单选题(在每个小题的备选答案中选出一个正确的答案,并将正确答案的序号填入题后的括号内。
每小题1分,共10分)1.函数21arcsin7x y -=+)(A )[3,4]- (B )(3,4)- (C )[0,2] (D )(0,2)2.极限211lim1x x x →--等于( )(A )0 (B )2 (C )1 (D )1-3.曲线1y x=在点1(2,)2的切线方程是( )(A )440x y +-= (B )440x y --= (C )440x y +-= (D )440x y --= 4. 函数()f x 在0x 点可导,且0()f x 是函数()f x 的极大值,则( )(A )0()0f x '< (B )0()0f x ''> (C )0()0f x '=,且0()0f x ''> (D )0()0f x '=5. 函数sin (1)x y x x =-的铅直渐近线是( )(A )1x = (B )0x = (C )2x = (D )1x =- 6.定积分20⎰的值是( )(A )2π (B )π (C )2π(D )4π7. 已知(0)3f '=,则0()(0)lim4x f x f x ∆→-∆-∆等于( )(A )14(B )14-(C )34(D )34-8. 已知点(1,1,1)A ,点(3,,)B x y ,且向量AB与向量(2,3,4)a = 平行,则x 等于( )(A )1 (B )2 (C )3 (D )49. 如果级数1nn u∞=∑(0nu ≠)收敛,则必有( )(A )级数11n nu∞=∑发散 (B )级数1n n u ∞=∑收敛(C )级数1(1)nn n u ∞=-∑收敛 (D )级数11n n u n ∞=⎛⎫+ ⎪⎝⎭∑收敛 10. 函数()f x x =在点0x =处( )(A )不连续 (B )连续,但图形无切线 (C )图形有铅直的切线 (D )可微 二、填空题(每小题2分,满分20分)1.若3,0(),xe xf x a x ⎧+>=⎨≤⎩ 在0x =点连续,则a = .2.极限422123lim32x x x x x →+-=-+ .3.0x =是函数sin ()x f x x=的第 类间断点.4.由方程2240x y xy --=确定隐函数的导数dy dx= .5.函数2()3f x x x =-的极值点是 .6.函数43()f x x =的图形的(向上)凹区间是 . 7.3x xe dx =⎰ .8.向量(1,1,4)a = 与向量(1,2,2)b =-的夹角的余弦是 .9.级数131nn xn ∞=+∑的收敛区间是 .10.微分方程560y y y '''++=的通解为 .三、计算题(每小题5分,共50分) 1.3113lim 11x x x →-⎛⎫-⎪++⎝⎭. 2.0sin(4)limx x →.3.求由参数方程33cos sin x a y a θθ⎧=⎨=⎩ 所确定的函数的导数d yd x .4.求函数1xx y x ⎛⎫= ⎪+⎝⎭(0x >)的导数.5.求23sin cos x xdx ⎰.6.求120arcsin xdx ⎰.7.求微分方程cot 2sin y y x x x '-=的通解.8.求与两平面43x z -=和251x y z --=的交线平行且过点(3,2,5)-的直线方程. 9.计算Dxyd σ⎰⎰,其中D 为由直线1y =,2x =及y x =所围成的闭区域.10.已知函数44224z x y x y =+-,求2z x y∂∂∂.四、应用和证明题(第1,2小题各7分,第3小题6分,共20分)1.某车间靠墙壁要盖一间长方形小屋,现有存砖只够砌20m 长的墙壁.问应围成怎样的长方形才能使这间小屋的面积最大? 2.求抛物线212y x =将圆228x y +=分割后形成的两部分的面积.3.已知()f x 为连续的奇函数,证明()x f t dt为偶函数.需要答案的联系我 152******** QQ 86174269。
2011年四川理工学院专升本高等数学考试题
四川理工学院2011年专升本高等数学考试题一、选择题(每小题4分,共20分)1.设1sin ,0(),0x x f x x a x x ⎧>⎪=⎨⎪+≤⎩在0x =连续,则( ) A .1a =, B.0a =, C. 2a =, D.以上结论都不对.2.下列说法正确的是( )A.如果()lim 1()x a f x g x →=,则(),()f x g x 是x a →的等价无穷小; B.如果(),()f x g x 是x a →的等价无穷小,则()lim 1()x af xg x →= C.如果lim 0n n u →∞=,则级数1n n u ∞=∑一定收敛;D.如果()f x 在0x =处的二阶导数存在,(0)((0))f f ''''=.3.直线56:253x y z l --==与平面:159515x y z π-+=-的位置关系为( ) A.平行; B.垂直; C.直线在平面内; D.相交不垂直.4.设()y f x =在区间[0,1]上不恒为常数,且连续可导,若(0)(1)f f =,则在开区间(0,1)内有( )A.()f x '恒为零;B.