2020-2021高三数学下期末一模试题含答案(17)
2020-2021高三数学下期末一模试题含答案

1.A
解析:A
【解析】
【分析】
【详解】
由 ,而 ,故由独立性检验的意义可知选A
2.A
解析:A
【解析】
【分析】
【详解】
根据题意,分析可得,甲可以被分配在星期一、二、三;据此分3种情况讨论,计算可得其情况数目,进而由加法原理,计算可得答案.
解:根据题意,要求甲安排在另外两位前面,则甲有3种分配方法,即甲在星期一、二、三;
先求出函数y=g(x)的解析式,再利用三角函数的图像和性质对每一个选项逐一分析判断.
【详解】
设点P(x,y)是函数 图像上的任意一点,则点Q 在函数y=f(x)的图像上,
,
对于选项A,函数y=g(x)的最大值为1,但是 ,所以图象不关于直线 对称,所以该选项是错误的;
对于选项B, ,所以函数g(x)是奇函数,解
A. B. C. D.
11.在 内,不等式 的解集是()
A. B. C. D.
12.在等比数列 中, ,则 ( )
A. B. C. D.
二、填空题
13.设函数 ,若 ,则实数 的取值范围是__________.
14.已知实数 , 满足 ,则 的最小值是__________.
15.函数 的图象恒过定点A,若点A在一次函数 的图象上,其中 则 的最小值为
故选B.
考点:由三视图求面积、体积.
7.B
解析:B
【解析】
【分析】
先由三视图还原出原几何体,再进行计算
【详解】
由三视图得该棱柱的高为6,底面可以看作是由两个直角梯形组合而成的,其中一个上底为4,下底为6,高为3,另一个的上底为2,下底为6,高为3,则该棱柱的体积为 .
故选B.
2020-2021高三数学下期末一模试卷(带答案)(10)

2020-2021高三数学下期末一模试卷(带答案)(10)一、选择题1.若43i z =+,则z z =( ) A .1 B .1- C .4355i + D .4355i - 2.将编号为1,2,3,4,5,6的六个小球放入编号为1,2,3,4,5,6的六个盒子,每个盒子放一个小球,若有且只有三个盒子的编号与放入的小球编号相同,则不同的放法种数是( ) A .40 B .60C .80D .1003.如图,12,F F 是双曲线2222:1(0,0)x y C a b a b-=>>的左、右焦点,过2F 的直线与双曲线C 交于,A B 两点.若11::3:4:5AB BF AF =,则双曲线的渐近线方程为( )A .23y x =±B .2y x =±C .3y x =D .2y x =±4.已知命题p :若x >y ,则-x <-y ;命题q :若x >y ,则x 2>y 2.在命题①p ∧q ;②p ∨q ;③p ∧(⌝q );④(⌝p )∨q 中,真命题是( ) A .①③ B .①④C .②③D .②④ 5.在二项式42n x x 的展开式,前三项的系数成等差数列,把展开式中所有的项重新排成一列,有理项都互不相邻的概率为( )A .16B .14C .512D .136.设集合{1,2,3,4,5,6}U =,{1,2,4}A =,{2,3,4}B =,则()C U A B ⋃等于( ) A .{5,6} B .{3,5,6} C .{1,3,5,6} D .{1,2,3,4}7.下列各组函数是同一函数的是( )①()32f x x =-与()2f x x x =-()3f x 2x y x 2x 与=-=-()f x x =与()2g x x =③()0f x x =与()01g x x=;④()221f x x x =--与()221g t t t =--.A .① ②B .① ③C .③ ④D .① ④8.已知双曲线C :22221x y a b -= (a >0,b >0)的一条渐近线方程为52y x =,且与椭圆221123x y +=有公共焦点,则C 的方程为( ) A .221810x y -= B .22145x y -= C .22154x y -= D .22143x y -= 9.已知,a b ∈R ,函数32,0()11(1),032x x f x x a x ax x <⎧⎪=⎨-++≥⎪⎩,若函数()y f x ax b =--恰有三个零点,则( )A .1,0a b <-<B .1,0a b <->C .1,0a b >-<D .1,0a b >-> 10.在同一直角坐标系中,函数11,log (02a x y y x a a ⎛⎫==+> ⎪⎝⎭且1)a ≠的图象可能是( ) A . B .C .D .11.将函数()sin 2y x ϕ=+的图象沿轴向左平移8π个单位后,得到一个偶函数的图象,则ϕ的一个可能取值为( )A .B .C .0D .4π- 12.已知复数z 满足()12i z +=,则复数z 的虚部为( )A .1B .1-C .iD .i -二、填空题13.若双曲线22221x y a b -=()0,0a b >>两个顶点三等分焦距,则该双曲线的渐近线方程是___________.14.i 是虚数单位,若复数()()12i a i -+是纯虚数,则实数a 的值为 .15.某大学为了解在校本科生对参加某项社会实践活动的意向,拟采用分层抽样的方法,从该校四个年级的本科生中抽取一个容量为300的样本进行调查.已知该校一年级、二年级、三年级、四年级的本科生人数之比为4:5:5:6,则应从一年级本科生中抽取_______名学生.16.已知圆C 经过(5,1),(1,3)A B 两点,圆心在x 轴上,则C 的方程为__________.17.如图,用6种不同的颜色给图中的4个格子涂色,每个格子涂一种颜色,要求最多使用3种颜色且相邻的两个格子颜色不同,则不同的涂色方法共有 种(用数字作答).18.如图,长方体1111ABCD A B C D -的体积是120,E 为1CC 的中点,则三棱锥E -BCD 的体积是_____.19.已知1OA =u u u r ,3OB =u u u r ,0OA OB •=u u u r u u u r ,点C 在AOB ∠内,且AOC 30∠=o ,设OC mOA nOB =+u u u r u u u r u u u r ,(,)m n R ∈,则m n=__________. 20.在区间[﹣2,4]上随机地取一个数x ,若x 满足|x|≤m 的概率为,则m=_________ .三、解答题21.如图,在四棱锥P−ABCD 中,AB//CD ,且90BAP CDP ∠=∠=o .(1)证明:平面P AB ⊥平面P AD ;(2)若P A =PD =AB =DC ,90APD ∠=o ,求二面角A −PB −C 的余弦值.22.某小组共10人,利用假期参加义工活动,已知参加义工活动次数为1,2,3的人数分别为3,3,4,现从这10人中随机选出2人作为该组代表参加座谈会.()1设A 为事件“选出的2人参加义工活动次数之和为4”,求事件A 发生的概率; ()2设X 为选出的2人参加义工活动次数之差的绝对值,求随机变量X 的分布列和数学期望.23.(选修4-4:坐标系与参数方程)在平面直角坐标系xOy ,已知曲线3cos :sin x a C y a ⎧=⎪⎨=⎪⎩(a 为参数),在以O 原点为极点,x 轴的非负半轴为极轴建立的极坐标系中,直线l 的极坐标方程为2cos()124πρθ+=-. (1)求曲线C 的普通方程和直线l 的直角坐标方程;(2)过点()1,0M -且与直线l 平行的直线1l 交C 于A ,B 两点,求点M 到A ,B 的距离之积.24.在直角坐标系xoy 中以O 为极点,x 轴正半轴为极轴建立坐标系.圆1C ,直线2C 的极坐标方程分别为4sin ,cos 2 2.4πρθρθ⎛⎫=-= ⎪⎝⎭. (I )12C C 求与交点的极坐标;(II )112.P C Q C C PQ 设为的圆心,为与交点连线的中点已知直线的参数方程为()33{,,.12x t at R a b b y t =+∈=+为参数求的值 25.2016年某市政府出台了“2020年创建全国文明城市简称创文”的具体规划,今日,作为“创文”项目之一的“市区公交站点的重新布局及建设”基本完成,市有关部门准备对项目进行调查,并根据调查结果决定是否验收,调查人员分别在市区的各公交站点随机抽取若干市民对该项目进行评分,并将结果绘制成如图所示的频率分布直方图,相关规则为:调查对象为本市市民,被调查者各自独立评分;采用百分制评分,内认定为满意,80分及以上认定为非常满意;市民对公交站点布局的满意率不低于即可进行验收;用样本的频率代替概率.求被调查者满意或非常满意该项目的频率;若从该市的全体市民中随机抽取3人,试估计恰有2人非常满意该项目的概率; 已知在评分低于60分的被调查者中,老年人占,现从评分低于60分的被调查者中按年龄分层抽取9人以便了解不满意的原因,并从中选取2人担任群众督察员,记为群众督查员中老年人的人数,求随机变量的分布列及其数学期望.26.在直角坐标平面内,以原点O 为极点,x 轴的非负半轴为极轴建立极坐标系.已知点A ,B 的极坐标分别为()π42,,5π224⎛⎫ ⎪⎝⎭,,曲线C 的方程为r ρ=(0r >). (1)求直线AB 的直角坐标方程; (2)若直线AB 和曲线C 有且只有一个公共点,求r 的值.【参考答案】***试卷处理标记,请不要删除一、选择题1.D解析:D【解析】【详解】由题意可得 :22435z =+=,且:43z i =-, 据此有:4343555z i i z -==-. 本题选择D 选项.2.A解析:A【解析】解:三个小球放入盒子是不对号入座的方法有2 种,由排列组合的知识可得,不同的放法总数是: 36240C = 种.本题选择A 选项.解析:A【解析】【分析】 设1123,4,5,AB BF AF AF x ====,利用双曲线的定义求出3x =和a 的值,再利用勾股定理求c ,由b y x a =±得到双曲线的渐近线方程. 【详解】设1123,4,5,AB BF AF AF x ====,由双曲线的定义得:345x x +-=-,解得:3x =,所以2212||46413F F =+=13c ⇒=, 因为2521a x a =-=⇒=,所以23b =, 所以双曲线的渐近线方程为23b y x x a =±=±. 【点睛】本题考查双曲线的定义、渐近线方程,解题时要注意如果题干出现焦半径,一般会用到双曲线的定义,考查运算求解能力.4.C解析:C【解析】试题分析:根据不等式的基本性质知命题p 正确,对于命题q ,当,x y 为负数时22x y >不成立,即命题q 不正确,所以根据真值表可得,(p q p ∨∧q )为真命题,故选C.考点:1、不等式的基本性质;2、真值表的应用. 5.C解析:C【解析】【分析】先根据前三项的系数成等差数列求n ,再根据古典概型概率公式求结果【详解】因为42n x x 前三项的系数为1212111(1)1,,112448n n n n n n C C C C n -⋅⋅∴=+⋅∴-= 163418118,0,1,2,82r rr r n n T C x r -+>∴=∴=⋅=Q L , 当0,4,8r =时,为有理项,从而概率为636799512A A A =,选C. 【点睛】本题考查二项式定理以及古典概型概率,考查综合分析求解能力,属中档题.解析:A【解析】【分析】先求并集,得到{1,2,3,4}A B ⋃=,再由补集的概念,即可求出结果.【详解】因为{1,2,4}A =,{2,3,4}B =,所以{1,2,3,4}A B ⋃=,又{1,2,3,4,5,6}U =,所以()C {5,6}U A B ⋃=.故选A.【点睛】本题主要考查集合的并集与补集的运算,熟记概念即可,属于基础题型.7.C解析:C【解析】【分析】定义域相同,对应关系一致的函数是同一函数,由此逐项判断即可.【详解】①中()f x =的定义域为(),0∞-,()f x =(),0∞-,但()f x ==-与()f x =②中()f x x =与()g x =R ,但()g x x ==与()f x x =对应关系不一致,所以②不是同一函数;③中()0f x x =与()01g x x =定义域都是{}|0x x ≠,且()01f x x ==,()011g x x==对应关系一致,所以③是同一函数; ④中()221f x x x =--与()221g t t t =--定义域和对应关系都一致,所以④是同一函数. 故选C【点睛】本题主要考查同一函数的概念,只需定义域和对应关系都一致即可,属于基础题型. 8.B解析:B【解析】【分析】根据渐近线的方程可求得,a b 的关系,再根据与椭圆221123x y +=有公共焦点求得c 即可. 【详解】双曲线C的渐近线方程为2y x =,可知2b a =①,椭圆221123x y +=的焦点坐标为(-3,0)和(3,0),所以a 2+b 2=9②,根据①②可知a 2=4,b 2=5.故选:B.【点睛】本题主要考查了双曲线与椭圆的基本量求法,属于基础题型.9.C解析:C【解析】【分析】当0x <时,()(1)y f x ax b x ax b a x b =--=--=--最多一个零点;当0x …时,32321111()(1)(1)3232y f x ax b x a x ax ax b x a x b =--=-++--=-+-,利用导数研究函数的单调性,根据单调性画函数草图,根据草图可得.【详解】 当0x <时,()(1)0y f x ax b x ax b a x b =--=--=--=,得1b x a=-;()y f x ax b =--最多一个零点;当0x …时,32321111()(1)(1)3232y f x ax b x a x ax ax b x a x b =--=-++--=-+-, 2(1)y x a x =+-',当10a +„,即1a -„时,0y '…,()y f x ax b =--在[0,)+∞上递增,()y f x ax b =--最多一个零点.不合题意;当10a +>,即1a >-时,令0y '>得[1x a ∈+,)+∞,函数递增,令0y '<得[0x ∈,1)a +,函数递减;函数最多有2个零点;根据题意函数()y f x ax b =--恰有3个零点⇔函数()y f x ax b =--在(,0)-∞上有一个零点,在[0,)+∞上有2个零点,如图: ∴01b a <-且32011(1)(1)(1)032b a a a b ->⎧⎪⎨+-++-<⎪⎩, 解得0b <,10a ->,310(116,)b a a >>-+∴>-. 故选C .【点睛】遇到此类问题,不少考生会一筹莫展.由于方程中涉及,a b 两个参数,故按“一元化”想法,逐步分类讨论,这一过程中有可能分类不全面、不彻底.10.D解析:D【解析】【分析】本题通过讨论a 的不同取值情况,分别讨论本题指数函数、对数函数的图象和,结合选项,判断得出正确结论.题目不难,注重重要知识、基础知识、逻辑推理能力的考查.【详解】当01a <<时,函数x y a =过定点(0,1)且单调递减,则函数1x y a=过定点(0,1)且单调递增,函数1log 2a y x ⎛⎫=+ ⎪⎝⎭过定点1(,0)2且单调递减,D 选项符合;当1a >时,函数x y a =过定点(0,1)且单调递增,则函数1xy a =过定点(0,1)且单调递减,函数1log 2a y x ⎛⎫=+ ⎪⎝⎭过定点1(,02)且单调递增,各选项均不符合.综上,选D. 【点睛】易出现的错误有,一是指数函数、对数函数的图象和性质掌握不熟,导致判断失误;二是不能通过讨论a 的不同取值范围,认识函数的单调性.11.B解析:B【解析】 得到的偶函数解析式为sin 2sin 284y x x ππϕϕ⎡⎤⎡⎤⎛⎫⎛⎫=++=++ ⎪ ⎪⎢⎥⎢⎥⎝⎭⎝⎭⎣⎦⎣⎦,显然.4πϕ= 【考点定位】本题考查三角函数的图象和性质,要注意三角函数两种变换的区别,sin 24x πϕ⎡⎤⎛⎫++ ⎪⎢⎥⎝⎭⎣⎦选择合适的ϕ值通过诱导公式把sin 24x πϕ⎡⎤⎛⎫++ ⎪⎢⎥⎝⎭⎣⎦转化为余弦函数是考查的最终目的.12.B解析:B【解析】设,,z a bi a b R =+∈() ,由()1i 22z z i z +=⇒=--()2a bi i a bi ⇒+=--(),2a bi b a i ⇒+=-+-() ,2a b b a =-⎧⇒⎨=-⎩ 1b ⇒=- ,故选B. 二、填空题13.【解析】【分析】由题意知渐近线方程是再据得出与的关系代入渐近线方程即可【详解】∵双曲线的两个顶点三等分焦距∴又∴∴渐近线方程是故答案为【点睛】本题考查双曲线的几何性质即双曲线的渐近线方程为属于基础题 解析:22y x =±【解析】【分析】由题意知,渐近线方程是b y x a =±,1223a c =⨯,再据222c ab =+,得出 b 与a 的关系,代入渐近线方程即可.【详解】 ∵双曲线22221x y a b-= (0,0)a b >>的两个顶点三等分焦距, ∴1223a c =⨯,3c a =,又222c ab =+,∴22b a = ∴渐近线方程是22b y x x a =±=±,故答案为22y x =±. 【点睛】本题考查双曲线的几何性质即双曲线22221x y a b-= (0,0)a b >>的渐近线方程为b y x a =±属于基础题.14.【解析】试题分析:由复数的运算可知是纯虚数则其实部必为零即所以考点:复数的运算解析:2-【解析】试题分析:由复数的运算可知,()()12i a i -+是纯虚数,则其实部必为零,即,所以.考点:复数的运算.15.60【解析】【分析】采用分层抽样的方法从该校四个年级的本科生中抽取一个容量为300的样本进行调查的【详解】∵该校一年级二年级三年级四年级的本科生人数之比为4:5:5:6∴应从一年级本科生中抽取学生人解析:60 【解析】 【分析】采用分层抽样的方法,从该校四个年级的本科生中抽取一个容量为300的样本进行调查的. 【详解】∵该校一年级、二年级、三年级、四年级的本科生人数之比为4:5:5:6, ∴应从一年级本科生中抽取学生人数为:4300604556⨯=+++.故答案为60.16.【解析】【分析】由圆的几何性质得圆心在的垂直平分线上结合题意知求出的垂直平分线方程令可得圆心坐标从而可得圆的半径进而可得圆的方程【详解】由圆的几何性质得圆心在的垂直平分线上结合题意知的垂直平分线为令解析:22(2)10x y -+=. 【解析】 【分析】由圆的几何性质得,圆心在AB 的垂直平分线上,结合题意知,求出AB 的垂直平分线方程,令0y =,可得圆心坐标,从而可得圆的半径,进而可得圆的方程. 