广东省各市2015年高考二模数学理试题分类汇编.平面向量
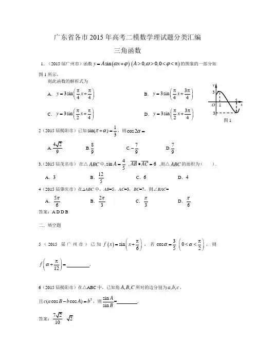
2015年广东省中山市高考数学二模试卷(理科)(解析版)

2015年广东省中山市高考数学二模试卷(理科)一、选择题:本大题共8小题,每小题5分,满分40分.1.(5分)设随机变量ξ服从正态分布N(3,4),若P(ξ<2a﹣3)=P(ξ>a+2),则a=()A.3B.C.5D.2.(5分)在△ABC中,已知b=4,c=2,∠A=120°,则a=()A.2B.6C.2 或6D.23.(5分)设a>1>b>0,则下列不等式中正确的是()A.(﹣a)7<(﹣a)9B.b﹣9<b﹣7C.lg>lg D.>4.(5分)设抛物线的顶点在原点,准线方程为x=﹣2,则抛物线的方程是()A.y2=﹣8x B.y2=8x C.y2=﹣4x D.y2=4x5.(5分)设m,n是两条不同的直线,α,β是两个不同的平面,则下列命题中正确的是()A.若m∥α,n⊥β且α⊥β,则m⊥n B.若m⊥α,n⊥β且m⊥n,则α⊥βC.若α⊥β,m∥n且n⊥β,则m∥αD.若m⊂α,n⊂β且m∥n,则α∥β6.(5分)已知某锥体的三视图(单位:cm)如图所示,则该锥体的体积为()A.2cm3B.4cm3C.6cm3D.8cm37.(5分)(x2﹣1)(﹣2)5的展开式的常数项是()A.48B.﹣48C.112D.﹣1128.(5分)袋子里有3颗白球,4颗黑球,5颗红球.由甲、乙、丙三人依次各抽取一个球,抽取后不放回.若每颗球被抽到的机会均等,则甲、乙、丙三人所得之球颜色互异的概率是()A.B.C.D.二.填空题:本大题共5小题,每小题5分,满分25分.(一)必做题:第9、10、11、12、13题为必做题,每道试题考生都必须作答.9.(5分)已知复数z满足=i(其中i是虚数单位),则|z|=.10.(5分)设z=2x+5y,其中实数x,y满足6≤x+y≤8且﹣2≤x﹣y≤0,则z的取值范围是.11.(5分)已知抛物线x2=3y上两点A,B的横坐标恰是方程x2+5x+1=0的两个实根,则直线AB的方程是.12.(5分)口袋中装有大小质地都相同、编号为1,2,3,4,5,6的球各一只.现从中一次性随机地取出两个球,设取出的两球中较小的编号为X,则随机变量X的数学期望是.13.(5分)在△ABC中,∠C=90°,点M满足=3,则sin∠BAM的最大值是.(二)选做题:第14、15题为选做题,考生只能选做一题.【坐标系与参数方程选做题】14.(5分)(坐标系与参数方程选做题)若直线l的极坐标方程为,曲线C:ρ=1上的点到直线l的距离为d,则d的最大值为.【几何证明选讲选做题】15.(几何证明选做题)如图圆O的直径AB=6,P是AB的延长线上一点,过点P作圆O的切线,切点为C,连接AC,若∠CP A=30°,则PC=.三、解答题:本大题共6小题,共72分.解答应写出文字说明、证明过程或演算步骤.16.(13分)在△ABC中,内角A,B,C的对边分别为a,b,c,且2a sin B=5c,cos B=.(Ⅰ)求角A的大小;(Ⅱ)设BC边的中点为D,|AD|=,求△ABC的面积.17.(12分)在某校高三学生的数学校本课程选课过程中,规定每位同学只能选一个科目.已知某班第一小组与第二小组各有六位同学选择科目甲或科目乙,情况如下表:现从第一小组、第二小组中各任选2人分析选课情况.(1)求选出的4 人均选科目乙的概率;(2)设ξ为选出的4个人中选科目甲的人数,求ξ的分布列和数学期望.18.(14分)如图所示,P A⊥平面ABCD,△CAB为等边三角形,P A=AB,AC⊥CD,M为AC中点.(Ⅰ)证明:BM∥平面PCD;(Ⅱ)若PD与平面P AC所成角的正切值为,求二面角C﹣PD﹣M的正切值.19.(14分)设等差数列{a n}的前n项和为S n,且a2=8,S4=40.