()0f x '>;C. ()0f x '<;D.在(0,1)内存在两点1ξ和2ξ,使1()f ξ'与异号.5.设函数()f x 可导,且满足条件0(1)(1)lim 12x f f x x→--=,则曲线()y f x =在(1,(1))f 处的切线斜率为( ) A.2 B. 1 C.12. D.-2. 二、填空题(每小题4分,共24分)6.微分方程440y y y '''-+=的通解为( );7.设函数()y f x =由方程ln arctan x y t⎧⎪=⎨=⎪⎩t -∞<<+∞),则2t dy dx ==( ); 8.函数2()(33)x f x x x e -=+-在区间[4,)-+∞内的最小值为( );9.函数()f x 连续,且当0x ≥时有2130()1x f t dt x -=+⎰,则(3)f =( ); 10.广义积分21dx x +∞-∞+⎰的值为( ); 11.由抛物线2y x =与2x y =所围成的图形绕y 轴旋转所产生的旋转体的体积为( )。
(完整)2011高数专升本试卷及答案,推荐文档
河北省2011年普通高校专科接本科教育选拔考试《数学(二)》(财经类)试卷(考试时间60分钟)说明:请将答案填写在答题纸的相应位置上,填在其它位置上无效。
一、单项选择题(本大题共10小题,每小题3分,共30分,在每小题给出的四个备选项中,选出一个正确的答案,并将所选项前面的字母填写在答题纸的相应位置上,填写在其它位置上无效)1.函数 91)1ln(2-++=x x y 定义域为( )A. (-1,+∞)B. (-1,3)C. (3,+∞)D. (-3,3)2.极限)(x 1x 2xx lim =⎪⎭⎫⎝⎛-∞→A.e 2B. 1C. 2D. e 2-3.已知函数⎪⎪⎩⎪⎪⎨⎧>+=<=021cos 00sin )(x x x x b x xaxx f 在定义域内连续,则)(=+b aA. 4B. 2C. 1D. 04.由方程3+=xy e y 所确定的隐函数)(x y y =的导数)(=dxdy-A. x e y y -B.yx e y - C.x e y y + D. x e y y --5.曲线1322+-=x x y 的凹区间为( )A. (]0,∞-B.[)+∞,0C.(]1,∞-D.[)+∞,16.已知某产品的总收益函数与销售量x 的关系为210)(2x x x R -=,则销售量x=12时的边际收益为( )A. 2B.2-C.1D.1-7.设)(x F 是)(x f 的一个原函数,则⎰=--)()(dx e f e xxA.C e F x +-)(B.C eF x+--)( C. C e F x +)( D. C e F x +-)(8.微分方程xe y y =-'满足初始条件00==x y的特解为( )A. )(c x e x+ B. )1(+x e xC.1-x eD. xxe9. 当( )时,齐次线性方程组⎪⎩⎪⎨⎧=++=++=++000321321321x x x x x x x x x λλλ 有非零解-A.1≠λB.2-≠λC.12=-=λλ或 D. 12≠-≠λλ且10.下列级数发散的是( )A. ∑∞=-11)1(n nn B.∑∞=-152)1(n n n C.∑∞=11n n D.∑∞=-121)1(n n n 二.填空题(本大题共5小题,每小题4分,共20分,将答案填写在答题纸的相应位置上,填写在其它位置上无效)11.已知2xe 为)(x f 的一个原函数,则⎰________)('dx x xf12.幂级数∑∞=--113)1(n n nn x 的收敛半径为_____________ 13.已知二元函数________________),ln(22=∂∂+=xzy x x z 则14.二阶方阵A 满足⎥⎦⎤⎢⎣⎡=⎥⎦⎤⎢⎣⎡10122111A ,则_____________=A 15.微分方程y y xy ln '=的通解为_____________________=y三.计算题(本大题共4小题,每小题10分,共40分,将解答的主要过程、步骤和答案填写在答题的相应位置上,填写在其它位置上无效) 16. 求极限⎪⎭⎫ ⎝⎛--→1e 1x 1lim x 0x 17.求由曲线2e y =与其在点)e ,1(处的切线及主轴所围成平面图形的面积。
- 1、下载文档前请自行甄别文档内容的完整性,平台不提供额外的编辑、内容补充、找答案等附加服务。
- 2、"仅部分预览"的文档,不可在线预览部分如存在完整性等问题,可反馈申请退款(可完整预览的文档不适用该条件!)。
- 3、如文档侵犯您的权益,请联系客服反馈,我们会尽快为您处理(人工客服工作时间:9:00-18:30)。