【详解】由圆的几何性质得,圆心在AB 的垂直平分线上,结合题意知,AB 的垂直平分线为24y x =-,令0y =,得2x =,故圆心坐标为(2,0),所以圆的半径22(52)(10)10-+-=,故圆的方程为22(2)10x y -+=.【点睛】本题主要考查圆的性质和圆的方程的求解,意在考查对基础知识的掌握与应用,属于基础题.17.390【解析】【分析】【详解】用2色涂格子有种方法用3色涂格子第一步选色有第二步涂色共有种所以涂色方法种方法故总共有390种方法故答案为:390解析:390 【解析】 【分析】 【详解】 用2色涂格子有种方法,用3色涂格子,第一步选色有,第二步涂色,共有种,所以涂色方法种方法,故总共有390种方法. 故答案为:39018.【解析】【分析】由题意结合几何体的特征和所给几何体的性质可得三棱锥的体积【详解】因为长方体的体积为120所以因为为的中点所以由长方体的性质知底面所以是三棱锥的底面上的高所以三棱锥的体积【点睛】本题蕴解析:【解析】 【分析】由题意结合几何体的特征和所给几何体的性质可得三棱锥的体积. 【详解】因为长方体1111ABCD A B C D -的体积为120, 所以1120AB BC CC ⋅⋅=, 因为E 为1CC 的中点, 所以112CE CC =, 由长方体的性质知1CC ⊥底面ABCD , 所以CE 是三棱锥E BCD -的底面BCD 上的高, 所以三棱锥E BCD -的体积1132V AB BC CE =⨯⋅⋅=111111201032212AB BC CC =⨯⋅⋅=⨯=.【点睛】本题蕴含“整体和局部”的对立统一规律.在几何体面积或体积的计算问题中,往往需要注意理清整体和局部的关系,灵活利用“割”与“补”的方法解题.19.3【解析】因为所以从而有因为所以化简可得整理可得因为点在内所以所以则解析:3 【解析】因为30AOC ∠=o ,所以3cos cos30OC OA AOC OC OA⋅∠===⋅ou u u r u u u r u u u r u u u r ,从而有222223||2m OA n OB mn OA OB OA=++⋅⋅⋅u u u r u u u r u u u r u u u r u u u r u u u r u u u r u u u r .因为1,3,0OA OB OA OB ==⋅=u u u r u u u r u u u r u u u r,所以2233m n=+,化简可得222334m m n =+,整理可得229m n =.因为点C 在AOB ∠内,所以0,0m n >>,所以3m n =,则3mn= 20.3【解析】【分析】【详解】如图区间长度是6区间﹣24上随机地取一个数x 若x 满足|x|≤m 的概率为若m 对于3概率大于若m 小于3概率小于所以m=3故答案为3解析:3 【解析】 【分析】 【详解】如图区间长度是6,区间[﹣2,4]上随机地取一个数x ,若x 满足|x|≤m 的概率为,若m 对于3概率大于,若m 小于3,概率小于,所以m=3. 故答案为3.三、解答题21.(1)见解析;(2)33- 【解析】 【详解】(1)由已知90BAP CDP ∠=∠=︒,得AB ⊥AP ,CD ⊥PD . 由于AB//CD ,故AB ⊥PD ,从而AB ⊥平面P AD . 又AB ⊂平面P AB ,所以平面P AB ⊥平面P AD . (2)在平面PAD 内作PF AD ⊥,垂足为F ,由(1)可知,AB ⊥平面PAD ,故AB PF ⊥,可得PF ⊥平面ABCD .以F 为坐标原点,FA u u u v的方向为x 轴正方向,AB u u u v 为单位长,建立如图所示的空间直角坐标系F xyz -.由(1)及已知可得22A ⎛⎫ ⎪⎪⎝⎭,2P ⎛ ⎝⎭,2,1,02B ⎛⎫ ⎪ ⎪⎝⎭,22C ⎛⎫- ⎪ ⎪⎝⎭. 所以2222PC ⎛⎫=-- ⎪ ⎪⎝⎭u u u v ,)2,0,0CB =u u u v ,2222PA ⎛=- ⎝⎭u u u v ,()0,1,0AB =u u uv . 设(),,n x y z =r 是平面PCB 的法向量,则0,0,n PC n CB ⎧⋅=⎨⋅=⎩u u uv r u u u v r 即220,2220,x y z x ⎧-+-=⎪⎨⎪=⎩ 可取(0,1,2n =--r.设(),,m x y z r=是平面PAB 的法向量,则0,0,m PA m AB ⎧⋅=⎨⋅=⎩u uu v r u u u v r 即220,220.x z y -=⎨⎪=⎩可取()1,0,1m =r. 则3cos ,n m n m n m ⋅==r r r rr r ,所以二面角A PB C --的余弦值为33- 【名师点睛】高考对空间向量与立体几何的考查主要体现在以下几个方面: ①求异面直线所成的角,关键是转化为两直线的方向向量的夹角;②求直线与平面所成的角,关键是转化为直线的方向向量和平面的法向量的夹角; ③求二面角,关键是转化为两平面的法向量的夹角.建立空间直角坐标系和表示出所需点的坐标是解题的关键. 22.(1)13; (2)()1E X =. 【解析】【分析】(1)可根据题意分别计算出“从10人中选出2人”以及“2人参加义工活动的次数之和为4”的所有可能情况数目,然后通过概率计算公式即可得出结果;(2)由题意知随机变量X 的所有可能取值,然后计算出每一个可能取值所对应的概率值,写出分布列,求出数学期望值. 【详解】(1)由已知有1123432101()3C C C P A C ⋅+==, 所以事件A 的发生的概率为13; (2)随机变量X 的所有可能的取值为0,1,2;2223342104(0)15C C C P X C ++===;111133342107(1)15C C C C P X C ⋅+⋅===; 11342104(2)15C C P X C ⋅===; 所以随机变量X 的分布列为:数学期望为()0121151515E X =???. 【点睛】本题考查了离散型随机变量的分布列与数学期望的计算问题,能否正确计算出每一个随机变量所对应的的概率是解决本题的关键,考查推理能力,是中档题.23.(1)曲线C :2213x y +=,直线l 的直角坐标方程20x y -+=;(2)1.【解析】试题分析:(1)先根据三角函数平方关系消参数得曲线C 化为普通方程,再根据cos ,sin x y ρθρθ== 将直线l 的极坐标方程化为直角坐标方程;(2)根据题意设直线1l 参数方程,代入C 方程,利用参数几何意义以及韦达定理得点M 到A ,B 的距离之积试题解析:(1)曲线C 化为普通方程为:2213x y +=,cos 14πρθ⎛⎫+=- ⎪⎝⎭,得cos sin 2ρθρθ-=-, 所以直线l 的直角坐标方程为20x y -+=.(2)直线1l 的参数方程为21222x t y t ⎧=-+⎪⎪⎨⎪=⎪⎩(t 为参数),代入2213x y +=化简得:22220t t --=,设,A B 两点所对应的参数分别为12,t t ,则121t t =-,121MA MB t t ∴⋅==.24.(I )(4,),(22,)24ππ(II )1,2a b =-= 【解析】 【分析】 【详解】(I )圆1C 的直角坐标方程为22(2)4x y +-=,直线2C 的直角坐标方程为40x y +-=联立得22(2)4{40x y x y +-=+-=得110{4x y ==222{2x y ==所以1C 与2C 交点的极坐标为(4,),(22,)24ππ(II )由(I )可得,P ,Q 的直角坐标为(0,2),(1,3),故,PQ 的直角坐标方程为20x y -+=由参数方程可得122b ab y x =-+,所以1,12,1,222b aba b =-+==-=解得25.(1);(2);(3).【解析】试题分析:(1)根据直方图的意义,求出后四个小矩形的面积和即可求得被调查者满意或非常满意该项目的频率;(2)根据频率分布直方图,被调查者非常满意的频率是,根据独立重复试验次发生次的概率公式可得结果;(3)随机变量的所有可能取值为0,1,2,利用组合知识根据古典概型概率公式分别求出各随机变量的概率,即可得分布列,根据期望公式可得结果.试题解析:(1)根据题意:60分或以上被认定为满意或非常满意,在频率分布直方图中, 评分在的频率为:;(2)根据频率分布直方图,被调查者非常满意的频率是,用样本的频率代替概率,从该市的全体市民中随机抽取1人, 该人非常满意该项目的概率为,现从中抽取3人恰有2人非常满意该项目的概率为:;(3)∵评分低于60分的被调查者中,老年人占, 又从被调查者中按年龄分层抽取9人, ∴这9人中,老年人有3人,非老年人6人, 随机变量的所有可能取值为0,1,2,的分布列为:0 1 2的数学期望.26.(1)340x y -+=;(2)2105【解析】 【分析】(1)求得()04A ,,()22B --,,问题得解. (2)利用直线AB 和曲线C 相切的关系可得:圆心到直线A B 的距离等于圆的半径r ,列方程即可得解. 【详解】(1)分别将()π42A ,,()5π224B ,转化为直角坐标为()04A ,,()22B --,, 所以直线AB 的直角坐标方程为340x y -+=. (2)曲线C 的方程为r ρ=(0r >),其直角坐标方程为222x y r +=.又直线A B 和曲线C 有且只有一个公共点,即直线与圆相切, 所以圆心到直线A B 的距离等于圆的半径r .又圆心到直线A B=r 的值为5.【点睛】本题主要考查了极坐标与直角坐标互化,还考查了直线与圆相切的几何关系,考查计算能力及点到直线距离公式,属于中档题.。
2020-2021高三数学下期末一模试题附答案

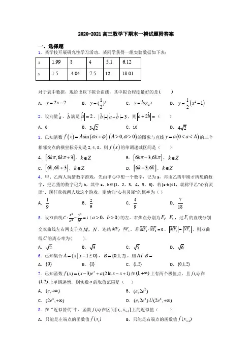
2020-2021高三数学下期末一模试题附答案一、选择题1.某学校开展研究性学习活动,某同学获得一组实验数据如下表:对于表中数据,现给出以下拟合曲线,其中拟合程度最好的是( )A .22y x =-B .1()2x y =C .2y log x =D .()2112y x =- 2.设向量a r ,b r满足2a =r ,||||3b a b =+=r r r ,则2a b +=r r ( )A .6B .C .10D .3.已知函数()()sin f x A x =+ωϕ()0,0A ω>>的图象与直线()0y a a A =<<的三个相邻交点的横坐标分别是2,4,8,则()f x 的单调递减区间是( )A .[]6,63k k ππ+,k Z ∈B .[]63,6k k ππ-,k Z ∈C .[]6,63k k +,k Z ∈D .[]63,6k k -,k Z ∈4.甲、乙两人玩猜数字游戏,先由甲心中想一个数字,记为a ,再由乙猜甲刚才所想的数字,把乙猜的数字记为b ,其中a ,b ∈{1,2,3,4,5,6},若|a-b|≤1,就称甲乙“心有灵犀”.现任意找两人玩这个游戏,则他们“心有灵犀”的概率为( ) A .19B .29C .49D .7185.设双曲线2222:1x y C a b-=(00a b >>,)的左、右焦点分别为12F F ,,过1F 的直线分别交双曲线左右两支于点M N ,,连结22MF NF ,,若220MF NF ⋅=u u u u v u u u u v,22MF NF =u u u u v u u u u v ,则双曲线C 的离心率为( ).A B C D6.已知集合1}{0|A x x -≥=,{0,1,2}B =,则A B =IA .{0}B .{1}C .{1,2}D .{0,1,2}7.已知函数()(3)(2ln 1)xf x x e a x x =-+-+在(1,)+∞上有两个极值点,且()f x 在(1,2)上单调递增,则实数a 的取值范围是( )A .(,)e +∞B .2(,2)e eC .2(2,)e +∞D .22(,2)(2,)e e e +∞U8.在“近似替代”中,函数()f x 在区间1[,]i i x x +上的近似值( ) A .只能是左端点的函数值()i f xB .只能是右端点的函数值1()i f x +C .可以是该区间内的任一函数值()(i i fξξ∈1[,]i i x x +)D .以上答案均正确9.甲、乙、丙,丁四位同学一起去问老师询问成语竞赛的成绩。
2020-2021高三数学下期末一模试题(含答案)(6)

2020-2021高三数学下期末一模试题(含答案)(6)一、选择题1.()22x xe ef x x x --=+-的部分图象大致是( )A .B .C .D .2.一个正方体内接于一个球,过球心作一个截面,如图所示,则截面的可能图形是( )A .①③④B .②④C .②③④D .①②③3.给出下列说法:①在圆柱的上、下底面的圆周上各取一点,则这两点的连线是圆柱的母线; ②有一个面是多边形,其余各面都是三角形的几何体是棱锥; ③棱台的上、下底面可以不相似,但侧棱长一定相等. 其中正确说法的个数是( ) A .0 B .1C .2D .34.()()31i 2i i --+=( )A .3i +B .3i --C .3i -+D .3i -5.一个频率分布表(样本容量为30)不小心被损坏了一部分,只记得样本中数据在[)2060,上的频率为0.8,则估计样本在[)40,50、[)50,60内的数据个数共有( )A .14B .15C .16D .176.设01p <<,随机变量ξ的分布列如图,则当p 在()0,1内增大时,( )ξ0 1 2P12p- 122pA .()D ξ减小B .()D ξ增大C .()D ξ先减小后增大 D .()D ξ先增大后减小 7.数列2,5,11,20,x ,47...中的x 等于( )A .28B .32C .33D .278.已知向量()3,1a =r,b r 是不平行于x 轴的单位向量,且3a b ⋅=r r ,则b =r( )A .31,22⎛⎫ ⎪ ⎪⎝⎭B .13,22⎛⎫ ⎪ ⎪⎝⎭C .133,4⎛⎫⎪ ⎪⎝⎭D .()1,09.函数()sin(2)2f x x π=-的图象与函数()g x 的图象关于直线8x π=对称,则关于函数()y g x =以下说法正确的是( )A .最大值为1,图象关于直线2x π=对称B .在0,4π⎛⎫⎪⎝⎭上单调递减,为奇函数 C .在3,88ππ⎛⎫-⎪⎝⎭上单调递增,为偶函数 D .周期为π,图象关于点3,08π⎛⎫⎪⎝⎭对称 10.函数y ()y ()f x f x ==,的导函数的图像如图所示,则函数y ()f x =的图像可能是A .B .C .D .11.设F 为双曲线C :22221x y a b-=(a >0,b >0)的右焦点,O 为坐标原点,以OF 为直径的圆与圆x 2+y 2=a 2交于P 、Q 两点.若|PQ |=|OF |,则C 的离心率为A .2B .3C .2D .512.《九章算术》是我国古代的数学名著,书中有如下问题:“今有五人分五钱,令上二人所得与下三人等.问各得几何.”其意思为“已知甲、乙、丙、丁、戊五人分5钱,甲、乙两人所得与丙、丁、戊三人所得相同,且甲、乙、丙、丁、戊所得依次成等差数列.问五人各得多少钱?”(“钱”是古代的一种重量单位).这个问题中,甲所得为( ) A .54钱 B .43钱 C .32钱 D .53钱 二、填空题13.某大学为了解在校本科生对参加某项社会实践活动的意向,拟采用分层抽样的方法,从该校四个年级的本科生中抽取一个容量为300的样本进行调查.已知该校一年级、二年级、三年级、四年级的本科生人数之比为4:5:5:6,则应从一年级本科生中抽取_______名学生.14.设a R ∈,直线20ax y -+=和圆22cos ,12sin x y θθ=+⎧⎨=+⎩(θ为参数)相切,则a 的值为____.15.ABC V 的内角A ,B ,C 的对边分别为a ,b ,c ,已知2b =,3c =,2C B =,则ABC V 的面积为______.16.已知点()0,1A ,抛物线()2:0C y ax a =>的焦点为F ,连接FA ,与抛物线C 相交于点M ,延长FA ,与抛物线C 的准线相交于点N ,若:1:3FM MN =,则实数a 的值为__________.17.如图,长方体1111ABCD A B C D -的体积是120,E 为1CC 的中点,则三棱锥E -BCD 的体积是_____.18.函数y=232x x --的定义域是 .19.如图,正方体1111ABCD A B C D -的棱长为1,线段11B D 上有两个动点,E F ,且22EF =,现有如下四个结论: AC BE ①⊥;//EF ②平面ABCD ;③三棱锥A BEF -的体积为定值;④异面直线,AE BF 所成的角为定值,其中正确结论的序号是______.20.在体积为9的斜三棱柱ABC —A 1B 1C 1中,S 是C 1C 上的一点,S —ABC 的体积为2,则三棱锥S —A 1B 1C 1的体积为___.三、解答题21.已知曲线C 的参数方程为32cos 12sin x y αα=+⎧⎨=-⎩(a 参数),以直角坐标系的原点为极点,x 正半轴为极轴建立极坐标系. (Ⅰ)求曲线C 的极坐标方程;(Ⅱ)若直线l 极坐标方程为1sin 2cos θθρ-=,求曲线C 上的点到直线l 最大距离.22.如图,四边形ABCD 为矩形,平面ABEF ⊥平面ABCD ,//EF AB ,90BAF ∠=︒,2AD =,1AB AF ==,点P 在线段DF 上.(1)求证:AF ⊥平面ABCD ;(2)若二面角D AP C --的余弦值为63,求PF 的长度. 23.已知函数()ln f x x x =. (1)若函数2()1()f x g x x x=-,求()g x 的极值; (2)证明:2()1xf x e x +<-.(参考数据:ln20.69≈ ln3 1.10≈ 32 4.48e ≈ 27.39e ≈) 24.商场销售某种商品的经验表明,该商品每日的销售量(单位:千克)与销售价格(单位:元/千克)满足关系式,其中,为常数,已知销售价格为5元/千克时,每日可售出该商品11千克. (1) 求的值;(2) 若商品的成品为3元/千克, 试确定销售价格的值,使商场每日销售该商品所获得的利润最大25.选修4-5:不等式选讲:设函数()13f x x x a =++-. (1)当1a =时,解不等式()23f x x ≤+;(2)若关于x 的不等式()42f x x a <+-有解,求实数a 的取值范围.26.已知椭圆22221(0)x y a b a b +=>>的离心率为6,以椭圆的2个焦点与1个短轴端点为顶点的三角形的面积为22. (1)求椭圆的方程;(2)如图,斜率为k 的直线l 过椭圆的右焦点F ,且与椭圆交与,A B 两点,以线段AB 为直径的圆截直线1x =所得的弦的长度为5,求直线l 的方程.