数列{b n}的前n项和为T n,且T n﹣2b n+3=0,n∈N*.(Ⅰ)求数列{a n},{b n}的通项公式;(Ⅱ)设c n=,求数列{c n}的前n项和P n.20.(13分)已知椭圆Γ:+=1(a>b>0)的离心率为,其右焦点F与椭圆Γ的左顶点的距离是3.两条直线l1,l2交于点F,其斜率k1,k2满足k1k2=﹣.设l1交椭圆Γ于A、C两点,l2交椭圆Γ于B、D两点.(Ⅰ)求椭圆Γ的方程;(Ⅱ)写出线段AC的长|AC|关于k1的函数表达式,并求四边形ABCD面积S的最大值.21.(14分)已知函数f(x)=lnx+(x﹣a)2,a∈R.(1)若a=0,求函数f(x)在[1,e]上的最小值;(2)若函数f(x)在上存在单调递增区间,试求实数a的取值范围.2015年广东省中山市高考数学二模试卷(理科)参考答案与试题解析一、选择题:本大题共8小题,每小题5分,满分40分.1.(5分)设随机变量ξ服从正态分布N(3,4),若P(ξ<2a﹣3)=P(ξ>a+2),则a=()A.3B.C.5D.【解答】解:∵随机变量ξ服从正态分布N(3,4),∵P(ξ<2a﹣3)=P(ξ>a+2),∴2a﹣3与a+2关于x=3对称,∴2a﹣3+a+2=6,∴3a=7,∴a=,故选:D.2.(5分)在△ABC中,已知b=4,c=2,∠A=120°,则a=()A.2B.6C.2 或6D.2【解答】解:△ABC中,已知b=4,c=2,∠A=120°,由余弦定理可得a2=b2+c2﹣2bc •cos A=16+4+8=28,∴a=2,故选:D.3.(5分)设a>1>b>0,则下列不等式中正确的是()A.(﹣a)7<(﹣a)9B.b﹣9<b﹣7C.lg>lg D.>【解答】解:对于A,a>1时,a7<a9,∴﹣a7>﹣a9,即(﹣a)7>(﹣a)9,∴A错误;对于B,1>b>0时,0<b9<b7<1,∴b﹣9>b﹣7,∴B错误;对于C,a>1>b>0时,0<<1<,∴lg<lg,∴C错误;对于D,a>1>b>0时,lna>0,lnb<0,∴>,∴D正确.故选:D.4.(5分)设抛物线的顶点在原点,准线方程为x=﹣2,则抛物线的方程是()A.y2=﹣8x B.y2=8x C.y2=﹣4x D.y2=4x【解答】解:∵准线方程为x=﹣2∴=2∴p=4∴抛物线的方程为y2=8x故选:B.5.(5分)设m,n是两条不同的直线,α,β是两个不同的平面,则下列命题中正确的是()A.若m∥α,n⊥β且α⊥β,则m⊥n B.若m⊥α,n⊥β且m⊥n,则α⊥βC.若α⊥β,m∥n且n⊥β,则m∥αD.若m⊂α,n⊂β且m∥n,则α∥β【解答】解:若m∥α,n⊥β且α⊥β,则m与n相交、平行或异面,故A错误;若m⊥α,n⊥β且m⊥n,则由平面与平面垂直的判定定理知α⊥β,故B正确;若α⊥β,m∥n且n⊥β,则m∥α或m⊂α,故C错误;若m⊂α,n⊂β且m∥n,则α与β相交或平行,故D错误.故选:B.6.(5分)已知某锥体的三视图(单位:cm)如图所示,则该锥体的体积为()A.2cm3B.4cm3C.6cm3D.8cm3【解答】解:由三视图知:几何体为四棱锥,如图:其中SA⊥平面ABCD,SA=2,四边形ABCD为直角梯形,AD=1,BC=2,AB=2,∴四棱锥的体积V=××2×2=2(cm3).故选:A.7.(5分)(x2﹣1)(﹣2)5的展开式的常数项是()A.48B.﹣48C.112D.﹣112【解答】解:第一个因式取x2,第二个因式取,可得=﹣80;第一个因式取﹣1,第二个因式取(﹣2)5,可得(﹣1)×(﹣2)5=32∴(x2﹣1)(﹣2)5的展开式的常数项是﹣80+32=﹣48.故选:B.8.(5分)袋子里有3颗白球,4颗黑球,5颗红球.由甲、乙、丙三人依次各抽取一个球,抽取后不放回.若每颗球被抽到的机会均等,则甲、乙、丙三人所得之球颜色互异的概率是()A.B.C.D.