2011年普通专升本高等数学真题一一. 选择题(每个小题给出的选项中,只有一项符合要求:本题共有5个小题,每小题4分,共20分)1.函数()()x x x f cos 12+=是( ).()A 奇函数 ()B 偶函数 ()C 有界函数 ()D 周期函数2.设函数()x x f =,则函数在0=x 处是( ).()A 可导但不连续 ()B 不连续且不可导()C 连续且可导 ()D 连续但不可导3.设函数()x f 在[]1,0上,022>dxfd ,则成立( ). ()A ()()0101f f dxdf dxdf x x ->>== ()B ()()0110==>->x x dx df f f dxdf()C ()()0101==>->x x dxdf f f dxdf()D ()()101==>>-x x dxdf dxdf f f4.方程22y x z +=表示的二次曲面是( ).()A 椭球面 ()B 柱面()C 圆锥面 ()D 抛物面5.设()x f 在[]b a ,上连续,在()b a ,内可导,()()b f a f =, 则在()b a ,内,曲线()x f y =上平行于x 轴的切线( ).()A 至少有一条 ()B 仅有一条().C 不一定存在 ().D 不存在二.填空题:(只须在横线上直接写出答案,不必写出计算过程,每小题4分,共40分)1.计算_________________2sin 1lim 0=→xx x报考学校:______________________报考专业:______________________姓名: 准考证号: ---------------------------------------------------------------------------------------密封线---------------------------------------------------------------------------------------------------2.设函数()x f 在1=x 可导, 且()10==x dx x df ,则 ()().__________121lim=-+→xf x f x .3.设函数(),ln 2x x f =则().________________________=dxx df4.曲线x x x y --=233的拐点坐标._____________________5.设x arctan 为()x f 的一个原函数,则()=x f ._____________________6.()._________________________2=⎰x dt t f dxd 7.定积分().________________________2=+⎰-ππdx x x8.设函数()22cos y x z +=,则._________________________=∂∂x z9. 交换二次积分次序().__________________________,010=⎰⎰xdy y x f dx10. 设平面∏过点()1,0,1-且与平面0824=-+-z y x 平行,则平面∏的方程为._____________________三.计算题:(每小题6分,共60分)1.计算xe x x 1lim 0-→.2.设函数()()x x g e x f xcos ,==,且⎪⎭⎫⎝⎛=dx dg f y ,求dx dy . 3.计算不定积分()⎰+.1x x dx4.计算广义积分⎰+∞-0dx xe x .5.设函数()⎩⎨⎧<≥=0,0,cos 4x x x x x f ,求()⎰-12dx x f . 6. 设()x f 在[]1,0上连续,且满足()()⎰+=12dt t f e x f x,求()x f .7.求微分方程xe dx dy dxy d =+22的通解. 8.将函数()()x x x f +=1ln 2展开成x 的幂级数.9.设函数()yx yx y x f +-=,,求函数()y x f ,在2,0==y x 的全微分. 10.计算二重积分,()⎰⎰+Ddxdy y x22,其中1:22≤+y x D .四.综合题:(本题共30分,其中第1题12分,第2题12分,第3题6分) 1.设平面图形由曲线xe y =及直线0,==x e y 所 围成,()1求此平面图形的面积;()2求上述平面图形绕x 轴旋转一周而得到的旋转体的体积.2.求函数1323--=x x y 的单调区间、极值及曲线的凹凸区间.3.求证:当0>x 时,e x x<⎪⎭⎫⎝⎛+11.:______________________报考专业:______________________姓名: 准考证号: --------------------------------------------------------------------密封线---------------------------------------------------------------------------------------------------2011年普通专升本高等数学真题二一. 选择题(每个小题给出的选项中,只有一项符合要求:本题共有5个小题,每小题4分,共20分)1.当0→x 时,1sec -x 是22x 的( )..A 高阶无穷小 .B 低阶无穷小 .C 同阶但不是等阶无穷小 D .等阶无穷小2.下列四个命题中成立的是( )..A 可积函数必是连续函数 .B 单调函数必是连续函数 .C 可导函数必是连续函数 D .连续函数必是可导函数 3.