【参考答案】***试卷处理标记,请不要删除一、选择题1.A 解析:A 【解析】 【分析】根据函数的奇偶性,排除D ;根据函数解析式可知定义域为{}1x x ≠±,所以y 轴右侧虚线部分为x=1,利用特殊值x=0.01和x=1.001代入即可排除错误选项. 【详解】由函数解析式()22x x e e f x x x --=+-,易知()22x xe ef x x x ---=+-=() f x - 所以函数()22x xe ef x x x --=+-为奇函数,排除D 选项根据解析式分母不为0可知,定义域为{}1x x ≠±,所以y 轴右侧虚线部分为x=1, 当x=0.01时,代入()f x 可得()0f x <,排除C 选项 当x=1.001时,代入()f x 可得()0f x >,排除B 选项 所以选A 【点睛】本题考查了根据函数解析式判断函数的图象,依据主要是奇偶性、单调性、特殊值等,注意图中坐标的位置及特殊直线,属于中档题.2.A解析:A 【解析】 【分析】分别当截面平行于正方体的一个面时,当截面过正方体的两条相交的体对角线时,当截面既不过体对角线也不平行于任一侧面时,进行判定,即可求解. 【详解】由题意,当截面平行于正方体的一个面时得③;当截面过正方体的两条相交的体对角线时得④;当截面既不过正方体体对角线也不平行于任一侧面时可能得①;无论如何都不能得②.故选A. 【点睛】本题主要考查了正方体与球的组合体的截面问题,其中解答中熟记空间几何体的结构特征是解答此类问题的关键,着重考查了空间想象能力,以及推理能力,属于基础题.3.A解析:A 【解析】 【分析】①②③根据定义得结论不一定正确.④画图举出反例说明题目是错误的. 【详解】解:①不一定,只有这两点的连线平行于轴时才是母线;②不一定,因为“其余各面都是三角形”并不等价于“其余各面都是有一个公共顶点的三角形”,如图(1)所示;③不一定.当以斜边所在直线为旋转轴时,其余两边旋转形成的面所围成的几何体不是圆锥,如图(2)所示,它是由两个同底圆锥组成的几何体;④错误,棱台的上、下底面是相似且对应边平行的多边形,各侧棱延长线交于一点,但是侧棱长不一定相等.故答案为:A【点睛】(1)要想真正把握几何体的结构特征,必须多角度、全面地去分析,多观察实物,提高空间想象能力;(2)紧扣结构特征是判断的关键,熟悉空间几何体的结构特征,依据条件构建几何模型,在条件不变的情况下,变换模型中的线面关系或增加线、面等基本元素,然后再依据题意判定; (3)通过反例对结构特征进行辨析,即要说明一个命题是错误的,只要举出一个反例即可.4.B解析:B【解析】【分析】先分别对分子和分母用乘法公式化简,再分子分母同时乘以分母的共轭复数,化简即得最后结果.【详解】由题意得,复数()()()31i2i13i i13i3ii i i i--+-+⋅-+===----⋅.故应选B【点睛】本小题主要考查复数的乘法和除法的运算,乘法的运算和实数的运算类似,只需要记住2i1=-.除法的运算记住的是分子分母同时乘以分母的共轭复数,这一个步骤称为分母实数化,分母实数化的主要目的是将分母变为实数,然后将复数的实部和虚部求出来.属于基础题.5.B解析:B【解析】【分析】计算出样本在[)2060,的数据个数,再减去样本在[)20,40的数据个数即可得出结果. 【详解】由题意可知,样本在[)2060,的数据个数为300.824⨯=, 样本在[)20,40的数据个数为459+=,因此,样本在[)40,50、[)50,60内的数据个数为24915-=. 故选:B. 【点睛】本题考查利用频数分布表计算频数,要理解频数、样本容量与频率三者之间的关系,考查计算能力,属于基础题.6.D解析:D 【解析】 【分析】先求数学期望,再求方差,最后根据方差函数确定单调性. 【详解】111()0122222p p E p ξ-=⨯+⨯+⨯=+Q , 2222111111()(0)(1)(2)2222224p p D p p p p p ξ-∴=--+--+--=-++, 1(0,1)2∈Q ,∴()D ξ先增后减,因此选D. 【点睛】222111(),()(())().nnni i i i i i i i i E x p D x E p x p E ξξξξ=====-=-∑∑∑7.B解析:B 【解析】 【分析】通过观察,得出该数列从第二项起,后一项与前一项的差分别是3的倍数,由此可求得x 的值. 【详解】因为数列的前几项为2,5,11,20,,47x , 其中5213,11523,201133-=⨯-=⨯-=⨯, 可得2043x -=⨯,解得32x =,故选B. 【点睛】本题主要考查了数列的概念及其应用,其中解答中根据题意发现数列中数字的排布规律是解答的关键,着重考查了分析问题和解答问题的能力,属于基础题.8.B解析:B 【解析】 【分析】设()(),0b x y y =≠r,根据题意列出关于x 、y 的方程组,求出这两个未知数的值,即可得出向量b r的坐标. 【详解】 设(),b x y =r ,其中0y ≠,则a y b ⋅=+=r r由题意得2210x y y y ⎧+=+=≠⎪⎩,解得122x y ⎧=⎪⎪⎨⎪=⎪⎩,即1,22b ⎛= ⎝⎭r . 故选:B. 【点睛】本题考查向量坐标的求解,根据向量数量积和模建立方程组是解题的关键,考查方程思想的应用以及运算求解能力,属于基础题.9.B解析:B 【解析】 【分析】先求出函数y=g(x)的解析式,再利用三角函数的图像和性质对每一个选项逐一分析判断. 【详解】设点P(x,y)是函数()y g x =图像上的任意一点,则点Q (x ,)4y π-+在函数y=f(x)的图像上,sin[2(-x+)]sin 2()42y x g x ππ=-=-=,对于选项A,函数y=g(x)的最大值为1,但是()012g π=≠±,所以图象不关于直线2x π=对称,所以该选项是错误的;对于选项B,()()g x g x -=-,所以函数g(x)是奇函数,解222+22k x k ππππ-≤≤得+44k x k ππππ-≤≤,)k Z ∈(,所以函数在0,4π⎛⎫⎪⎝⎭上单调递减,所以该选项是正确的; 对于选项C,由前面分析得函数y=g(x)的增区间为3[+,]()44k k k Z ππππ+∈,且函数y=g(x)不是偶函数,故该选项是错误;对于选项D,函数的周期为π,解2,,2k x k x ππ=∴=所以函数图像的对称中心为,0)(k Z)2k π∈(,所以该选项是错误的. 故选:B 【点睛】本题主要三角函数的解析式的求法,考查三角函数的图像和性质,意在考查学生对这些知识的理解掌握水平和分析推理能力.10.D解析:D 【解析】原函数先减再增,再减再增,且0x =位于增区间内,因此选D .【名师点睛】本题主要考查导数图象与原函数图象的关系:若导函数图象与x 轴的交点为0x ,且图象在0x 两侧附近连续分布于x 轴上下方,则0x 为原函数单调性的拐点,运用导数知识来讨论函数单调性时,由导函数'()f x 的正负,得出原函数()f x 的单调区间.11.A解析:A 【解析】 【分析】准确画图,由图形对称性得出P 点坐标,代入圆的方程得到c 与a 关系,可求双曲线的离心率. 【详解】设PQ 与x 轴交于点A ,由对称性可知PQ x ⊥轴,又||PQ OF c ==Q ,||,2cPA PA ∴=∴为以OF 为直径的圆的半径, A ∴为圆心||2c OA =. ,22c c P ⎛⎫∴ ⎪⎝⎭,又P 点在圆222x y a +=上,22244c c a ∴+=,即22222,22c c a e a=∴==.e ∴=A .【点睛】本题为圆锥曲线离心率的求解,难度适中,审题时注意半径还是直径,优先考虑几何法,避免代数法从头至尾,运算繁琐,准确率大大降低,双曲线离心率问题是圆锥曲线中的重点问题,需强化练习,才能在解决此类问题时事半功倍,信手拈来.12.B解析:B 【解析】设甲、乙、丙、丁、戊所得钱分别为2,,,,2a d a d a a d a d --++,则22a d a d a a d a d -+-=++++,解得6a d =-,又225,a d a d a a d a d -+-+++++=1a \=,则4422633a a d a a ⎛⎫-=-⨯-== ⎪⎝⎭,故选B.二、填空题13.60【解析】【分析】采用分层抽样的方法从该校四个年级的本科生中抽取一个容量为300的样本进行调查的【详解】∵该校一年级二年级三年级四年级的本科生人数之比为4:5:5:6∴应从一年级本科生中抽取学生人解析:60 【解析】 【分析】采用分层抽样的方法,从该校四个年级的本科生中抽取一个容量为300的样本进行调查的. 【详解】∵该校一年级、二年级、三年级、四年级的本科生人数之比为4:5:5:6, ∴应从一年级本科生中抽取学生人数为:4300604556⨯=+++.故答案为60.14.【解析】【分析】根据圆的参数方程确定圆的半径和圆心坐标再根据直线与圆相切的条件得出满足的方程解之解得【详解】圆化为普通方程为圆心坐标为圆的半径为由直线与圆相切则有解得【点睛】直线与圆的位置关系可以使解析:34【解析】 【分析】根据圆的参数方程确定圆的半径和圆心坐标,再根据直线与圆相切的条件得出a 满足的方程,解之解得。
2020-2021高三数学下期末一模试卷(及答案)(7)

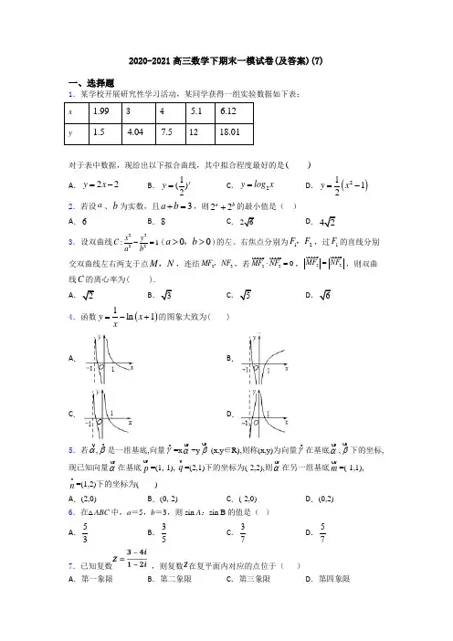
2020-2021高三数学下期末一模试卷(及答案)(7)一、选择题1.某学校开展研究性学习活动,某同学获得一组实验数据如下表: x 1.99 3 4 5.16.12y1.5 4.04 7.5 1218.01对于表中数据,现给出以下拟合曲线,其中拟合程度最好的是( ) A .22y x =-B .1()2xy =C .2y log x =D .()2112y x =- 2.若设a 、b 为实数,且3a b +=,则22a b +的最小值是( ) A .6B .8C .26D .423.设双曲线2222:1x y C a b-=(00a b >>,)的左、右焦点分别为12F F ,,过1F 的直线分别交双曲线左右两支于点M N ,,连结22MF NF ,,若220MF NF ⋅=u u u u v u u u u v,22MF NF =u u u u v u u u u v ,则双曲线C 的离心率为( ). A .2 B .3C .5D .64.函数()1ln 1y x x=-+的图象大致为( ) A . B .C .D .5.若,αβvv 是一组基底,向量γv =x αu v +y βu v (x,y ∈R),则称(x,y)为向量γv 在基底αu v ,βu v 下的坐标,现已知向量αu v 在基底p u v =(1,-1), qv =(2,1)下的坐标为(-2,2),则αu v 在另一组基底m u v=(-1,1), n v=(1,2)下的坐标为( )A .(2,0)B .(0,-2)C .(-2,0)D .(0,2)6.在△ABC 中,a =5,b =3,则sin A :sin B 的值是( ) A .53B .35C .37D .577.已知复数 ,则复数在复平面内对应的点位于( ) A .第一象限B .第二象限C .第三象限D .第四象限8.已知某几何体的三视图(单位:cm )如图所示,则该几何体的体积是( )A .108cm 3B .100cm 3C .92cm 3D .84cm 39.已知向量()1,1m λ=+r,()2,2n λ=+r,若()()m n m n +⊥-r r r r,则λ=( ) A .4-B .3-C .2-D .1-10.设A (3,3,1),B (1,0,5),C (0,1,0),AB 的中点M ,则CM = A 53 B .532C 53D .13211.已知非零向量AB u u u v 与AC u u uv 满足0AB AC BC AB AC ⎛⎫⎪+⋅= ⎪⎝⎭u u u v u u u v u u uv u u u v u u u v 且12AB AC AB AC ⋅=u u u v u u u v u u u v u u u v ,则ABC V 的形状是( ) A .三边均不相等的三角形 B .等腰直角三角形 C .等边三角形D .以上均有可能12.已知P 为双曲线2222:1(0,0)x y C a b a b-=>>上一点,12F F ,为双曲线C 的左、右焦点,若112PF F F =,且直线2PF 与以C 的实轴为直径的圆相切,则C 的渐近线方程为( ) A .43y x =±B .34y x =?C .35y x =±D .53y x =±二、填空题13.设25a b m ==,且112a b+=,则m =______. 14.在ABC ∆中,角,,A B C 的对边分别为,,a b c ,4c =,42a A =,且C 为锐角,则ABC ∆面积的最大值为________. 15.在平行四边形ABCD 中,3A π∠=,边AB ,AD 的长分别为2和1,若M ,N 分别是边BC ,CD 上的点,且满足CN CDBM BC =u u u u v u u u v u u u v u u u v ,则AM AN ⋅u u u u v u u u v 的取值范围是_________.16.若,满足约束条件则的最大值 .17.已知直线:与圆交于两点,过分别作的垂线与轴交于两点.则_________.18.若x ,y 满足约束条件220100x y x y y --≤⎧⎪-+≥⎨⎪≤⎩,则32z x y =+的最大值为_____________.19.已知1OA =u u u r ,3OB =u u u r ,0OA OB •=u u u r u u u r,点C 在AOB ∠内,且AOC 30∠=o ,设OC mOA nOB =+u u u r u u u r u u u r ,(,)m n R ∈,则mn=__________.20.从6男2女共8名学生中选出队长1人,副队长1人,普通队员2人,组成4人服务队,要求服务队中至少有1名女生,共有__________种不同的选法.(用数字作答)三、解答题21.已知平面直角坐标系xoy .以O 为极点,x 轴的非负半轴为极轴建立极坐标系,P 点的极坐标为23,6π⎛⎫⎪⎝⎭,曲线C 的极坐标方程为223sin 1ρρθ+= (1)写出点P 的直角坐标及曲线C 的普通方程; (2)若Q 为C 上的动点,求PQ 中点M 到直线32:2x tl y t=+⎧⎨=-+⎩(t 为参数)距离的最小值.22.已知函数2()(1)1xx f x a a x -=+>+. (1)证明:函数()f x 在(1,)-+∞上为增函数;(2)用反证法证明:()0f x =没有负数根. 23.已知曲线C :(t 为参数), C :(为参数).(1)化C ,C 的方程为普通方程,并说明它们分别表示什么曲线; (2)若C 上的点P 对应的参数为,Q 为C 上的动点,求中点到直线(t 为参数)距离的最小值.24.已知复数12i z m =-,复数21i z n =-,其中i 是虚数单位,m ,n 为实数. (1)若1m =,1n =-,求12z z +的值; (2)若212z z =,求m ,n 的值.25.选修4-5:不等式选讲:设函数()13f x x x a =++-. (1)当1a =时,解不等式()23f x x ≤+;(2)若关于x 的不等式()42f x x a <+-有解,求实数a 的取值范围.26.已知函数()|1|f x x =+(1)求不等式()|21|1f x x <+-的解集M (2)设,a b M ∈,证明:(ab)()()f f a f b >--.【参考答案】***试卷处理标记,请不要删除一、选择题 1.D 解析:D 【解析】 【分析】根据,x y 的数值变化规律推测二者之间的关系,最贴切的是二次关系. 【详解】根据实验数据可以得出,x 近似增加一个单位时,y 的增量近似为2.5,3.5,4.5,6,比较接近()2112y x =-,故选D. 【点睛】本题主要考查利用实验数据确定拟合曲线,求解关键是观察变化规律,侧重考查数据分析的核心素养.2.D解析:D 【解析】 【分析】2a b+≤转化为指数运算即可求解。
2020-2021高三数学下期末一模试题含答案(1)