【解答】解:∵袋子里有3颗白球,4颗黑球,5颗红球,共12颗,故甲、乙、丙三人依次各抽取一个球,抽取后不放回共有=220种不同情况;其中甲、乙、丙三人所得之球颜色互异的情况有:3×4×5=60种,故甲、乙、丙三人所得之球颜色互异的概率P==,故选:D.二.填空题:本大题共5小题,每小题5分,满分25分.(一)必做题:第9、10、11、12、13题为必做题,每道试题考生都必须作答.9.(5分)已知复数z满足=i(其中i是虚数单位),则|z|=2.【解答】解:由=i,得(1﹣i)z=﹣2﹣2i,∴,∴|z|=.故答案为:2.10.(5分)设z=2x+5y,其中实数x,y满足6≤x+y≤8且﹣2≤x﹣y≤0,则z的取值范围是[21,31].【解答】解:作出不等式组对应的平面区域如图:由z=2x+5y,得y=x+表示,平移直线y=x+,当直线y=x+经过点A时,直线y=x+的截距最大,此时z最大,由得,即A(3,5),此时z max=2×3+5×5=31.当直线y=x+经过点C时,直线y=x+的截距最小,此时z最下,由得,即C(3,3),此时z min=2×3+5×3=21.即z的取值范围是[21,31]故答案为:[21,31]11.(5分)已知抛物线x2=3y上两点A,B的横坐标恰是方程x2+5x+1=0的两个实根,则直线AB的方程是5x+3y+1=0.【解答】解:设A(x1,y1),B(x2,y2),则把A的坐标代入抛物线解析式和已知的方程得:x12=3y1①,x12+5x1+1=0②,①﹣②整理得:5x1+3y1+1=0③;同理把B的坐标代入抛物线解析式和已知的方程,化简可得:5x2+3y2+1=0④,③④表示经过A和B的方程,所以直线AB的方程是:5x+3y+1=0.故答案为:5x+3y+1=0.12.(5分)口袋中装有大小质地都相同、编号为1,2,3,4,5,6的球各一只.现从中一次性随机地取出两个球,设取出的两球中较小的编号为X,则随机变量X的数学期望是.【解答】解:由题设知X的可能取值为1,2,3,4,5.随机地取出两个球,共有:=15种,∴P(X=1)=,P(X=2)=,P(X=3)=,P(X=4)=,P(X=5)=,∴随机变量X的分布列为故EX=1×+2×+3×+4×+5×=.故答案为:.13.(5分)在△ABC中,∠C=90°,点M满足=3,则sin∠BAM的最大值是.【解答】解:以CB,CA为x,y轴建立坐标系,设B(4a,0),A(0,b),∵=3,∴M(a,0),∴=(a,﹣b)•(4a,﹣b)=4a2+b2,∵,∴cos∠BAM===∴cos∠BAM最小值为,∵sin2∠BAM+cos2∠BAM=1,sin∠BAM≥0,∴sin∠BAM的最大值是为.(二)选做题:第14、15题为选做题,考生只能选做一题.【坐标系与参数方程选做题】14.(5分)(坐标系与参数方程选做题)若直线l的极坐标方程为,曲线C:ρ=1上的点到直线l的距离为d,则d的最大值为.【解答】解:直线的直角坐标方程为x+y﹣6=0,曲线C的方程为x2+y2=1,为圆;d的最大值为圆心到直线的距离加半径,即为故答案为:.【几何证明选讲选做题】15.(几何证明选做题)如图圆O的直径AB=6,P是AB的延长线上一点,过点P作圆O的切线,切点为C,连接AC,若∠CP A=30°,则PC=3.【解答】解:连接OC,∵PC是⊙O的切线,∴OC⊥PC,又∵∠CP A=30°,R=3,∴,∴.故答案为.三、解答题:本大题共6小题,共72分.解答应写出文字说明、证明过程或演算步骤.16.(13分)在△ABC中,内角A,B,C的对边分别为a,b,c,且2a sin B=5c,cos B =.(Ⅰ)求角A的大小;(Ⅱ)设BC边的中点为D,|AD|=,求△ABC的面积.【解答】解:(I)在△ABC中,∵,∴,∵,∴2•a•=5c∴3a=7c,∵,∴3sin A=7sin C,∴3sin A=7sin(A+B),∴3sin A=7sin A cos B+7cos A sin B,即3sin A=7•sin A•+7cos A∴﹣sin A=cos A,∴,即.