设()x f 为连续函数,则()⎰dx x f dxd等于( ). .A ()C x f + .B ()x f.C ()dx x dfD .()C dxx df +4.函数()x x x f sin 3=是( )..A 偶函数 .B 奇函数.C 周期函数 D .有界函数5.设()x f 在[]b a ,上连续,在()b a ,内可导,()()b f a f =, 则在()b a ,内,曲线()x f y =上平行于x 轴的切线( ).()A 不存在 ()B 仅有一条 ().C 不一定存在 ().D 至少有一条二.填空题:(只须在横线上直接写出答案,不必写出计算过程,每小题4分,共40分)1.设函数()⎩⎨⎧>+≤=0,0,x x a x e x f x 在0=x 处连续,则__________=a .2.()()().___________________311sin lim221=+--→x x x x3..___________________________1lim 2=++--∞→xx x x x 4.设函数()x f 在点1=x 处可导,且()11==x dx x df ,则()()._______121lim=-+→xf x f x5设函数()x x f ln 2=,则().____________________=dxx df6.设xe 为()xf 的一个原函数,则().___________________=x f 7.()._________________________2=⎰x dt t f dxd 8.._________________________0=⎰∞+-dx e x9.().________________________2=+⎰-ππdx x x10.幂级数()∑∞=-022n nnx 的收敛半径为.________________三.计算题:(每小题6分,共60分) 1.求极限()()()()()x b x a x b x a x ---+++∞→lim.2.求极限()nnnn n n 75732lim+-++∞→.3.设()b ax ey +=sin ,求dy .4.设函数xxe y =,求22=x dx yd .5.设y 是由方程()11sin =--xy xy 所确定的函数,求(1).0=x y ; (2).=x dx dy .6.计算不定积分⎰+dx x x132.7.设函数()⎩⎨⎧≤<≤≤=21,210,2x x x x x f ,求定积分()⎰20dx x f .8.计算()xdte ex t tx cos 12lim--+⎰-→.9.求微分方程022=+dxdydx y d 的通解.考证号:--------------------------------------------10.将函数()()x x x f +=1ln 2展开成x 的幂级数.四.综合题:(每小题10分,共30分)1. 设平面图形由曲线xe y =及直线0,==x e y 所围成, (1)求此平面图形的面积;(2)求上述平面图形绕x 轴旋转一周而得到的旋转体的体积. 2.求过曲线xxey -=上极大值点和拐点的中点并垂直于0=x 的直线方程。
(注:由使函数取极大值的点0x 和函数的极大值()0x f 所构成的一对数组()()00,x f x 称为曲线()x f y =上的极大值点).3.设函数()x f y =在点0x 处可导,证明它在点0x 处一定连续,并举例説明其逆不真.2011年普通专升本高等数学真题三一、填空题(每小题3分共15分)1 .2arccos x y = 则=)0(/y _________.2. 设x e x f arctan )(=,则=)(x df _______________. 3:=-⎰dx x 1021____________4:微分方程3ydy+3x 2dx=0的阶是______________5.当=k ________ 时, e xkx x =+∞→)1(lim二、 单选题(每小题3分共15分)1.必为函数f(x)单调区间分界点的是( )A. 使0)(/=x f 的点B. f(x)的间断点C. )(/x f 不存在的点D.以上都不对 2:设f(0)=0且x x f x )lim0(→存在,则xx f x )lim 0(→=( )A: f(0) B: f /(x) C: f /(0) D: 03:⎰+∞-=0dx e x ( )A. ―1B. 0C. 1D. 发散4: 若f(x)的一个原函数是x1, 则=)(/x f ( )A. 21x -B. 32xC. x lnD. x 15:微分方程y //=x e -的通解为 y=( )A: 21c x c e x ++- B: 21c x c e x ++-- C: x e - D: x e -- 三、求极限(每小题6分,共42分)1:)3(lim 2x x x x -+∞→2:x x x 2)21(lim -∞→3:求π4ln sin 2+-=xxx x y 的dy 4:求隐函数方程y 3=xy+2x 2+y 2确定y=y(x)的dxdy5:⎰dx xx ln 16:dx ex⎰17: 设函数y y x =()由参数方程x t y t==-⎧⎨⎪⎩⎪221确定,求d d y x 。