2020-2021高三数学下期末一模试题含答案(1)一、选择题1.已知2a ib i i+=+ ,,a b ∈R ,其中i 为虚数单位,则+a b =( ) A .-1B .1C .2D .32.在下列区间中,函数()43xf x e x =+-的零点所在的区间为( ) A .1,04⎛⎫-⎪⎝⎭B .10,4⎛⎫ ⎪⎝⎭C .11,42⎛⎫⎪⎝⎭D .13,24⎛⎫⎪⎝⎭3.函数2||()x x f x e -=的图象是( )A .B .C .D .4.ABC ∆的内角A B C 、、的对边分别是a b c 、、,若2B A =,1a =,3b =c =( )A .3B .2C 2D .15.已知π,4αβ+=则(1tan )(1tan )αβ++的值是( ) A .-1B .1C .2D .46.命题:三角形的内角至多有一个是钝角,若用反证法证明,则下列假设正确的是( ) A .假设至少有一个钝角B .假设至少有两个钝角C .假设三角形的三个内角中没有一个钝角D .假设没有一个钝角或至少有两个钝角 7.若,,a b R i ∈为虚数单位,且()a i i b i +=+,则A .1,1a b ==B .1,1a b =-=C .1,1a b ==-D .1,1a b =-=- 8.圆C 1:x 2+y 2=4与圆C 2:x 2+y 2﹣4x +4y ﹣12=0的公共弦的长为( ) A 2B 3 C .22D .329.已知2tan()5αβ+=,1tan()44πβ-=,则tan()4πα+的值等于( ) A .1318B .322C .1322D .31810.已知非零向量AB u u u v 与AC u u uv 满足0AB AC BC AB AC ⎛⎫⎪+⋅= ⎪⎝⎭u u u v u u u v u u uv u u u v u u u v 且12AB AC AB AC ⋅=u u u v u u u v u u u v u u u v ,则ABC V的形状是( ) A .三边均不相等的三角形 B .等腰直角三角形 C .等边三角形D .以上均有可能11.已知sin cos 0θθ<,且cos cos θθ=,则角θ是( ) A .第一象限角B .第二象限角C .第三象限角D .第四象限角12.在△ABC 中,AB=2,AC=3,1AB BC ⋅=u u u r u u u r则BC=______A .3B .7C .2D .23二、填空题13.在ABC V 中,60A =︒,1b =,面积为3,则sin sin sin a b cA B C++=++________.14.已知sin cos 1αβ+=,cos sin 0αβ+=,则()sin αβ+__________. 15.设a R ∈,直线20ax y -+=和圆22cos ,12sin x y θθ=+⎧⎨=+⎩(θ为参数)相切,则a 的值为____. 16.已知直线:与圆交于两点,过分别作的垂线与轴交于两点.则_________.17.记n S 为数列{}n a 的前n 项和,若21n n S a =+,则6S =_____________. 18.若45100a b ==,则122()a b+=_____________. 19.函数232x x --的定义域是 . 20.设函数21()ln 2f x x ax bx =--,若1x =是()f x 的极大值点,则a 取值范围为_______________.三、解答题21.在直角坐标系xOy 中,曲线C 的参数方程为2221141t x t t y t ⎧-=⎪⎪+⎨⎪=⎪+⎩,(t 为参数),以坐标原点O为极点,x 轴的正半轴为极轴建立极坐标系,直线l 的极坐标方程为2cos 3sin 110ρθρθ++=.(1)求C 和l 的直角坐标方程; (2)求C 上的点到l 距离的最小值.22.在平面直角坐标系xOy 中,已知直线l 的参数方程为1231x t y ⎧=⎪⎪⎨⎪=-⎪⎩(t 为参数).在以坐标原点O 为极点,x 轴的正半轴为极轴,且与直角坐标系长度单位相同的极坐标系中,曲线C 的极坐标方程是22sin 4πρθ⎛⎫=+⎪⎝⎭. (1)求直线l 的普通方程与曲线C 的直角坐标方程;(2)设点()0,1P -.若直l 与曲线C 相交于两点,A B ,求PA PB +的值. 23.已知圆O 1和圆O 2的极坐标方程分别为ρ=2,ρ2-2ρcos(θ-)=2.(1)把圆O 1和圆O 2的极坐标方程化为直角坐标方程. (2)求经过两圆交点的直线的极坐标方程.24.已知()f x 是二次函数,不等式()0f x <的解集是()0,5,且()f x 在区间[]1,4-上的最大值是12.(1)求()f x 的解析式;(2)设函数()f x 在[],1x t t ∈+上的最小值为()g t ,求()g t 的表达式.25.已知A 为圆22:1C x y +=上一点,过点A 作y 轴的垂线交y 轴于点B ,点P 满足2.BP BA =u u u v u u u v(1)求动点P 的轨迹方程;(2)设Q 为直线:3l x =上一点,O 为坐标原点,且OP OQ ⊥,求POQ ∆面积的最小值.26.如图,已知三棱柱111ABC A B C -,平面11A AC C ⊥平面ABC ,90ABC ∠=︒,1130,,,BAC A A AC AC E F ∠=︒==分别是11,AC A B 的中点.(1)证明:EF BC ⊥;(2)求直线EF 与平面1A BC 所成角的余弦值.【参考答案】***试卷处理标记,请不要删除一、选择题1.B 解析:B 【解析】 【分析】利用复数除法运算法则化简原式可得2ai b i -=+,再利用复数相等列方程求出,a b 的值,从而可得结果. 【详解】因为22222a i ai i ai b i i i+--==-=+- ,,a b ∈R , 所以2211b b a a ==⎧⎧⇒⎨⎨-==-⎩⎩,则+1a b =,故选B. 【点睛】复数是高考中的必考知识,主要考查复数的概念及复数的运算.要注意对实部、虚部的理解,掌握纯虚数、共轭复数、复数的模这些重要概念,复数的运算主要考查除法运算,通过分母实数化转化为复数的乘法,运算时特别要注意多项式相乘后的化简,防止简单问题出错,造成不必要的失分.2.C解析:C 【解析】 【分析】先判断函数()f x 在R 上单调递增,由104102f f ⎧⎛⎫< ⎪⎪⎪⎝⎭⎨⎛⎫⎪> ⎪⎪⎝⎭⎩,利用零点存在定理可得结果.【详解】因为函数()43xf x e x =+-在R 上连续单调递增,且114411221143204411431022f e e f e e ⎧⎛⎫=+⨯-=-<⎪ ⎪⎪⎝⎭⎨⎛⎫⎪=+⨯-=-> ⎪⎪⎝⎭⎩, 所以函数的零点在区间11,42⎛⎫⎪⎝⎭内,故选C. 【点睛】本题主要考查零点存在定理的应用,属于简单题.应用零点存在定理解题时,要注意两点:(1)函数是否为单调函数;(2)函数是否连续.3.A【解析】 【分析】通过(0)1f =,和函数f(x)>0恒成立排除法易得答案A . 【详解】2||()x x f x e -=,可得f(0)=1,排除选项C,D;由指数函数图像的性质可得函数f(x)>0恒成立,排除选项B , 故选A 【点睛】图像判断题一般通过特殊点和无穷远处极限进行判断,属于较易题目.4.B解析:B 【解析】1sin A ===cos A =,所以22212c c =+-2320,c c -+=求得1c =或 2.c = 若1c =,则三角形为等腰三角形,030,60A C B ===不满足内角和定理,排除. 【考点定位】本题考查正弦定理和余弦定理的应用,考查运算能力和分类讨论思想.当求出cos 2A =后,要及时判断出0030,60A B ==,便于三角形的初步定型,也为排除1c =提供了依据.如果选择支中同时给出了1或2,会增大出错率.5.C解析:C 【解析】 【分析】 由4παβ+=,得到1tanαβ+=(),利用两角和的正切函数公式化简1tan αβ+=(),即可得到所求式子的值. 【详解】 由由4παβ+=,得到1tanαβ+=(), 所以11tan tan tantan tan αβαβαβ++==-() ,即1tan tan tan tan αβαβ+=-,则1112tan tan tan tan tan tan αβαβαβ++=+++=()() . 故选C . 【点睛】本题考查学生灵活运用两角和与差的正切函数公式及特殊角的三角函数值化简求值,是一6.B解析:B 【解析】用反证法证明数字命题时,应先假设要证的命题的否定成立,而要证命题“三角形的内角至多有一个钝角”的否定为“三角形的内角至少有两个钝角”,所以应假设三角形的内角至少有两个钝角,故选B .7.C解析:C 【解析】 【分析】利用复数乘法的运算法则化简原式,利用复数相等的性质可得结果. 【详解】因为()a i i b i +=+, 即1ai b i -+=+,因为,,a b R i ∈为虚数单位,所以1,1a b ==-, 故选C. 【点睛】本题主要考查复数的乘法运算以及复数相等的性质,属于基础题.8.C解析:C 【解析】 【分析】两圆方程相减,得到公共弦所在的直线方程,然后利用其中一个圆,结合弦长公式求解. 【详解】因为圆C 1:x 2+y 2=4与圆C 2:x 2+y 2﹣4x +4y ﹣12=0, 两式相减得20x y --=,即公共弦所在的直线方程. 圆C 1:x 2+y 2=4,圆心到公共弦的距离为d =,所以公共弦长为:l ==. 故选:C 【点睛】本题主要考查直线与圆,圆与圆的位置关系,还考查了运算求解的能力,属于基础题.9.B解析:B 【解析】 【分析】由题可分析得到()tan +tan 44ππααββ⎡⎤⎛⎫⎛⎫=+-- ⎪ ⎪⎢⎥⎝⎭⎝⎭⎣⎦,由差角公式,将值代入求解即可 【详解】 由题,()()()21tan tan 3454tan +tan 21442211tan tan 544παββππααββπαββ⎛⎫+---⎪⎡⎤⎛⎫⎛⎫⎝⎭=+--=== ⎪ ⎪⎢⎥⎛⎫⎝⎭⎝⎭⎣⎦+⨯++-⎪⎝⎭,故选:B 【点睛】本题考查正切的差角公式的应用,考查已知三角函数值求三角函数值问题10.C解析:C 【解析】 【分析】AB AB u u u v u u u v 和AC AC u u u vu u uv 分别表示向量AB u u u v 和向量AC u u u v 方向上的单位向量,0AB AC BC AB AC ⎛⎫⎪+⋅=⎪⎝⎭u u u v u u u v u u uv u u u v u u u v 表示A ∠平分线所在的直线与BC 垂直,可知ABC V 为等腰三角形,再由12AB AC AB AC ⋅=u u u v u u u v u u uv u u u v 可求出A ∠,即得三角形形状。
2020-2021高三数学下期末一模试卷(附答案)(10)
2020-2021高三数学下期末一模试卷(附答案)(10)一、选择题1.若复数21iz =-,其中i 为虚数单位,则z = A .1+iB .1−iC .−1+iD .−1−i2.4张卡片上分别写有数字1,2,3,4,从这4张卡片中随机抽取2张,则取出的2张卡片上的数学之和为偶数的概率是( ) A .12B .13C .23D .343.若θ是ABC ∆的一个内角,且1sin θcos θ8=-,则sin cos θθ-的值为( ) A .32-B .32C .52-D .524.甲、乙、丙、丁四名同学组成一个4100米接力队,老师要安排他们四人的出场顺序,以下是他们四人的要求:甲:我不跑第一棒和第二棒;乙:我不跑第一棒和第四棒;丙:我也不跑第一棒和第四棒;丁:如果乙不跑第二棒,我就不跑第一棒.老师听了他们四人的对话,安排了一种合理的出场顺序,满足了他们的所有要求,据此我们可以断定在老师安排的出场顺序中跑第三棒的人是( ) A .甲B .乙C .丙D .丁5.已知函数()3sin 2cos 2[0,]2f x x x m π=+-在上有两个零点,则m 的取值范围是A .(1,2)B .[1,2)C .(1,2]D .[l,2]6.已知某几何体的三视图(单位:cm )如图所示,则该几何体的体积是( )A .108cm 3B .100cm 3C .92cm 3D .84cm 3 7.已知a 为函数f (x )=x 3–12x 的极小值点,则a=A .–4B .–2C .4D .28.设集合,,则=( )A .B .C .D .9.水平放置的ABC V 的斜二测直观图如图所示,已知4B C ''=,3AC ''=,//'''B C y 轴,则ABC V 中AB 边上的中线的长度为( )A .732B .73C .5D .5210.如图所示,网格纸上小正方形的边长为1,粗线画出的是由一个棱柱挖去一个棱锥后的几何体的三视图,则该几何体的体积为A .72B .64C .48D .3211.在样本的频率分布直方图中,共有11个小长方形,若中间一个长方形的面积等于其他十个小长方形面积的和的,且样本容量是160,则中间一组的频数为( ) A .32 B .0.2C .40D .0.2512.设5sin7a π=,2cos 7b π=,2tan 7c π=,则( ) A .a b c <<B .a c b <<C .b c a <<D .b a c <<二、填空题13.若双曲线22221x y a b-=()0,0a b >>两个顶点三等分焦距,则该双曲线的渐近线方程是___________.14.若x ,y 满足约束条件x y 102x y 10x 0--≤⎧⎪-+≥⎨⎪≥⎩,则xz y 2=-+的最小值为______.15.一个算法的伪代码如图所示,执行此算法,最后输出的S 的值为________.16.双曲线22221x y a b-=(0a >,0b >)的渐近线为正方形OABC 的边OA ,OC 所在的直线,点B 为该双曲线的焦点.若正方形OABC 的边长为2,则a=_______________.17.如图,圆C (圆心为C )的一条弦AB 的长为2,则AB AC ⋅u u u r u u u r=______.18.已知集合P 中含有0,2,5三个元素,集合Q 中含有1,2,6三个元素,定义集合P+Q 中的元素为a+b ,其中a ∈P ,b ∈Q ,则集合P+Q 中元素的个数是_____. 19.设α 为第四象限角,且sin3sin αα=135,则 2tan =α ________. 20.在ABC ∆中,若13AB =,3BC =,120C ∠=︒,则AC =_____.三、解答题21.已知函数()3f x ax bx c =++在点2x =处取得极值16c -.(1)求,a b 的值;(2)若()f x 有极大值28,求()f x 在[]3,3-上的最小值.22.如图,在直四棱柱1111ABCD A B C D -中,底面ABCD 是矩形,1A D 与1AD 交于点E .124AA AB AD ===.(1)证明:AE ⊥平面ECD ;(2)求直线1A C 与平面EAC 所成角的正弦值.23.设函数()15,f x x x x R =++-∈. (1)求不等式()10f x ≤的解集;(2)如果关于x 的不等式2()(7)f x a x ≥--在R 上恒成立,求实数a 的取值范围.24.如图,四边形ABCD 为矩形,平面ABEF ⊥平面ABCD ,//EF AB ,90BAF ∠=︒,2AD =,1AB AF ==,点P 在线段DF 上.(1)求证:AF ⊥平面ABCD ; (2)若二面角D AP C --的余弦值为6,求PF 的长度. 25.如图在三棱锥-P ABC 中, ,,D E F 分别为棱,,PC AC AB 的中点,已知,6,8,5PA AC PA BC DF ⊥===.求证:(1)直线//PA 平面DEF ; (2)平面BDE ⊥平面ABC .26.已知函数()()2f x x 2a 1x 2alnx(a 0)=-++>.()1求()f x 的单调区间;()2若()f x 0≤在区间[]1,e 上恒成立,求实数a 的取值范围.【参考答案】***试卷处理标记,请不要删除一、选择题1.B解析:B 【解析】试题分析:22(1i)1i,1i 1i(1i)(1i)z z+===+∴=---+,选B.【考点】复数的运算,复数的概念【名师点睛】本题主要考查复数的运算及复数的概念,是一道基础题目.从历年高考题目看,复数题目往往不难,一般考查复数运算与概念或复数的几何意义,也是考生必定得分的题目之一.2.B解析:B【解析】试题分析:由题意知本题是一个古典概型概率的计算问题.从这4张卡片中随机抽取2张,总的方法数是246C=种,数学之和为偶数的有13,24++两种,所以所求概率为13,选B.考点:古典概型.3.D解析:D【解析】试题分析:θ是ABC∆的一个内角,,又,所以有,故本题的正确选项为D.考点:三角函数诱导公式的运用.4.C解析:C【解析】【分析】跑第三棒的只能是乙、丙中的一个,当丙跑第三棒时,乙只能跑第二棒,这时丁跑第一棒,甲跑第四棒,符合题意;当乙跑第三棒时,丙只能跑第二棒,这里四和丁都不跑第一棒,不合题意.【详解】由题意得乙、丙均不跑第一棒和第四棒,∴跑第三棒的只能是乙、丙中的一个,当丙跑第三棒时,乙只能跑第二棒,这时丁跑第一棒,甲跑第四棒,符合题意;当乙跑第三棒时,丙只能跑第二棒,这里四和丁都不跑第一棒,不合题意.故跑第三棒的是丙.故选:C.【点睛】本题考查推理论证,考查简单的合情推理等基础知识,考查运算求解能力、分析判断能力,是基础题.5.B解析:B【解析】【分析】【详解】试题分析:利用辅助角公式化简函数为=+-,令,则,所以此f x x x m()3sin2cos2时函数即为.令有,根据题意可知在上有两个解,根据在函数图像可知,.考点:辅助角公式;;零点的判断;函数图像.6.B解析:B【解析】试题分析:由三视图可知:该几何体是一个棱长分别为6,6,3,砍去一个三条侧棱长分别为4,4,3的一个三棱锥(长方体的一个角).据此即可得出体积.解:由三视图可知:该几何体是一个棱长分别为6,6,3,砍去一个三条侧棱长分别为4,4,3的一个三棱锥(长方体的一个角).∴该几何体的体积V=6×6×3﹣=100.故选B.考点:由三视图求面积、体积.7.D解析:D 【解析】试题分析:()()()2312322f x x x x ==+'--,令()0f x '=得2x =-或2x =,易得()f x 在()2,2-上单调递减,在()2,+∞上单调递增,故()f x 的极小值点为2,即2a =,故选D.【考点】函数的导数与极值点【名师点睛】本题考查函数的极值点.在可导函数中,函数的极值点0x 是方程'()0f x =的解,但0x 是极大值点还是极小值点,需要通过这个点两边的导数的正负性来判断,在0x 附近,如果0x x <时,'()0f x <,0x x >时'()0f x >,则0x 是极小值点,如果0x x <时,'()0f x >,0x x >时,'()0f x <,则0x 是极大值点.8.B解析:B 【解析】 试题分析:集合,故选B.考点:集合的交集运算.9.A解析:A 【解析】 【分析】根据斜二测画法的规则还原图形的边角关系再求解即可. 【详解】由斜二测画法规则知AC BC ⊥,即ABC V 直角三角形,其中3AC =,8BC =,所以73AB =所以AB 边上的中线的长度为732. 故选:A . 【点睛】本题主要考查了斜二测画法前后的图形关系,属于基础题型.10.B解析:B【解析】【分析】由三视图可知该几何体是一个底面边长为4的正方形,高为5的正四棱柱,挖去一个底面边长为4,高为3的正四棱锥,利用体积公式,即可求解。
2020-2021高三数学下期末一模试题(带答案)