(Ⅱ)∵,又3a=7c,∴BD==,∴,∴c=3,则a=7,∴.17.(12分)在某校高三学生的数学校本课程选课过程中,规定每位同学只能选一个科目.已知某班第一小组与第二小组各有六位同学选择科目甲或科目乙,情况如下表:现从第一小组、第二小组中各任选2人分析选课情况.(1)求选出的4 人均选科目乙的概率;(2)设ξ为选出的4个人中选科目甲的人数,求ξ的分布列和数学期望.【解答】解:(1)设“从第一小组选出的2人选科目乙”为事件A,“从第二小组选出的2人选科目乙”为事件B,由于事件A、B相互独立,且P(A)=,P(B)=,所以选出的4人均选科目乙的概率为:P(A•B)=P(A)•P(B)=;(2)ξ可能的取值为0,1,2,3,则P(ξ=0)=,P(ξ=1)=+=,P(ξ=3)==,P(ξ=2)=1﹣P(ξ=0)﹣P(ξ=1)﹣P(ξ=3)=,ξ的分布列为:所以ξ的数学期望为:0×+1×+2×+3×=1.18.(14分)如图所示,P A⊥平面ABCD,△CAB为等边三角形,P A=AB,AC⊥CD,M为AC中点.(Ⅰ)证明:BM∥平面PCD;(Ⅱ)若PD与平面P AC所成角的正切值为,求二面角C﹣PD﹣M的正切值.【解答】(Ⅰ)证明:因为M为等边△ABC的AC边的中点,所以BM⊥AC.依题意CD⊥AC,且A、B、C、D四点共面,所以BM∥CD.…3分又因为BM⊄平面PCD,CD⊂平面PCD,所以BM∥平面PCD.…5分(Ⅱ)解:因为CD⊥AC,CD⊥P A,所以CD⊥平面P AC,故PD与平面P AC所成的角即为∠CPD.…7分不妨设P A=AB=1,则PC=.由于tan,所以CD=.…9分(方法一)在等腰Rt△P AC中,过点M作ME⊥PC于点E,再在Rt△PCD中作EF⊥PD于点F(图1所示).因为ME⊥PC,ME⊥CD,所以ME⊥平面PCD,可得ME⊥PD.又EF⊥PD,所以∠EFM即为二面角C﹣PD﹣M的平面角.…12分由题意知PE=3EC,ME=,EF==,所以tan∠EFM==,即二面角C﹣PD﹣M的正切值是.…15分(方法二)以A点为坐标原点,AC为x轴,建立如图2所示的空间直角坐标系A﹣xyz.则P(0,0,1),M(,0,0),C(1,0,0),D(1,,0).则,,.若设=(x1,y1,z1)和=(x2,y2,z2)分别是平面PCD和平面PMD的法向量,则,可取.同理,得=(2,﹣,1).…12分所以cos<>==,故二面角C﹣PD﹣M的余弦值是,其正切值是.…15分19.(14分)设等差数列{a n}的前n项和为S n,且a2=8,S4=40.数列{b n}的前n项和为T n,且T n﹣2b n+3=0,n∈N*.(Ⅰ)求数列{a n},{b n}的通项公式;(Ⅱ)设c n=,求数列{c n}的前n项和P n.【解答】解:(Ⅰ)设等差数列{a n}的公差为d,由题意,得,解得,∴a n=4n,∵T n﹣2b n+3=0,∴当n=1时,b1=3,当n≥2时,T n﹣1﹣2b n﹣1+3=0,两式相减,得b n=2b n﹣1,(n≥2)则数列{b n}为等比数列,∴;(Ⅱ).当n为偶数时,P n=(a1+a3+…+a n﹣1)+(b2+b4+…+b n)=.当n为奇数时,n=1时,P1=c1=a1=4,(法一)n﹣1为偶数,P n=P n﹣1+c n=2(n﹣1)+1+(n﹣1)2﹣2+4n=2n+n2+2n﹣1,(法二)P n=(a1+a3+…+a n﹣2+a n)+(b2+b4+…+b n﹣1)=.∴.20.(13分)已知椭圆Γ:+=1(a>b>0)的离心率为,其右焦点F与椭圆Γ的左顶点的距离是3.两条直线l1,l2交于点F,其斜率k1,k2满足k1k2=﹣.设l1交椭圆Γ于A、C两点,l2交椭圆Γ于B、D两点.(Ⅰ)求椭圆Γ的方程;(Ⅱ)写出线段AC的长|AC|关于k1的函数表达式,并求四边形ABCD面积S的最大值.【解答】(本题满分15分)解:(Ⅰ)设右焦点F(c,0)(其中),依题意,a+c=3,解得a=2,c=1.…(3分)∴,∴椭圆Γ的方程是.…(5分)(Ⅱ)由(Ⅰ)知,F(1,0).将通过焦点F的直线方程y=k(x﹣1)代入椭圆Γ的方程,得(3+4k2)x2﹣8k2x+(4k2﹣12)=0,其判别式△=(8k2)2﹣16(k2﹣3)(3+4k2)=144(k2+1).特别地,对于直线l1,若设A(x1,y1),C(x2,y2),则=,k1∈R且k1≠0.…(10分)又设B(x3,y3),D(x4,y4),由于B、D位于直线l1的异侧,∴k1(x3﹣1)﹣y3与k1(x4﹣1)﹣y4异号.∴B、D到直线l1的距离之和:==.…(12分)综合可得,四边形ABCD的面积:.∵,∴,∴,当时,f(t)单调递减,∴当,即时,四边形ABCD的面积取得最大值.…(15分)21.(14分)已知函数f(x)=lnx+(x﹣a)2,a∈R.(1)若a=0,求函数f(x)在[1,e]上的最小值;(2)若函数f(x)在上存在单调递增区间,试求实数a的取值范围.【解答】解:(1)定义域为(0,+∞),∵,…(3分),∴f(x)在[1,e]上单调递增,…(5分)∴当x=1时,f(x)min=f(1)=1…(7分)(2),…(9分)由题可知,在区间上存在子区间使不等式2x2﹣2ax+1>0成立使成立又x>0,∴在上有解…(11分)令,则只需2a小于g(x)在上的最大值由知,∴g(x)在上单调递增,在上单调递减,…(13分)∴又,故,即…(15分)。
【2015广东高考模拟 理科数学】广东省各地2015届高三一模二模试题汇总 12份

图17432109878试卷类型:A2015年广州市普通高中毕业班综合测试(一)2015广州一模 数学(理科)2015.3 本试卷共4页,21小题, 满分150分.考试用时120分钟. 注意事项:1.答卷前,考生务必用2B 铅笔在“考生号”处填涂考生号。
用黑色字迹钢笔或签字笔将自己所在的市、县/区、学校以及自己的姓名和考生号、试室号、座位号填写在答题卡上。
用2B 铅笔将试卷类型(A )填涂在答题卡相应位置上。
2.选择题每小题选出答案后,用2B 铅笔把答题卡上对应题目选项的答案信息点涂黑;如需改动,用橡皮擦干净后,再选涂其他答案,答案不能答在试卷上。
3.非选择题必须用黑色字迹的钢笔或签字笔作答,答案必须写在答题卡各题目指定区域内的相应位置上;如需改动,先划掉原来的答案,然后再写上新的答案;不准使用铅笔和涂改液。
不按以上要求作答的答案无效。
4.作答选做题时,请先用2B 铅笔填涂选做题题号对应的信息点,再作答。
漏涂、错涂、多涂的,答案无效。
5.考生必须保持答题卡的整洁。
考试结束后,将试卷和答题卡一并交回。
参考公式:锥体的体积公式Sh V 31=,其中S 是锥体的底面积,h 是锥体的高. ()()22221211236n n n n ++++++=()*n ∈N . 一、选择题:本大题共8小题,每小题5分,满分40分.在每小题给出的四个选项中,只有一项是符合题目要求的. 1. 已知全集{}1,2,3,4,5U =, 集合{}3,4,5M =, {}1,2,5N =, 则集合{}1,2可以表示为 A .M N B .()U M N ð C .()U MN ð D .()()U U M N 痧2.已知向量()3,4a =,若5λ=a ,则实数λ的值为A .15 B .1 C .15± D .1± 3. 若某市8所中学参加中学生合唱比赛的得分用茎叶图表示(如图1),其中茎为十位数,叶为个位数,则这组数据的中位数和平均数分别是 A. 91, 91.5 B. 91, 92 C. 91.5, 91.5 D. 91.5, 924. 直线10x ay ++=与圆()2214x y +-=的位置关系是22222222侧视图正视图222222A. 