2020-2021高三数学下期末一模试题(带答案)一、选择题1.现有甲、乙、丙、丁4名学生平均分成两个志愿者小组到校外参加两项活动,则乙、丙两人恰好参加同一项活动的概率为 A .12B .13C .16D .1122.如图,点是抛物线的焦点,点,分别在抛物线和圆的实线部分上运动,且总是平行于轴,则周长的取值范围是( )A .B .C .D .3.右边程序框图的算法思路源于我国古代数学名著《九章算术》中的“更相减损术”.执行该程序框图,若输入,a b 分别为14,18,则输出的a =( )A .0B .2C .4D .144.若以连续掷两颗骰子分别得到的点数m ,n 作为点P 的横、纵坐标,则点P 落在圆229x y +=内的概率为( )A .536B .29C .16D .195.函数()1ln 1y x x=-+的图象大致为( )A .B .C .D .6.数列2,5,11,20,x ,47...中的x 等于( ) A .28B .32C .33D .277.南北朝时代的伟大数学家祖暅在数学上有突出贡献,他在实践的基础上提出祖暅原理:“幂势既同,则积不容异”.其含义是:夹在两个平行平面之间的两个几何体,被平行于这两个平面的任意平面所截,如果截得的两个截面的面积总相等,那么这两个几何体的体积相等,如图,夹在两个平行平面之间的两个几何体的体积分别为12,V V ,被平行于这两个平面的任意平面截得的两个截面的面积分别为12,S S ,则“12,S S 总相等”是“12,V V 相等”的( )A .充分不必要条件B .必要不充分条件C .充分必要条件D .既不充分也不必要条件8.正方形ABCD 中,点E 是DC 的中点,点F 是BC 的一个三等分点,那么EF =u u u v( )A .1123AB AD -u u uv u u u vB .1142AB AD +u u uv u u u vC .1132AB DA +u u uv u u u vD .1223AB AD -u u uv u u u v .9.已知函数()32cos 2[0,]2f x x x m π=+-在上有两个零点,则m 的取值范围是A .(1,2)B .[1,2)C .(1,2]D .[l,2]10.已知a 为函数f (x )=x 3–12x 的极小值点,则a= A .–4B .–2C .4D .211.设0<a <1,则随机变量X 的分布列是Xa 1 P13 1313则当a 在(0,1)内增大时( ) A .()D X 增大 B .()D X 减小 C .()D X 先增大后减小 D .()D X 先减小后增大12.若0,0ab >>,则“4a b +≤”是 “4ab ≤”的( )A .充分不必要条件B .必要不充分条件C .充分必要条件D .既不充分也不必要条件二、填空题13.设函数()212log ,0log (),0x x f x x x >⎧⎪=⎨-<⎪⎩ ,若()()f a f a >-,则实数a 的取值范围是__________.14.在ABC ∆中,角,,A B C 的对边分别为,,a b c ,4c =,42sin a A =,且C 为锐角,则ABC ∆面积的最大值为________.15.已知圆锥的侧面展开图是一个半径为2cm ,圆心角为23π的扇形,则此圆锥的高为________cm . 16.已知样本数据,,,的均值,则样本数据,,,的均值为 .17.学校里有一棵树,甲同学在A 地测得树尖D 的仰角为45︒,乙同学在B 地测得树尖D 的仰角为30°,量得10AB AC m ==,树根部为C (,,A B C 在同一水平面上),则ACB =∠______________.18.若x ,y 满足约束条件220100x y x y y --≤⎧⎪-+≥⎨⎪≤⎩,则32z x y =+的最大值为_____________.19.抛物线有如下光学性质:由其焦点射出的光线经抛物线反射后,沿平行于抛物线对称轴的方向射出.现有抛物线22(0)y px p =>,如图一平行于x 轴的光线射向抛物线,经两次反射后沿平行x 轴方向射出,若两平行光线间的最小距离为4,则该抛物线的方程为__________.20.锐角△ABC 中,若B =2A ,则ba的取值范围是__________. 三、解答题21.已知曲线C 的参数方程为32cos 12sin x y αα=+⎧⎨=-⎩(a 参数),以直角坐标系的原点为极点,x 正半轴为极轴建立极坐标系. (Ⅰ)求曲线C 的极坐标方程;(Ⅱ)若直线l 极坐标方程为1sin 2cos θθρ-=,求曲线C 上的点到直线l 最大距离.22.在△ABC 中,a =7,b =8,cos B = –17. (Ⅰ)求∠A ; (Ⅱ)求AC 边上的高.23.如图,已知四棱锥P ABCD -的底面为等腰梯形,//AB CD ,AC BD ⊥,垂足为H ,PH 是四棱锥的高.(Ⅰ)证明:平面PAC ⊥平面PBD ; (Ⅱ)若AB 6=,APB ADB ∠=∠=60°,求四棱锥P ABCD -的体积. 24.如图,在正方体1111ABCD A B C D -中,S 是11B D 的中点,E ,F ,G 分别是BC ,DC ,SC 的中点.求证:(1)直线//EG 平面11BDD B ; (2)平面//EFG 平面11BDD B . 25.(选修4-4:坐标系与参数方程)在平面直角坐标系xOy ,已知曲线3cos :sin x a C y a⎧=⎪⎨=⎪⎩(a 为参数),在以O 原点为极点,x 轴的非负半轴为极轴建立的极坐标系中,直线l 的极坐标方程为2cos()124πρθ+=-. (1)求曲线C 的普通方程和直线l 的直角坐标方程;(2)过点()1,0M -且与直线l 平行的直线1l 交C 于A ,B 两点,求点M 到A ,B 的距离之积.26.如图,在几何体111ABC A B C -中,平面11A ACC ⊥底面ABC ,四边形11A ACC 是正方形,1l //B C BC ,Q 是1A B 的中点,1122,3AC BC B C ACB π==∠=(I )求证:1//QB 平面11A ACC (Ⅱ)求二面角11A BB C --的余弦值.【参考答案】***试卷处理标记,请不要删除一、选择题 1.B 解析:B 【解析】 【分析】求得基本事件的总数为222422226C C n A A =⨯=,其中乙丙两人恰好参加同一项活动的基本事件个数为2222222m C C A ==,利用古典概型及其概率的计算公式,即可求解.由题意,现有甲乙丙丁4名学生平均分成两个志愿者小组到校外参加两项活动,基本事件的总数为222422226C Cn AA=⨯=,其中乙丙两人恰好参加同一项活动的基本事件个数为2222222m C C A==,所以乙丙两人恰好参加同一项活动的概率为13mpn==,故选B.【点睛】本题主要考查了排列组合的应用,以及古典概型及其概率的计算问题,其中解答中合理应用排列、组合的知识求得基本事件的总数和所求事件所包含的基本事件的个数,利用古典概型及其概率的计算公式求解是解答的关键,着重考查了运算与求解能力,属于基础题. 2.B解析:B【解析】【分析】圆(y﹣1)2+x2=4的圆心为(0,1),半径r=2,与抛物线的焦点重合,可得|FB|=2,|AF|=y A+1,|AB|=y B﹣y A,即可得出三角形ABF的周长=2+y A+1+y B﹣y A=y B+3,利用1<y B<3,即可得出.【详解】抛物线x2=4y的焦点为(0,1),准线方程为y=﹣1,圆(y﹣1)2+x2=4的圆心为(0,1),与抛物线的焦点重合,且半径r=2,∴|FB|=2,|AF|=y A+1,|AB|=y B﹣y A,∴三角形ABF的周长=2+y A+1+y B﹣y A=y B+3,∵1<y B<3,∴三角形ABF的周长的取值范围是(4,6).故选:B.【点睛】本题考查了抛物线的定义与圆的标准方程及其性质、三角形的周长,考查了推理能力与计算能力,属于中档题.3.B解析:B【解析】【详解】由a=14,b=18,a<b,则b变为18﹣14=4,由a>b,则a变为14﹣4=10,由a>b,则a变为10﹣4=6,由a>b,则a变为6﹣4=2,由a<b,则b变为4﹣2=2,由a=b=2,则输出的a=2.故选B.4.D解析:D【解析】掷骰子共有36个结果,而落在圆x2+y2=9内的情况有(1,1),(1,2),(2,1),(2,2)这4种,∴P=41 369=.故选D5.A解析:A【解析】【分析】确定函数在定义域内的单调性,计算1x=时的函数值可排除三个选项.【详解】x>时,函数为减函数,排除B,10x-<<时,函数也是减函数,排除D,又1x=时,1ln20y=->,排除C,只有A可满足.故选:A.【点睛】本题考查由函数解析式选择函数图象,可通过解析式研究函数的性质,如奇偶性、单调性、对称性等等排除,可通过特殊的函数值,函数值的正负,函数值的变化趋势排除,最后剩下的一个即为正确选项.6.B解析:B【解析】【分析】通过观察,得出该数列从第二项起,后一项与前一项的差分别是3的倍数,由此可求得x 的值.【详解】因为数列的前几项为2,5,11,20,,47x , 其中5213,11523,201133-=⨯-=⨯-=⨯, 可得2043x -=⨯,解得32x =,故选B. 【点睛】本题主要考查了数列的概念及其应用,其中解答中根据题意发现数列中数字的排布规律是解答的关键,着重考查了分析问题和解答问题的能力,属于基础题.7.A解析:A 【解析】 【分析】根据充分条件和必要条件的定义,结合祖暅原理进行判断即可. 【详解】根据祖暅原理,当12,S S 总相等时,12,V V 相等,所以充分性成立;当两个完全相同的四棱台,一正一反的放在两个平面之间时,此时体积固然相等但截得的面积未必相等,所以必要性不成立.所以“12,S S 总相等”是“12,V V 相等”的充分不必要条件. 故选:A 【点睛】本题考查充分条件与必要条件的判断,属于基础题.8.D解析:D 【解析】 【分析】用向量的加法和数乘法则运算。
2020-2021高三数学下期末一模试题附答案(17)
2020-2021高三数学下期末一模试题附答案(17)一、选择题1.下列函数图像与x 轴均有公共点,其中能用二分法求零点的是( ) A .B .C .D .2.若圆与圆222:680C x y x y m +--+=外切,则m =( )A .21B .19C .9D .-113.从分别写有数字1,2,3,4,5的5张卡片中随机抽取1张,放回后再随机抽取1张,则抽得的第一张卡片上的数字不大于第二张卡片的概率是( ) A .110B .310C .35D .254.()62111x x ⎛⎫++ ⎪⎝⎭展开式中2x 的系数为( ) A .15B .20C .30D .355.在△ABC 中,AD 为BC 边上的中线,E 为AD 的中点,则EB =u u u vA .3144AB AC -u u uv u u u vB .1344AB AC -u u uv u u u vC .3144+AB AC u u uv u u u vD .1344+AB AC u u uv u u u v6.一个频率分布表(样本容量为30)不小心被损坏了一部分,只记得样本中数据在[)2060,上的频率为0.8,则估计样本在[)40,50、[)50,60内的数据个数共有( )A .14B .15C .16D .177.若不等式222424ax ax x x +-<+ 对任意实数x 均成立,则实数a 的取值范围是( ) A .(22)-,B .(2)(2)-∞-⋃+∞,, C .(22]-,D .(2]-∞,8.函数()sin(2)2f x x π=-的图象与函数()g x 的图象关于直线8x π=对称,则关于函数()y g x =以下说法正确的是( )A .最大值为1,图象关于直线2x π=对称B .在0,4π⎛⎫⎪⎝⎭上单调递减,为奇函数 C .在3,88ππ⎛⎫-⎪⎝⎭上单调递增,为偶函数 D .周期为π,图象关于点3,08π⎛⎫⎪⎝⎭对称9.若干年前,某教师刚退休的月退休金为6000元,月退休金各种用途占比统计图如下面的条形图.该教师退休后加强了体育锻炼,目前月退休金的各种用途占比统计图如下面的折线图.已知目前的月就医费比刚退休时少100元,则目前该教师的月退休金为( ).A .6500元B .7000元C .7500元D .8000元 10.由a 2,2﹣a ,4组成一个集合A ,A 中含有3个元素,则实数a 的取值可以是( )A .1B .﹣2C .6D .211.在ABC ∆中,A 为锐角,1lg lg()lgsin lg 2b A c+==-,则ABC ∆为( ) A .等腰三角形 B .等边三角形 C .直角三角形D .等腰直角三角形12.在[0,2]π内,不等式3sin x <-的解集是( ) A .(0)π,B .4,33ππ⎛⎫⎪⎝⎭C .45,33ππ⎛⎫⎪⎝⎭D .5,23ππ⎛⎫⎪⎝⎭二、填空题13.已知椭圆22195x y +=的左焦点为F ,点P 在椭圆上且在x 轴的上方,若线段PF 的中点在以原点O 为圆心,OF 为半径的圆上,则直线PF 的斜率是_______. 14.在ABC ∆中,内角A ,B ,C 所对的边分别为a ,b ,c ,若3A π=,3a =,b=1,则c =_____________15.函数2()log 1f x x =-的定义域为________.16.在等腰梯形ABCD 中,已知AB DC P ,2,1,60,AB BC ABC ==∠=o 点E 和点F 分别在线段BC 和CD 上,且21,,36BE BC DF DC ==u u u r u u u r u u u r u u u r 则AE AF ⋅u u u r u u u r的值为 .17.已知直线:与圆交于两点,过分别作的垂线与轴交于两点.则_________.18.如图,已知P 是半径为2,圆心角为3π的一段圆弧AB 上一点,2A B B C =u u u v u u u v ,则PC PA ⋅u u u v u u u v的最小值为_______.19.若x ,y 满足约束条件220100x y x y y --≤⎧⎪-+≥⎨⎪≤⎩,则32z x y =+的最大值为_____________.20.如图,圆C (圆心为C )的一条弦AB 的长为2,则AB AC ⋅u u u r u u u r=______.三、解答题21.某中学拟在高一下学期开设游泳选修课,为了了解高一学生喜欢游泳是否与性别有关,该学校对100名高一新生进行了问卷调查,得到如下列联表:喜欢游泳不喜欢游泳合计男生10女生20合计已知在这100人中随机抽取1人抽到喜欢游泳的学生的概率为. (1)请将上述列联表补充完整;(2)并判断是否有99.9%的把握认为喜欢游泳与性别有关?并说明你的理由;(3)已知在被调查的学生中有5名来自甲班,其中3名喜欢游泳,现从这5名学生中随机抽取2人,求恰好有1人喜欢游泳的概率. 下面的临界值表仅供参考: P(K 2≥k)0.150.100.050.0250.0100.0050.001k 2.072 2.706 3.8415.0246.6357.879 10.828(参考公式:22n(ad bc)K (a b)(c d)(a c)(b d)-=++++,其中n=a+b+c+d )22.在直角坐标系xOy 中,直线l 1的参数方程为2+,,x t y kt =⎧⎨=⎩(t 为参数),直线l 2的参数方程为2,,x m m m y k =-+⎧⎪⎨=⎪⎩(为参数).设l 1与l 2的交点为P ,当k 变化时,P 的轨迹为曲线C . (1)写出C 的普通方程;(2)以坐标原点为极点,x 轴正半轴为极轴建立极坐标系,设()3:cos sin 20l ρθθ+-=,M 为l 3与C 的交点,求M 的极径.23.已知函数1(1)f x m x x =---+. (1)当5m =时,求不等式()2f x >的解集;(2)若二次函数223y x x =++与函数()y f x =的图象恒有公共点,求实数m 的取值范围.24.如图所示,已知正方体1111ABCD A B C D -中,E F ,分别为11D C ,11C B 的中点,AC BD P =I ,11A C EF Q =I .求证:(1)D B F E ,,,四点共面;(2)若1A C 交平面DBEF 于R 点,则P Q R ,,三点共线.25.如图,在几何体111ABC A B C -中,平面11A ACC ⊥底面ABC ,四边形11A ACC 是正方形,1l //B C BC ,Q 是1A B 的中点,1122,3AC BC B C ACB π==∠=(I )求证:1//QB 平面11A ACC (Ⅱ)求二面角11A BB C --的余弦值.26.四棱锥P ABCD -中,底面ABCD 是边长为2的菱形,3BAD π∠=,PAD ∆是等边三角形,F 为AD 的中点,PD BF ⊥.(1)求证:AD PB ⊥; (2)若E 在线段BC 上,且14EC BC =,能否在棱PC 上找到一点G ,使平面DEG ⊥平面ABCD ?若存在,求四面体D CEG -的体积.【参考答案】***试卷处理标记,请不要删除一、选择题 1.C 解析:C 【解析】 【分析】根据函数图象理解二分法的定义,函数f (x )在区间[a ,b ]上连续不断,并且有f (a )•f (b )<0.即函数图象连续并且穿过x 轴. 【详解】解:能用二分法求零点的函数必须在给定区间[a ,b ]上连续不断,并且有f (a )•f (b )<0A 、B 中不存在f (x )<0,D 中函数不连续. 故选C .本题考查了二分法的定义,学生的识图能力,是基础题.2.C解析:C 【解析】试题分析:因为()()22226803425x y x y m x y m +--+=⇒-+-=-,所以250m ->25m ⇒<且圆2C 的圆心为()3,4,根据圆与圆外切的判定(圆心距离等于半径和)可得1=9m ⇒=,故选C.考点:圆与圆之间的外切关系与判断3.C解析:C 【解析】 【分析】设第一张卡片上的数字为x ,第二张卡片的数字为y ,问题求的是()P x y ≤, 首先考虑分别写有数字1,2,3,4,5的5张卡片中随机抽取1张,放回后再随机抽取1张,有多少种可能,再求出x y ≤的可能性有多少种,然后求出()P x y ≤. 【详解】设第一张卡片上的数字为x ,第二张卡片的数字为y , 分别写有数字1,2,3,4,5的5张卡片中随机抽取1张,放回后再随机抽取1张,共有5525⨯=种情况, 当x y ≤时,可能的情况如下表:()255P x y ≤==,故本题选C .【点睛】本题考查用列举法求概率,本问题可以看成有放回取球问题.4.C解析:C【分析】利用多项式乘法将式子展开,根据二项式定理展开式的通项即可求得2x 的系数. 【详解】根据二项式定理展开式通项为1C r n r rr n T a b -+=()()()66622111111x x x x x ⎛⎫++=++⋅+ ⎪⎝⎭则()61x +展开式的通项为16r rr T C x +=则()62111x x ⎛⎫++ ⎪⎝⎭ 展开式中2x 的项为22446621C x C x x ⎛⎫+⋅ ⎪⎝⎭ 则()62111x x ⎛⎫++ ⎪⎝⎭ 展开式中2x 的系数为2466151530C C +=+= 故选:C 【点睛】本题考查了二项定理展开式的应用,指定项系数的求法,属于基础题. 5.A 解析:A 【解析】分析:首先将图画出来,接着应用三角形中线向量的特征,求得1122BE BA BC =+u u u v u u u v u u u v,之后应用向量的加法运算法则-------三角形法则,得到BC BA AC =+u u u v u u u v u u u v,之后将其合并,得到3144BE BA AC =+u u u v u u u v u u u v ,下一步应用相反向量,求得3144EB AB AC =-u u u v u u u v u u u v,从而求得结果.详解:根据向量的运算法则,可得()111111222424BE BA BD BA BC BA BA AC =+=+=++u u u v u u u v u u u v u u u v u u u v u u u v u u u v u u u v1113124444BA BA AC BA AC u uu v u u u v u u u v u u u v u u u v =++=+, 所以3144EB AB AC =-u u u v u u u v u u u v,故选A.点睛:该题考查的是有关平面向量基本定理的有关问题,涉及到的知识点有三角形的中线向量、向量加法的三角形法则、共线向量的表示以及相反向量的问题,在解题的过程中,需要认真对待每一步运算.6.B解析:B 【解析】 【分析】计算出样本在[)2060,的数据个数,再减去样本在[)20,40的数据个数即可得出结果. 【详解】由题意可知,样本在[)2060,的数据个数为300.824⨯=, 样本在[)20,40的数据个数为459+=,因此,样本在[)40,50、[)50,60内的数据个数为24915-=. 故选:B. 【点睛】本题考查利用频数分布表计算频数,要理解频数、样本容量与频率三者之间的关系,考查计算能力,属于基础题.7.C解析:C 【解析】由题意,不等式222424ax ax x x +-<+,可化为2(2)2(2)40a x a x -+--<, 当20a -=,即2a =时,不等式恒成立,符合题意;当20a -≠时,要使不等式恒成立,需2)2204(44(2)0a a a --<⎧⎨∆=+⨯-<⎩n , 解得22a -<<,综上所述,所以a 的取值范围为(2,2]-,故选C . 8.B解析:B 【解析】 【分析】先求出函数y=g(x)的解析式,再利用三角函数的图像和性质对每一个选项逐一分析判断. 【详解】设点P(x,y)是函数()y g x =图像上的任意一点,则点Q (x ,)4y π-+在函数y=f(x)的图像上,sin[2(-x+)]sin 2()42y x g x ππ=-=-=,对于选项A,函数y=g(x)的最大值为1,但是()012g π=≠±,所以图象不关于直线2x π=对称,所以该选项是错误的;对于选项B,()()g x g x -=-,所以函数g(x)是奇函数,解222+22k x k ππππ-≤≤得+44k x k ππππ-≤≤,)k Z ∈(,所以函数在0,4π⎛⎫⎪⎝⎭上单调递减,所以该选项是正确的; 对于选项C,由前面分析得函数y=g(x)的增区间为3[+,]()44k k k Z ππππ+∈,且函数y=g(x)不是偶函数,故该选项是错误;对于选项D,函数的周期为π,解2,,2k x k x ππ=∴=所以函数图像的对称中心为,0)(k Z)2k π∈(,所以该选项是错误的. 故选:B 【点睛】本题主要三角函数的解析式的求法,考查三角函数的图像和性质,意在考查学生对这些知识的理解掌握水平和分析推理能力.9.D解析:D 【解析】 【分析】设目前该教师的退休金为x 元,利用条形图和折线图列出方程,求出结果即可. 【详解】设目前该教师的退休金为x 元,则由题意得:6000×15%﹣x×10%=100.解得x =8000. 故选D . 【点睛】本题考查由条形图和折线图等基础知识解决实际问题,属于基础题.10.C解析:C 【解析】试题分析:通过选项a 的值回代验证,判断集合中有3个元素即可. 解:当a=1时,由a 2=1,2﹣a=1,4组成一个集合A ,A 中含有2个元素, 当a=﹣2时,由a 2=4,2﹣a=4,4组成一个集合A ,A 中含有1个元素, 当a=6时,由a 2=36,2﹣a=﹣4,4组成一个集合A ,A 中含有3个元素, 当a=2时,由a 2=4,2﹣a=0,4组成一个集合A ,A 中含有2个元素,故选C .点评:本题考查元素与集合的关系,基本知识的考查.11.D解析:D 【解析】 【分析】 【详解】试题分析:由1lg lg()lgsin lg 2b A c+==-,所以22lglg b b c c =⇒=且2sin A =,又因为A 为锐角,所以45A =o ,由22b c =,根据正弦定理,得22sin sin sin(135)cos sin 22B C B B B ==-=+o ,解得cos 090B B =⇒=o ,所以三角形为等腰直角三角形,故选D. 考点:三角形形状的判定.12.C解析:C 【解析】 【分析】根据正弦函数的图象和性质,即可得到结论. 【详解】解:在[0,2π]内,若sin x 32-<,则43π<x 53π<, 即不等式的解集为(43π,53π), 故选:C . 【点睛】本题主要考查利用三角函数的图象与性质解不等式,考查数形结合的思想,属于基础题.二、填空题13.【解析】【分析】结合图形可以发现利用三角形中位线定理将线段长度用坐标表示成圆的方程与椭圆方程联立可进一步求解利用焦半径及三角形中位线定理则更为简洁【详解】方法1:由题意可知由中位线定理可得设可得联立解析:15【解析】【分析】结合图形可以发现,利用三角形中位线定理,将线段长度用坐标表示成圆的方程,与椭圆方程联立可进一步求解.利用焦半径及三角形中位线定理,则更为简洁.【详解】方法1:由题意可知||=|2OF OM|=c=,由中位线定理可得12||4PF OM==,设(,)P x y可得22(2)16x y-+=,联立方程22195x y+=可解得321,22x x=-=(舍),点P在椭圆上且在x轴的上方,求得315,22P⎛⎫-⎪⎪⎝⎭,所以1521512PFk==方法2:焦半径公式应用解析1:由题意可知|2OF|=|OM|=c=,由中位线定理可得12||4PF OM==,即342p pa ex x-=⇒=-求得32P ⎛- ⎝⎭,所以212PF k == 【点睛】本题主要考查椭圆的标准方程、椭圆的几何性质、直线与圆的位置关系,利用数形结合思想,是解答解析几何问题的重要途径.14.2【解析】【分析】根据条件利用余弦定理可建立关于c 的方程即可解出c 【详解】由余弦定理得即解得或(舍去)故填2【点睛】本题主要考查了利用余弦定理求三角形的边属于中档题解析:2 【解析】 【分析】根据条件,利用余弦定理可建立关于c 的方程,即可解出c. 【详解】由余弦定理2222cos a b c bc A =+-得231c c =+-,即220c c --=,解得2c =或1c =-(舍去).故填2. 【点睛】本题主要考查了利用余弦定理求三角形的边,属于中档题.15.2+∞)【解析】分析:根据偶次根式下被开方数非负列不等式解对数不等式得函数定义域详解:要使函数有意义则解得即函数的定义域为点睛:求给定函数的定义域往往需转化为解不等式(组)的问题解析:[2,+∞) 【解析】分析:根据偶次根式下被开方数非负列不等式,解对数不等式得函数定义域.详解:要使函数()f x 有意义,则2log 10x -≥,解得2x ≥,即函数()f x 的定义域为[2,)+∞.点睛:求给定函数的定义域往往需转化为解不等式(组)的问题.16.【解析】在等腰梯形ABCD 中由得所以考点:平面向量的数量积解析:2918【解析】 在等腰梯形ABCD 中,由AB DC P ,2,1,60,AB BC ABC ==∠=o得12AD BC ⋅=u u u r u u u r ,1AB AD ⋅=u u u r u u u r,12DC AB =u u u r u u u r ,所以()()AE AF AB BE AD DF ⋅=+⋅+u u u r u u u r u u u r u u u r u u u r u u u r22121111129131231218331818AB BC AD AB AB AD BC AD AB BC AB ⎛⎫⎛⎫=+⋅+=⋅+⋅++⋅=++-=⎪ ⎪⎝⎭⎝⎭u u ur u u u r u u u r u u u r u u u r u u u r u u u r u u u r u u u r u u u r u u u r .考点:平面向量的数量积.17.4【解析】试题分析:由x-3y+6=0得x=3y-6代入圆的方程整理得y2-33y+6=0解得y1=23y2=3所以x1=0x2=-3所以|AB|=(x1-x2)2+(y1-y2)2=23又直线l 的解析:4 【解析】 试题分析:由,得,代入圆的方程,整理得,解得,所以,所以.又直线的倾斜角为,由平面几何知识知在梯形中,.【考点】直线与圆的位置关系【技巧点拨】解决直线与圆的综合问题时,一方面,要注意运用解析几何的基本思想方法(即几何问题代数化),把它转化为代数问题;另一方面,由于直线与圆和平面几何联系的非常紧密,因此,准确地作出图形,并充分挖掘几何图形中所隐含的条件,利用几何知识使问题较为简捷地得到解决.18.5﹣【解析】【分析】设圆心为OAB 中点为D 先求出再求PM 的最小值得解【详解】设圆心为OAB 中点为D 由题得取AC 中点M 由题得两方程平方相减得要使取最小值就是PM 最小当圆弧AB 的圆心与点PM 共线时PM 最解析:5﹣13【解析】 【分析】设圆心为O,AB 中点为D,先求出2221944PC PA PM AC PM ⋅=-=-u u u r u u u r u u u u r u u u r u u u u r ,再求PM 的最小值得解. 【详解】设圆心为O,AB 中点为D,由题得22sin2,36AB AC π=⋅⋅=∴=.取AC 中点M ,由题得2PA PC PM PC PA AC ⎧+=⎨-=⎩u u u v u u u v u u u u v u u uv u u u v u u u v , 两方程平方相减得2221944PC PA PM AC PM ⋅=-=-u u u r u u u r u u u u r u u u r u u u u r ,要使PC PA ⋅u u u r u u u r取最小值,就是PM 最小,当圆弧AB 的圆心与点P 、M 共线时,PM 最小.此时DM=221113,()3222DM ∴=+=,所以PM 有最小值为2﹣132, 代入求得PC PA ⋅u u u r u u u r的最小值为5﹣213.故答案为5﹣213 【点睛】本题主要考查直线和圆的位置关系,考查平面向量的数量积及其最值,意在考查学生对这些知识的理解掌握水平和分析推理能力.19.6【解析】【分析】首先根据题中所给的约束条件画出相应的可行域再将目标函数化成斜截式之后在图中画出直线在上下移动的过程中结合的几何意义可以发现直线过B 点时取得最大值联立方程组求得点B 的坐标代入目标函数解析:6 【解析】 【分析】首先根据题中所给的约束条件,画出相应的可行域,再将目标函数化成斜截式3122y x z =-+,之后在图中画出直线32y x =-,在上下移动的过程中,结合12z 的几何意义,可以发现直线3122y x z =-+过B 点时取得最大值,联立方程组,求得点B 的坐标代入目标函数解析式,求得最大值. 【详解】根据题中所给的约束条件,画出其对应的可行域,如图所示:由32z x y =+,可得3122y x z =-+, 画出直线32y x =-,将其上下移动, 结合2z的几何意义,可知当直线3122y x z =-+在y 轴截距最大时,z 取得最大值,由2200x y y --=⎧⎨=⎩,解得(2,0)B , 此时max 3206z =⨯+=,故答案为6.点睛:该题考查的是有关线性规划的问题,在求解的过程中,首先需要正确画出约束条件对应的可行域,之后根据目标函数的形式,判断z 的几何意义,之后画出一条直线,上下平移,判断哪个点是最优解,从而联立方程组,求得最优解的坐标,代入求值,要明确目标函数的形式大体上有三种:斜率型、截距型、距离型;根据不同的形式,应用相应的方法求解.20.2【解析】【分析】过点C 作CD ⊥AB 于D 可得Rt △ACD 中利用三角函数的定义算出再由向量数量积的公式加以计算可得的值【详解】过点C 作CD ⊥AB 于D 则D 为AB 的中点Rt △ACD 中可得cosA==2故答解析:2 【解析】 【分析】过点C 作CD⊥AB 于D ,可得1AD AB 12==,Rt△ACD 中利用三角函数的定义算出1cos A AC=,再由向量数量积的公式加以计算,可得AB AC ⋅u u u v u u u v的值. 【详解】过点C 作CD ⊥AB 于D ,则D 为AB 的中点.Rt △ACD 中,1AD AB 12==, 可得cosA=11,cosA AD AB AC AB AC AB AC AB AC AC AC=∴⋅=⋅=⋅⋅=u u u u v u u u u v u u u u v u u u u v u u u u v u u u v u u u v =2. 故答案为2 【点睛】本题已知圆的弦长,求向量的数量积.着重考查了圆的性质、直角三角形中三角函数的定义与向量的数量积公式等知识,属于基础题.三、解答题21.(1)列联表见解析;(2)有99.9%的把握认为喜欢游泳与性别有关;(3).【解析】试题分析:(1)根据在100人中随机抽取1人抽到喜欢游泳的学生的概率为35, 可得喜爱游泳的学生,即可得到列联表;(2)利用公式求得2K 与邻界值比较,即可得到结论;(3)利用列举法,确定基本事件的个数,即利用古典概型概率公式可求出恰好有1人喜欢游泳的概率.试题解析:(1)因为在100人中随机抽取1人抽到喜欢游泳的学生的概率为, 所以喜欢游泳的学生人数为人其中女生有20人,则男生有40人,列联表补充如下:喜欢游泳 不喜欢游泳 合计 男生 40 10 50 女生 20 30 50 合计 6040100(2)因为所以有99.9%的把握认为喜欢游泳与性别有关(3)5名学生中喜欢游泳的3名学生记为a ,b ,c ,另外2名学生记为1, 2,任取2名学生,则所有可能情况为(a ,b )、(a ,c )、(a ,1)、(a ,2)、(b ,c )、(b ,1)、(b ,2)、(c ,1)、(c ,2)、(1,2),共10种.其中恰有1人喜欢游泳的可能情况为(a ,1)、(a ,2)、(b ,1)、(c ,1)、 (c ,2),共6种所以,恰好有1人喜欢游泳的概率为【方法点睛】本题主要考查古典概型概率公式,以及独立性检验的应用,属于中档题,利用古典概型概率公式,求概率时,找准基本事件个数是解题的关键,在找基本事件个数时,一定要按顺序逐个写出:先11(,)A B ,12(,)A B …. 1(,)n A B ,再21(,)A B ,22(,)A B …..2(,)n A B 依次31(,)A B 32(,)A B ….3(,)n A B … 这样才能避免多写、漏写现象的发生.22.(1)()2240x y y -=≠(25【解析】(1)消去参数t 得1l 的普通方程()1:2l y k x =-;消去参数m 得l 2的普通方程()21:2l y x k=+. 设(),P x y ,由题设得()()212y k x y x k ⎧=-⎪⎨=+⎪⎩,消去k 得()2240x y y -=≠.所以C 的普通方程为()2240x y y -=≠.(2)C 的极坐标方程为()()222cos sin 402π,πρθθθθ-=<<≠.联立()()222cos sin 4,cos sin 0ρθθρθθ⎧-=⎪⎨+=⎪⎩得()cos sin 2cos sin θθθθ-=+.故1tan 3θ=-, 从而2291cos ,sin 1010θθ==. 代入()222cos sin 4ρθθ-=得25ρ=,所以交点M【名师点睛】本题考查了极坐标方程的求法及应用,重点考查了转化与化归能力.遇到求曲线交点、距离、线段长等几何问题时,求解的一般方法是分别化为普通方程和直角坐标方程后求解,或者直接利用极坐标的几何意义求解.要结合题目本身特点,确定选择何种方程. 23.(Ⅰ)4,03⎛⎫- ⎪⎝⎭;(Ⅱ)4m ≥ 【解析】试题分析:(1)当m=5时,把要解的不等式等价转化为与之等价的三个不等式组,求出每个不等式组的解集,再取并集,即得所求.(2)由二次函数y=x 2+2x+3=(x+1)2+2在x=﹣1取得最小值2,f (x )在x=﹣1处取得最大值m ﹣2,故有m ﹣2≥2,由此求得m 的范围. 试题解析:(1)当5m =时,()()()()521311521x x f x x x x ⎧+<-⎪=-≤≤⎨⎪->⎩,由()2f x >得不等式的解集为3322x x ⎧⎫-<<⎨⎬⎩⎭. (2)由二次函数()222312y x x x =++=++, 知函数在1x =-取得最小值2,因为()()()()2121121m x x f x m x m x x ⎧+<-⎪=--≤≤⎨⎪->⎩,在1x =-处取得最大值2m -,所以要是二次函数223y x x =++与函数()y f x =的图象恒有公共点.只需22m -≥,即4m ≥.24.(1)证明见解析;(2)证明见解析. 【解析】【分析】(1)由中位线定理可知//EF BD ,故四点共面(2)PQ 是平面11AAC C 与平面DBFE 的交线,可证R 是两平面公共点,故PQ 过R ,得证. 【详解】证明:(1)EF Q 是111D B C ∆的中位线,11//EF B D ∴.在正方体1AC 中,11//B D BD ,//EF BD ∴.,EF BD ∴确定一个平面,即D B F E ,,,四点共面.(2)正方体1AC 中,设11A ACC 确定的平面为α, 又设平面BDEF 为β.11,Q AC Q α∈∴∈Q .又Q EF ∈,Q β∴∈, 则Q 是α与β的公共点,a PQ β∴⋂=.又11,AC R R AC β⋂=∴∈.R a ∴∈,且R β∈,则R PQ ∈,故P Q R ,,三点共线. 【点睛】本题主要考查了多点共面及多点共线问题,主要利用平面的基本性质解决,属于中档题.25.(1)详见解析;(2)31. 【解析】 【分析】(1)连接1AC ,1A C 交于M 点,连接MQ ,则四边形11A ACC 是正方形,点M 是1AC 的中点,推导出四边形11B C MQ 是平行四边形,从而11B Q C M P ,由此能证明1B Q P 平面11A ACC .(2)以C 为原点,CB ,1CC 分别为y 轴和z 轴建立空间直角坐标系,利用向量法能求出二面角11A BB C --的平面角的余弦值. 【详解】证明:(1)如图所示,连接1AC ,1A C 交于M 点,连接MQ . 因为四边形11A ACC 是正方形,所以点M 是1AC 的中点, 又已知点Q 是1A B 的中点,所以MQ BC P ,且12MQ BC =, 又因为11B C BC ∥,且112BC B C =,所以11MQ B C P ,且11MQ B C =,所以四边形11B C MQ 是平行四边形,故11B Q C M P , 因1B Q ⊄平面11A ACC ,1C M ⊂平面11A ACC , 故1B Q P 平面11A ACC .