相交B. 相切C. 相离D. 不能确定5. 若直线3y x =上存在点(),x y 满足约束条件40,280,,x y x y x m ++>⎧⎪-+≥⎨⎪≤⎩则实数m 的取值范围是A. ()1,-+∞B. [)1,-+∞C. (),1-∞-D. (],1-∞- 6. 已知某锥体的正视图和侧视图如图2,其体积为233,则该锥体的俯视图可以是图2A. B. C. D. 7. 已知a 为实数,则1a ≥是关于x 的绝对值不等式1x x a +-≤有解的 A. 充分不必要条件 B. 必要不充分条件 C. 充要条件 D. 既不充分也不必要条件 8. 已知i 是虚数单位,C 是全体复数构成的集合,若映射:f C →R 满足: 对任意12,z z C ∈,以及任意λ∈R , 都有()()()()()121211f z z f z f z λλλλ+-=+-, 则称映射f 具有性质P . 给出如下映射:① 1:f C →R , ()1f z x y =-, z x y =+i (,x y ∈R );② 2:f C →R , ()22f z x y =-, z x y =+i (,x y ∈R );③ 3:f C →R , ()32f z x y =+, z x y =+i (,x y ∈R );其中, 具有性质P 的映射的序号为 A. ① ② B. ① ③ C. ② ③ D. ① ② ③二、填空题:本大题共7小题,考生作答6小题,每小题5分,满分30分. (一)必做题(9~13题)9. 已知tan 2α=,则tan 2α的值为 .10. 已知e 为自然对数的底数,若曲线y x =e x在点()1,e 处的切线斜率为 .图3OADE C B 11. 已知随机变量X 服从正态分布()2,1N . 若()130.6826P X ≤≤=,则()3P X > 等于 .12. 已知幂函数()223(mm f x xm --+=∈Z )为偶函数,且在区间()0,+∞上是单调增函数,则()2f 的值为 .13.已知,n k ∈N *,且k n ≤,k C k n n =C 11k n --,则可推出C 12n +C 23n +C 3n k ++C k n n ++C (n n n =C 01n -+C 11n -++C 11k n --++C 11)n n --12n n -=⋅, 由此,可推出C 122n +C 223n +C 32n k ++C 2k n n ++C n n = .(二)选做题(14~15题,考生只能从中选做一题) 14. (坐标系与参数方程选做题)在直角坐标系xOy 中,曲线1C 和2C 的参数方程分别为cos sin ,(cos sin x y θθθθθ=+⎧⎨=-⎩为参数)和2,(x t t y t =-⎧⎨=⎩为参数).以原点O 为极点,x 轴正半轴为极轴,建立极坐标系,则曲线1C 与2C 的交点的极坐标...为 . 15. (几何证明选讲选做题)如图3,BC 是圆O 的一条弦,延长BC 至点E , 使得22BC CE ==,过E 作圆O 的切线,A 为切点,BAC ∠的平分线AD 交BC 于点D , 则DE 的长为 .三、解答题:本大题共6小题,满分80分.解答须写出文字说明、证明过程和演算步骤. 16.(本小题满分12分)已知函数()()sin 0,06f x A x A πωω⎛⎫=+>> ⎪⎝⎭的图象在y 轴右侧的第一个最高点和第一个最低点的坐标分别为()02x ,和022x ,π⎛⎫+- ⎪⎝⎭. (1)求函数()f x 的解析式; (2)求0sin 4x π⎛⎫+ ⎪⎝⎭的值.图4OF ED C B A 图5FE PODB A17. (本小题满分12分)袋子中装有大小相同的白球和红球共7个,从袋子中任取2个球都是白球的概率为17,每个球被取到的机会均等. 