(2)如图所示,以C 为原点,1,CB CC 分别为y 轴和z 轴建立空间直角坐标系, 不妨设1122AC BC B C ===,则()3,1,0A-,()13,1,2A -,()0,2,0B ,()10,1,2B , 所以()113,2,0B A =-u u u u r ,()10,1,2B B =-u u u r .设平面11A BB 的法向量为(),,m x y z =u r, 则111·0·0m B A m B B ⎧=⎪⎨=⎪⎩u u u u v v u u u v v 即32020x y y z ⎧-=⎪⎨-=⎪⎩,取4x =,则()4,23,3m =u r 平面1CBB 的一个法向量()1,0,0n =r ,所以431cos ,31m n m n m n===u r ru r r g u r r g . 故二面角11A BB C --的平面角的余弦值为431.【点睛】线面平行的证明的关键是在面中找到一条与已知直线平行的直线,找线的方法是平行投影或中心投影,我们也可以通过面面平行证线面平行,这个方法的关键是构造过已知直线的平面,证明该平面与已知平面平行. 空间中的角的计算,可以建立空间直角坐标系把角的计算归结为向量的夹角的计算,也可以构建空间角,把角的计算归结平面图形中的角的计算.26.(1)证明见解析;(2)112. 【解析】 【分析】(1)连接PF ,BD 由三线合一可得AD ⊥BF ,AD ⊥PF ,故而AD ⊥平面PBF ,于是AD ⊥PB ; (2)先证明PF ⊥平面ABCD ,再作PF 的平行线,根据相似找到G ,再利用等积转化求体积. 【详解】 连接PF ,BD,∵PAD ∆是等边三角形,F 为AD 的中点, ∴PF ⊥AD ,∵底面ABCD 是菱形,3BAD π∠=,∴△ABD 是等边三角形,∵F 为AD 的中点, ∴BF ⊥AD ,又PF ,BF ⊂平面PBF ,PF ∩BF =F , ∴AD ⊥平面PBF ,∵PB ⊂平面PBF , ∴AD ⊥PB .(2)由(1)得BF ⊥AD ,又∵PD ⊥BF ,AD ,PD ⊂平面PAD , ∴BF ⊥平面PAD ,又BF ⊂平面ABCD , ∴平面PAD ⊥平面ABCD ,由(1)得PF ⊥AD ,平面PAD ∩平面ABCD =AD , ∴PF ⊥平面ABCD ,连接FC 交DE 于H,则△HEC 与△HDF 相似,又1142EC BC FD ==,∴CH=13CF , ∴在△PFC 中,过H 作GH //PF 交PC 于G ,则GH⊥平面ABCD ,又GH ⊂面GED ,则面GED⊥平面ABCD , 此时CG=13CP, ∴四面体D CEG -的体积11111223382312D CEG G CED CED V V S GH PF V --==⋅=⨯⨯⨯⨯⨯=. 所以存在G 满足CG=13CP, 使平面DEG ⊥平面ABCD ,且112D CEG V -=. 【点睛】本题考查了线面垂直的判定与性质定理,面面垂直的判定及性质的应用,考查了棱锥的体积计算,属于中档题.。
2020-2021高三数学下期末一模试题(含答案)(10)
2020-2021高三数学下期末一模试题(含答案)(10)一、选择题1.设函数()()21,04,0x log x x f x x ⎧-<=⎨≥⎩,则()()233f f log -+=( )A .9B .11C .13D .152.一个长方体去掉一个小长方体,所得几何体的正视图与侧(左)视图分别如图所示,则该几何体的俯视图为( )A .B .C .D .3.将编号为1,2,3,4,5,6的六个小球放入编号为1,2,3,4,5,6的六个盒子,每个盒子放一个小球,若有且只有三个盒子的编号与放入的小球编号相同,则不同的放法种数是( ) A .40 B .60 C .80 D .1004.甲、乙两人玩猜数字游戏,先由甲心中想一个数字,记为a ,再由乙猜甲刚才所想的数字,把乙猜的数字记为b ,其中a ,b ∈{1,2,3,4,5,6},若|a-b|≤1,就称甲乙“心有灵犀”.现任意找两人玩这个游戏,则他们“心有灵犀”的概率为( ) A .19B .29C .49D .7185.设i 为虚数单位,则(x +i)6的展开式中含x 4的项为( ) A .-15x 4 B .15x 4 C .-20i x 4 D .20i x 4 6.若()34i x yi i +=+,,x y R ∈,则复数x yi +的模是 ( ) A .2B .3C .4D .57.函数()ln f x x x =的大致图像为 ( )A .B .C .D .8.522x x ⎛⎫+ ⎪⎝⎭的展开式中4x 的系数为 A .10B .20C .40D .809.已知某几何体的三视图(单位:cm )如图所示,则该几何体的体积是( )A .108cm 3B .100cm 3C .92cm 3D .84cm 310.渐近线方程为0x y ±=的双曲线的离心率是( ) A .22B .1C 2D .211.在[0,2]π内,不等式3sin 2x <-的解集是( ) A .(0)π,B .4,33ππ⎛⎫⎪⎝⎭C .45,33ππ⎛⎫⎪⎝⎭D .5,23ππ⎛⎫⎪⎝⎭12.将函数()sin 2y x ϕ=+的图象沿轴向左平移8π个单位后,得到一个偶函数的图象,则ϕ的一个可能取值为( ) A .B .C .0D .4π-二、填空题13.已知sin cos 1αβ+=,cos sin 0αβ+=,则()sin αβ+__________. 14.已知函数sin(2)()22y x ϕϕππ=+-<<的图象关于直线3x π=对称,则ϕ的值是________.15.已知函数()(ln )f x x x ax =-有两个极值点,则实数a 的取值范围是__________. 16.在极坐标系中,直线cos sin (0)a a ρθρθ+=>与圆2cos ρθ=相切,则a =__________.17.若x ,y 满足约束条件220100x y x y y --≤⎧⎪-+≥⎨⎪≤⎩,则32z x y =+的最大值为_____________.18.若45100a b ==,则122()a b+=_____________. 19.锐角△ABC 中,若B =2A ,则ba的取值范围是__________. 20.三个数成等差数列,其比为3:4:5,又最小数加上1后,三个数成等比数列,那么原三个数是三、解答题21.设椭圆22221(0)x y a b a b+=>>的左焦点为F ,右顶点为A ,离心率为12.已知A 是抛物线22(0)y px p =>的焦点,F 到抛物线的准线l 的距离为12. (I )求椭圆的方程和抛物线的方程;(II )设l 上两点P ,Q 关于x 轴对称,直线AP 与椭圆相交于点B (B 异于点A ),直线BQ 与x 轴相交于点D .若APD △6AP 的方程. 22.已知等差数列{}n a 满足:12a =,且1a ,2a ,5a 成等比数列. (1)求数列{}n a 的通项公式;(2)记n S 为数列{}n a 的前n 项和,是否存在正整数n ,使得60800n S n >+ ?若存在,求n 的最小值;若不存在,说明理由. 23.设函数()15,f x x x x R =++-∈. (1)求不等式()10f x ≤的解集;(2)如果关于x 的不等式2()(7)f x a x ≥--在R 上恒成立,求实数a 的取值范围. 24.已知函数()ln f x x x =. (1)若函数2()1()f x g x x x=-,求()g x 的极值; (2)证明:2()1xf x e x +<-.(参考数据:ln20.69≈ ln3 1.10≈ 32 4.48e ≈ 27.39e ≈) 25.选修4-5:不等式选讲:设函数()13f x x x a =++-. (1)当1a =时,解不等式()23f x x ≤+;(2)若关于x 的不等式()42f x x a <+-有解,求实数a 的取值范围. 26.如图,四棱锥P ABCD -中,//AB DC ,2ADC π∠=,122AB AD CD ===,6PD PB ==,PD BC ⊥.(1)求证:平面PBD ⊥平面PBC ;(2)在线段PC 上是否存在点M ,使得平面ABM 与平面PBD 所成锐二面角为3π?若存在,求CMCP的值;若不存在,说明理由.【参考答案】***试卷处理标记,请不要删除一、选择题 1.B 解析:B 【解析】 【分析】根据自变量所在的范围代入相应的解析式计算即可得到答案. 【详解】∵函数2log (1),0()4,0xx x f x x -<⎧=⎨≥⎩,∴()2l 23og 2(3)log 3log 44f f -+=+=2+9=11.故选B . 【点睛】本题考查函数值的求法,考查指对函数的运算性质,是基础题.2.C解析:C 【解析】 【分析】从正视图和侧视图上分析,去掉的长方体的位置应该在的方位,然后判断俯视图的正确图形. 【详解】由正视图可知去掉的长方体在正视线的方向,从侧视图可以看出去掉的长方体在原长方体的右侧, 由以上各视图的描述可知去掉的长方体在原长方体的右上方,其俯视图符合C 选项. 故选C .点评:本题考查几何体的三视图之间的关系,要注意记忆和理解“长对正、高平齐、宽相等”的含义. 考点:三视图.3.A解析:A【解析】解:三个小球放入盒子是不对号入座的方法有2 种,由排列组合的知识可得,不同的放法总数是: 36240C = 种.本题选择A 选项.4.C解析:C 【解析】试题分析:由题为古典概型,两人取数作差的绝对值的情况共有36种,满足|a-b|≤1的有(1,1)(2,2)(3,3)(4,4)(5,5)(6,6)(1,2)(2,1)(3,2)(2,3)(3,4)(4,3)(5,4)(4,5)(5,6)(6,5)共16种情况,则概率为;164369p == 考点:古典概型的计算.5.A解析:A 【解析】 试题分析:二项式的展开式的通项为,令,则,故展开式中含的项为,故选A.【考点】二项展开式,复数的运算【名师点睛】本题考查二项式定理及复数的运算,复数的概念及运算也是高考的热点,几乎是每年必考的内容,属于容易题.一般来说,掌握复数的基本概念及四则运算即可.二项式可以写为,则其通项为,则含的项为.6.D解析:D 【解析】试题分析:根据题意可知34xi y i -=+,所以有3{4y x =-=,故所给的复数的模该为5,故选D.考点:复数相等,复数的模.7.A解析:A 【解析】 【分析】 【详解】∵函数f (x )=xlnx 只有一个零点,∴可以排除CD 答案又∵当x ∈(0,1)时,lnx <0,∴f (x )=xlnx <0,其图象在x 轴下方 ∴可以排除B 答案 考点:函数图像.8.C解析:C 【解析】分析:写出103152r r rr T C x -+=n n ,然后可得结果详解:由题可得()5210315522rrrr r rr T C x C xx --+⎛⎫== ⎪⎝⎭n n 令103r 4-=,则r 2=所以22552240r r C C n =⨯=故选C.点睛:本题主要考查二项式定理,属于基础题。
- 1、下载文档前请自行甄别文档内容的完整性,平台不提供额外的编辑、内容补充、找答案等附加服务。
- 2、"仅部分预览"的文档,不可在线预览部分如存在完整性等问题,可反馈申请退款(可完整预览的文档不适用该条件!)。
- 3、如文档侵犯您的权益,请联系客服反馈,我们会尽快为您处理(人工客服工作时间:9:00-18:30)。
2020-2021高三数学下期末一模试题含答案(17)一、选择题1.若3tan 4α= ,则2cos 2sin 2αα+=( ) A .6425 B .4825C .1D .16252.如果42ππα<<,那么下列不等式成立的是( )A .sin cos tan ααα<<B .tan sin cos ααα<<C .cos sin tan ααα<<D .cos tan sin ααα<<3.在“一带一路”知识测验后,甲、乙、丙三人对成绩进行预测.甲:我的成绩比乙高. 乙:丙的成绩比我和甲的都高. 丙:我的成绩比乙高.成绩公布后,三人成绩互不相同且只有一个人预测正确,那么三人按成绩由高到低的次序为A .甲、乙、丙B .乙、甲、丙C .丙、乙、甲D .甲、丙、乙4.生物实验室有5只兔子,其中只有3只测量过某项指标,若从这5只兔子中随机取出3只,则恰有2只测量过该指标的概率为 A .23 B .35C .25D .155.已知F 1,F 2分别是椭圆C :22221x y a b+= (a >b >0)的左、右焦点,若椭圆C 上存在点P ,使得线段PF 1的中垂线恰好经过焦点F 2,则椭圆C 离心率的取值范围是( )A .2,13⎡⎫⎪⎢⎣⎭B .13⎡⎢⎣⎦C .1,13⎡⎫⎪⎢⎣⎭D .10,3⎛⎤ ⎥⎝⎦6.函数32()31f x x x =-+的单调减区间为 A .(2,)+∞B .(,2)-∞C .(,0)-∞D .(0,2)7.已知a r 与b r均为单位向量,它们的夹角为60︒,那么3a b -r r 等于( )A BC D .48.在如图的平面图形中,已知1,2,120OM ON MON ==∠=o,2,2,BM MA CN NA ==u u u u v u u u v u u u v u u u v则·BC OM u u u vu u u u v 的值为A.15-B.9-C.6-D.09.设5sin7aπ=,2cos7bπ=,2tan7cπ=,则()A.a b c<<B.a c b<<C.b c a<<D.b a c<<10.在二项式42nxx⎛+⎪⎝⎭的展开式,前三项的系数成等差数列,把展开式中所有的项重新排成一列,有理项都互不相邻的概率为()A.16B.14C.512D.1311.已知双曲线C:()222210,0x ya ba b-=>>的焦距为2c,焦点到双曲线C的渐近线的距离为3c,则双曲线的渐近线方程为()A.3y x=±B.2y x=±C.y x=±D.2y x=±12.如图,AB是圆的直径,PA垂直于圆所在的平面,C是圆上一点(不同于A、B)且PA=AC,则二面角P-BC-A的大小为( )A.60︒B.30°C.45︒D.15︒二、填空题13.若三点1(2,3),(3,2),(,)2A B C m--共线,则m的值为.14.若过点()2,0M3()2:0C y ax a=>的准线l相交于点B,与C的一个交点为A,若BM MA=v u u u v,则a=____.15.已知圆锥的侧面展开图是一个半径为2cm,圆心角为23π的扇形,则此圆锥的高为________cm.16.复数()1i i +的实部为 .17.已知sin cos 1αβ+=,cos sin 0αβ+=,则()sin αβ+__________.18.已知α,β均为锐角,4cos 5α=,1tan()3αβ-=-,则cos β=_____. 19.如图,已知P 是半径为2,圆心角为3π的一段圆弧AB 上一点,2A B B C =u u u v u u u v ,则PC PA ⋅u u u v u u u v的最小值为_______.20.在ABC ∆中,若13AB =,3BC =,120C ∠=︒,则AC =_____.三、解答题21.在平面直角坐标系中,直线l 的参数方程为cos sin x t y t αα=⎧⎨=⎩(t 为参数,0≤α<π).以坐标原点为极点,x 轴正半轴为极轴建立极坐标系,曲线C 的极坐标方程为244cos 2sin ρρθρθ-=-.(Ⅰ)写出曲线C 的直角坐标方程;(Ⅱ)若直线l 与曲线C 交于A ,B 两点,且AB 的长度为25,求直线l 的普通方程. 22.我国是世界上严重缺水的国家,某市为了制定合理的节水方案,对居民用水情况进行调查,通过抽样,获得某年100为居民每人的月均用水量(单位:吨),将数据按照分成9组,制成了如图所示的频率分布直方图.(1)求直方图的的值;(2)设该市有30万居民,估计全市居民中月均用水量不低于3吨的人数,说明理由; (3)估计居民月用水量的中位数.23.如图,在直四棱柱1111ABCD A B C D -中,底面ABCD 是矩形,1A D 与1AD 交于点E .124AA AB AD ===.(1)证明:AE ⊥平面ECD ;(2)求直线1A C 与平面EAC 所成角的正弦值.24.如图,已知四棱锥P ABCD -的底面为等腰梯形,//AB CD ,AC BD ⊥,垂足为H ,PH 是四棱锥的高.(Ⅰ)证明:平面PAC ⊥平面PBD ; (Ⅱ)若AB 6=APB ADB ∠=∠=60°,求四棱锥P ABCD -的体积. 25.△ABC 在内角A 、B 、C 的对边分别为a ,b ,c ,已知a=bcosC+csinB .(Ⅰ)求B ;(Ⅱ)若b=2,求△ABC 面积的最大值.26.在平面直角坐标系xOy 中,直线l 的参数方程为21x ty at=+⎧⎨=-⎩(t 为参数,a R ∈),以坐标原点O 为极点,x 轴正半轴为极轴建立极坐标系,线C 的极坐标方程是224πρθ⎛⎫=+⎪⎝⎭. (1)求直线l 的普通方程和曲线C 的直角坐标方程; (2)己知直线l 与曲线C 交于A 、B 两点,且7AB =a 的值.【参考答案】***试卷处理标记,请不要删除一、选择题 1.A 解析:A试题分析:由3tan 4α=,得34sin ,cos 55αα==或34sin ,cos 55αα=-=-,所以2161264cos 2sin 24252525αα+=+⨯=,故选A . 【考点】同角三角函数间的基本关系,倍角公式.【方法点拨】三角函数求值:①“给角求值”将非特殊角向特殊角转化,通过相消或相约消去非特殊角,进而求出三角函数值;②“给值求值”关键是目标明确,建立已知和所求之间的联系.2.C解析:C 【解析】 【分析】分别作出角α的正弦线、余弦线和正切线,结合图象,即可求解. 【详解】如图所示,在单位圆中分别作出α的正弦线MP 、余弦线OM 、正切线AT , 很容易地观察出OM MP AT <<,即cos sin tan ααα<<. 故选C.【点睛】本题主要考查了三角函数线的应用,其中解答中熟记三角函数的正弦线、余弦线和正切线,合理作出图象是解答的关键,着重考查了数形结合思想,以及推理与运算能力,属于基础题.3.A解析:A 【解析】 【分析】利用逐一验证的方法进行求解. 【详解】若甲预测正确,则乙、丙预测错误,则甲比乙成绩高,丙比乙成绩低,故3人成绩由高到低依次为甲,乙,丙;若乙预测正确,则丙预测也正确,不符合题意;若丙预测正确,则甲必预测错误,丙比乙的成绩高,乙比甲成绩高,即丙比甲,乙成绩都高,即乙预测正确,不符合题意,故选A .本题将数学知识与时政结合,主要考查推理判断能力.题目有一定难度,注重了基础知识、逻辑推理能力的考查.4.B解析:B 【解析】 【分析】本题首先用列举法写出所有基本事件,从中确定符合条件的基本事件数,应用古典概率的计算公式求解. 【详解】设其中做过测试的3只兔子为,,a b c ,剩余的2只为,A B ,则从这5只中任取3只的所有取法有{,,},{,,},{,,},{,,},{,,},{,,}a b c a b A a b B a c A a c B a A B ,{,c,},{,c,},{b,,},{c,,}b A b B A B A B 共10种.其中恰有2只做过测试的取法有{,,},{,,},{,,},{,,},a b A a b B a c A a c B {,c,},{,c,}b A b B 共6种,所以恰有2只做过测试的概率为63105=,选B . 【点睛】本题主要考查古典概率的求解,题目较易,注重了基础知识、基本计算能力的考查.应用列举法写出所有基本事件过程中易于出现遗漏或重复,将兔子标注字母,利用“树图法”,可最大限度的避免出错.5.C解析:C 【解析】 如图所示,∵线段PF 1的中垂线经过F 2,∴PF 2=12F F =2c ,即椭圆上存在一点P ,使得PF 2=2c. ∴a-c≤2c≤a+c.∴e=1[,1)3c a ∈.选C. 【点睛】求离心率范围时,常转化为x,y 的范围,焦半径的范围,从而求出离心率的范围。
本题就是通过中垂线上点到两端点距离相等,建立焦半径与,,a b c 的关系,从而由焦半径的范围求出离心率的范围。
6.D解析:D【分析】对函数求导,让函数的导函数小于零,解不等式,即可得到原函数的单调减区间. 【详解】32'2()31()363(2)002f x x x f x x x x x x -=-<⇒=+∴=<-<Q ,所以函数的单调减区间为(0,2),故本题选D. 【点睛】本题考查了利用导数求函数的单调减区间问题,正确求出导函数是解题的关键.7.A解析:A 【解析】本题主要考查的是向量的求模公式.由条件可知==,所以应选A .8.C解析:C 【解析】分析:连结MN ,结合几何性质和平面向量的运算法则整理计算即可求得最终结果. 详解:如图所示,连结MN ,由2,2BM MA CN NA ==u u u u v u u u v u u u v u u u v可知点,M N 分别为线段,AB AC 上靠近点A 的三等分点, 则()33BC MN ON OM ==-u u u v u u u u v u u u v u u u u v ,由题意可知:2211OM ==u u u u v ,12cos1201OM ON ou u u u v u u u v ⋅=⨯⨯=-,结合数量积的运算法则可得:()2333336BC OM ON OM OM ON OM OM ⋅=-⋅=⋅-=--=-u u u v u u u u v u u u v u u u u v u u u u v u u u v u u u u v u u u u v .本题选择C 选项.点睛:求两个向量的数量积有三种方法:利用定义;利用向量的坐标运算;利用数量积的几何意义.具体应用时可根据已知条件的特征来选择,同时要注意数量积运算律的应用.9.D【解析】 【分析】 【详解】 因为,,所以,,且,所以,,所以,故选D.10.C解析:C 【解析】 【分析】先根据前三项的系数成等差数列求n ,再根据古典概型概率公式求结果 【详解】因为42nx x 前三项的系数为1212111(1)1,,112448n n n n n n C C C C n -⋅⋅∴=+⋅∴-= 163418118,0,1,2,82rr r r n n T C x r -+>∴=∴=⋅=Q L ,当0,4,8r =时,为有理项,从而概率为636799512A A A =,选C. 【点睛】本题考查二项式定理以及古典概型概率,考查综合分析求解能力,属中档题.11.A解析:A 【解析】 【分析】利用双曲线C :()222210,0x y a b a b -=>>3,求出a ,b 的关系式,然后求解双曲线的渐近线方程. 【详解】双曲线C :()222210,0x y a b a b -=>>的焦点(),0c 到渐近线0bx ay +=3,可得:223a b =+,可得32b c =,3ba =C 的渐近线方程为3y x =.故选A . 【点睛】本题考查双曲线的简单性质的应用,构建出,a b 的关系是解题的关键,考查计算能力,属于中档题.12.C解析:C 【解析】由条件得:PA ⊥BC ,AC ⊥BC 又PA ∩AC =C ,∴BC ⊥平面P AC ,∴∠PCA 为二面角P -BC -A 的平面角.在Rt △P AC 中,由P A =AC 得∠PCA =45°,故选C .点睛:二面角的寻找主要利用线面垂直,根据二面角定义得二面角的棱垂直于二面角的平面角所在平面.二、填空题13.【解析】试题分析:依题意有即解得考点:三点共线 解析:12【解析】试题分析:依题意有AB AC k k =,即531522m --=+,解得12m =. 考点:三点共线.14.【解析】【分析】由直线方程为与准线得出点坐标再由可得点为线段的中点由此求出点A 的坐标代入抛物线方程得出的值【详解】解:抛物线的准线方程为过点且斜率为的直线方程为联立方程组解得交点坐标为设A 点坐标为因 解析:8【解析】 【分析】由直线方程为2)y x =-与准线:al x 4=-得出点B 坐标,再由BM MA u u u u v u u u v =可得,点M 为线段AB 的中点,由此求出点A 的坐标,代入抛物线方程得出a 的值.【详解】解:抛物线()2:0C y ax a =>的准线方程为:a l x 4=-过点()2,0M2)y x =-,联立方程组2)4y x a x ⎧=-⎪⎨=-⎪⎩,解得,交点B 坐标为()(,)a 3a 84-+-, 设A 点坐标为00(,)x y , 因为BM MA u u u u v u u u v=,所以点M 为线段AB 的中点,所以00()4423(8)402a x a y ⎧+-⎪=⎪⎪⎨-+⎪+⎪=⎪⎩,解得()(,)a 3a 8A 44++,将()(,)a 3a 8A 444++代入抛物线方程, 即()()()23a 8aa 444+=+, 因为0a >, 解得8a =. 【点睛】本题考查了抛物线的性质、向量相等等知识,解决几何问题时,往往可以转化为代数问题来进行研究,考查了数形结合的思想.15.【解析】【分析】设此圆的底面半径为高为母线为根据底面圆周长等于展开扇形的弧长建立关系式解出再根据勾股定理得即得此圆锥高的值【详解】设此圆的底面半径为高为母线为因为圆锥的侧面展开图是一个半径为圆心角为 解析:423【解析】 【分析】设此圆的底面半径为r ,高为h ,母线为l ,根据底面圆周长等于展开扇形的弧长,建立关系式解出r ,再根据勾股定理得22h l r =- ,即得此圆锥高的值. 【详解】设此圆的底面半径为r ,高为h ,母线为l ,因为圆锥的侧面展开图是一个半径为2cm ,圆心角为23π的扇形,所以2l =,得24233r l πππ=⨯= ,解之得23r =, 因此,此圆锥的高2222242cm 32h l r ⎛⎫=-=-= ⎪⎝⎭, 故答案为:423. 【点睛】本题给出圆锥的侧面展开图扇形的半径和圆心角,求圆锥高的大小,着重考查了圆锥的定义与性质和旋转体侧面展开等知识,属于基础题. 16.【解析】复数其实部为考点:复数的乘法运算实部解析:1-【解析】复数(1)11i i i i +=-=-+,其实部为1-.考点:复数的乘法运算、实部.17.【解析】【详解】因为所以①因为所以②①②得即解得故本题正确答案为解析:12- 【解析】【详解】因为, 所以,① 因为, 所以,② ①②得, 即, 解得, 故本题正确答案为18.【解析】【分析】先求得的值然后求得的值进而求得的值【详解】由于为锐角且故由解得由于为锐角故【点睛】本小题主要考查同角三角函数的基本关系式考查两角差的正切公式属于中档题解析:1050【解析】【分析】先求得tan α的值,然后求得tan β的值,进而求得cos β的值.【详解】由于α为锐角,且4cos 5α=,故3sin 5α==,sin 3tan cos 4ααα==.由()tan tan 1tan 1tan tan 3αβαβαβ--==-+⋅,解得13tan 9β=,由于β为锐角,故cos β====. 【点睛】本小题主要考查同角三角函数的基本关系式,考查两角差的正切公式,属于中档题.19.5﹣【解析】【分析】设圆心为OAB 中点为D 先求出再求PM 的最小值得解【详解】设圆心为OAB 中点为D 由题得取AC 中点M 由题得两方程平方相减得要使取最小值就是PM 最小当圆弧AB 的圆心与点PM 共线时PM 最解析:5﹣【解析】【分析】设圆心为O,AB 中点为D,先求出2221944PC PA PM AC PM ⋅=-=-u u u r u u u r u u u u r u u u r u u u u r ,再求PM 的最小值得解.【详解】设圆心为O,AB 中点为D, 由题得22sin 2,36AB AC π=⋅⋅=∴=.取AC 中点M ,由题得2PA PC PM PC PA AC⎧+=⎨-=⎩u u u v u u u v u u u u v u u uv u u u v u u u v , 两方程平方相减得2221944PC PA PM AC PM ⋅=-=-u u u r u u u r u u u u r u u u r u u u u r , 要使PC PA ⋅u u u r u u u r 取最小值,就是PM 最小,当圆弧AB 的圆心与点P 、M 共线时,PM 最小.此时DM=1,2DM ∴==, 所以PM 有最小值为2, 代入求得PC PA ⋅u u u r u u u r 的最小值为5﹣故答案为5﹣【点睛】本题主要考查直线和圆的位置关系,考查平面向量的数量积及其最值,意在考查学生对这些知识的理解掌握水平和分析推理能力.20.1【解析】【分析】由题意利用余弦定理得到关于AC 的方程解方程即可确定AC 的值【详解】由余弦定理得解得或(舍去)【点睛】本题主要考查余弦定理解三角形的方法方程的数学思想等知识意在考查学生的转化能力和计 解析:1【解析】【分析】由题意利用余弦定理得到关于AC 的方程,解方程即可确定AC 的值.【详解】由余弦定理得21393AC AC =++,解得1AC =或4AC =-(舍去).【点睛】本题主要考查余弦定理解三角形的方法,方程的数学思想等知识,意在考查学生的转化能力和计算求解能力.三、解答题21.(Ⅰ) ()()22219x y -++=;(Ⅱ)34y x =和x=0. 【解析】【分析】(I )将x cos y sin ρθρθ=⎧⎨=⎩代入曲线C 极坐标方程,化简后可求得对应的直角坐标方程.(II )将直线的参数方程代入曲线方程,利用弦长公式列方程,解方程求得直线的倾斜角或斜率,由此求得直线l 的普通方程.【详解】解:(Ⅰ)将x cos y sin ρθρθ=⎧⎨=⎩代入曲线C 极坐标方程得: 曲线C 的直角坐标方程为:22442x y x y +-=-即()()22219x y -++=(Ⅱ)将直线的参数方程代入曲线方程: ()()22cos 2sin 19t t αα-++=整理得24cos 2sin 40t t t αα-+-=设点A ,B 对应的参数为1t ,2t ,解得124cos 2sin t t αα+=-,124t t ⋅=-则12AB t t =-===23cos 4sin cos 0ααα-=,因为0απ≤<得3tan 24παα==或,直线l 的普通方程为34y x =和x=0【点睛】本小题主要考查极坐标方程和直角坐标方程互化,考查利用直线的参数方程来求弦长有关的问题,属于中档题.22.(1); (2)36000;(3). 【解析】【分析】本题主要考查频率分布直方图、频率、频数的计算等基础知识,考查学生的分析问题、解决问题的能力. 第(Ⅰ)问,由高×组距=频率,计算每组的频率,根据所有频率之和为1,计算出a 的值;第(Ⅱ)问,利用高×组距=频率,先计算出每人月均用水量不低于3吨的频率,再利用频率×样本容量=频数,计算所求人数;第(Ⅲ)问,将前5组的频率之和与前4组的频率之和进行比较,得出2≤x<2.5,再估计月均用水量的中位数.【详解】(Ⅰ)由频率分布直方图,可知:月均用水量在[0,0.5)的频率为0.08×0.5=0.04. 同理,在[0.5,1),[1.5,2),[2,2.5),[3,3.5),[3.5,4),[4,4.5)等组的频率分别为0.08,0.21,0.25,0.06,0.04,0.02.由1–(0.04+0.08+0.21+0.25+0.06+0.04+0.02)=0.5×a+0.5×a , 解得a=0.30.(Ⅱ)由(Ⅰ)100位居民月均用水量不低于3吨的频率为0.06+0.04+0.02=0.12. 由以上样本的频率分布,可以估计30万居民中月均用水量不低于3吨的人数为300 000×0.12=36000.(Ⅲ)设中位数为x 吨.因为前5组的频率之和为0.04+0.08+0.15+0.21+0.25=0.73>0.5,而前4组的频率之和为0.04+0.08+0.15+0.21=0.48<0.5所以2≤x<2.5.由0.50×(x –2)=0.5–0.48,解得x=2.04.故可估计居民月均用水量的中位数为2.04吨.【考点】频率分布直方图【名师点睛】本题主要考查频率分布直方图、频率、频数的计算公式等基础知识,考查学生的分析问题、解决问题的能力.在频率分布直方图中,第n 个小矩形的面积就是相应组的频率,所有小矩形的面积之和为1,这是解题的关键,也是识图的基础.23.(1)证明见解析;(2)69 【解析】【分析】(1)证明1AA CD ⊥,CD AD ⊥,推出CD ⊥平面11AA D D ,得到CD AE ⊥,证明AE ED ⊥,即可证明AE ⊥平面ECD ;(2)建立坐标系,求出平面的法向量,利用空间向量的数量积求解直线1A C 与平面EAC所成角的正弦值.【详解】(1)证明:∵四棱柱1111ABCD A B C D -是直四棱柱,∴1AA ⊥平面ABCD ,而CD ⊂平面ABCD ,则1AA CD ⊥,又CD AD ⊥,1AA AD A =I ,∴CD ⊥平面11AA D D ,因为平面11AA D D ,∴CD AE ⊥,∵1AA AD ⊥,1AA AD =,∴11AA D D 是正方形,∴AE ED ⊥,又CD ED D =I ,∴AE ⊥平面ECD .(2)解:建立如图所示的坐标系,1A D 与1AD 交于点E ,124AA AD AB ===,则()()()()10,0,0,0,0,4,2,4,0,0,4,0A A C D ,∴()0,2,2E ,∴()()()12,4,4,2,4,0,0,2,2A C AC AE =-==u u u u r u u u r u u u r ,设平面EAC 的法向量为(),,n x y z =r ,则·0·0n AC n AE ⎧=⎨=⎩u u u v v u u u v v ,即240220x y y z +=⎧⎨+=⎩, 不妨取()2,1,1n =--r ,则直线1A C 与平面EAC 所成角的正弦值为444663666n AC n AC-+-==r u u u r g r u u u r g . 【点睛】本题主要考查直线与平面所成角的求法,考查直线与平面垂直的判断和性质,考查推理能力与计算能力,属于中档题.24.(Ⅰ)证明见解析;(Ⅱ)333+. 【解析】【分析】【详解】试题分析:(Ⅰ)因为PH 是四棱锥P-ABCD 的高.所以AC ⊥PH,又AC ⊥BD,PH,BD 都在平面PHD 内,且PH I BD=H.所以AC ⊥平面PBD.故平面PAC ⊥平面PBD.(Ⅱ)因为ABCD 为等腰梯形,AB P CD,AC ⊥BD,AB=6. 所以HA=HB=3.因为∠APB=∠ADR=600所以PA=PB=6,HD=HC=1.可得PH=3.等腰梯形ABCD 的面积为S=12AC x BD = 2+3. 所以四棱锥的体积为V=13x (2+3)x 3=323+ 考点:本题主要考查立体几何中的垂直关系,体积的计算. 点评:中档题,立体几何题,是高考必考内容,往往涉及垂直关系、平行关系、角、距离、体积的计算.在计算问题中,有“几何法”和“向量法”.利用几何法,要遵循“一作、二证、三计算”的步骤,利用向量则能简化证明过程.本题(I )较为简单,(II )则体现了“一作、二证、三计算”的解题步骤.25.(Ⅰ)B=4π(Ⅱ)21+ 【解析】【分析】【详解】(1)∵a=bcosC+csinB∴由正弦定理知sinA=sinBcosC+sinCsinB ①在三角形ABC 中,A=-(B+C)∴sinA=sin(B+C)=sinBcosC+cosBsinC ②由①和②得sinBsinC=cosBsinC而C ∈(0,),∴sinC≠0,∴sinB=cosB又B(0,),∴B=(2) S △ABC 12=ac sin B 2=, 由已知及余弦定理得:4=a 2+c 2﹣2ac cos4π≥2ac ﹣2ac 2 整理得:ac 22≤-,当且仅当a =c 时,等号成立,则△ABC面积的最大值为1122=(2=1. 26.(1)l 的普通方程210ax y a +--=;C 的直角坐标方程是22220x y x y +--=;(2)3± 【解析】【分析】(1)把直线l 的标准参数方程中的t 消掉即可得到直线l 的普通方程,由曲线C 的极坐标方程为ρ=(θ4π+),展开得22ρ=(ρsinθ+ρcosθ),利用x cos y sin ρθρθ=⎧⎨=⎩即可得出曲线C 的直角坐标方程; (2)先求得圆心C 到直线AB 的距离为d ,再用垂径定理即可求解.【详解】(1)由直线l 的参数方程为21x t y at=+⎧⎨=-⎩,所以普通方程为210ax y a +--= 由曲线C的极坐标方程是4πρθ⎛⎫=+ ⎪⎝⎭,所以22sin 2cos 4πρθρθρθ⎛⎫=+=+ ⎪⎝⎭, 所以曲线C 的直角坐标方程是22220x y x y +--=(2)设AB 的中点为M ,圆心C 到直线AB 的距离为d,则MA =, 圆()()22:112C x y -+-=,则r =()1,1C ,12d MC ====,由点到直线距离公式,12d ===解得3a =±,所以实数a的值为3±. 【点睛】 本题考查了极坐标方程化为直角坐标方程、直线参数方程化为普通方程,考查了点到直线的距离公式,圆中垂径定理,考查了推理能力与计算能力,属于中档题.。