现从袋子中每次取1个球,如果取出的是白球则不再放回,设在取得红球之前已取出的白球个数为X . (1)求袋子中白球的个数; (2)求X 的分布列和数学期望.18. (本小题满分14分)如图4,在边长为4的菱形ABCD 中,60DAB ︒∠=,点E ,F 分别是边CD ,CB 的 中点,ACEF O =,沿EF 将△CEF 翻折到△PEF ,连接PA,PB,PD ,得到如图5的五棱锥P ABFED -,且10PB =.(1)求证:BD ⊥平面POA ;(2)求二面角--B AP O 的正切值.19. (本小题满分14分)已知数列{}n a 的各项均为正数,其前n 项和为n S ,且满足111,21n n a a S +==+,n ∈N *.(1)求2a 的值;(2)求数列{}n a 的通项公式;(3)是否存在正整数k , 使k a , 21k S -, 4k a 成等比数列? 若存在, 求k 的值; 若不存在, 请说明理由.20. (本小题满分14分)已知椭圆1C 的中心在坐标原点,两焦点分别为双曲线222:12x C y -=的顶点,直线20+=x y 与椭圆1C 交于A ,B 两点,且点A 的坐标为(2,1)-,点P 是椭圆1C 上异于点A ,B 的任意一点,点Q 满足0AQ AP ⋅=,0BQ BP ⋅=,且A ,B ,Q 三点不共线.(1) 求椭圆1C 的方程; (2) 求点Q 的轨迹方程;(3) 求ABQ ∆面积的最大值及此时点Q 的坐标.21. (本小题满分14分) 已知函数()()2ln 12a f x x x x =++-()0a ≥. (1)若()0f x >对()0,x ∈+∞都成立,求a 的取值范围; (2)已知e 为自然对数的底数,证明:∀n ∈N *,e 22212111n n n n ⎛⎫⎛⎫⎛⎫<++⋅⋅⋅+ ⎪⎪ ⎪⎝⎭⎝⎭⎝⎭e <.2015年广州市普通高中毕业班综合测试(一)数学(理科)试题参考答案及评分标准说明:1.参考答案与评分标准给出了一种或几种解法供参考,如果考生的解法与参考答案不同,可根据试题主要考查的知识点和能力比照评分标准给以相应的分数.2.对解答题中的计算题,当考生的解答在某一步出现错误时,如果后继部分的解答未改变该题的内容和难度,可视影响的程度决定后继部分的得分,但所给分数不得超过该部分正确解答应得分数的一半;如果后继部分的解答有较严重的错误,就不再给分.3.解答右端所注分数,表示考生正确做到这一步应得的累加分数.4.只给整数分数,选择题和填空题不给中间分.一、选择题:本大题考查基本知识和基本运算.共8小题,每小题5分,满分40分.二、填空题:本大题考查基本知识和基本运算,体现选择性.共7小题,每小题5分,满分30分.其中14~15题是选做题,考生只能选做一题. 9. 43-10. 2e 11. 0.1587 12. 16 13. ()212n n n -+⋅ 14. 2,4π⎛⎫⎪⎝⎭15. 3说明: 第14题答案可以是2,2,4k k ππ⎛⎫+∈ ⎪⎝⎭Z . 三、解答题:本大题共6小题,满分80分.16.(本小题满分12分)(本小题主要考查三角函数的图象与性质、三角两角和公式等等知识,考查化归与转化的数学思想方法,以及运算求解能力)(1)解:由题意可得2,A =, …………………………1分00222T x x ππ⎛⎫=+-= ⎪⎝⎭, …………………………3分 ∴.T π= …………………………4分 由,2πωπ=得2=ω, …………………………5分题号 1 2 3 4 5 6 7 8 答案BDCAACBB∴()2sin 26f x x π⎛⎫=+ ⎪⎝⎭. …………………………6分(2)解: ∵ 点()0,2x 是函数()2sin 26f x x π⎛⎫=+ ⎪⎝⎭在y 轴右侧的第一个最高点, ∴ 0262x ππ+=. …………………………7分∴ 06x π=. …………………………8分 ∴0sin 4x π⎛⎫+⎪⎝⎭sin 64ππ⎛⎫=+ ⎪⎝⎭…………………………9分 sincoscossin6464ππππ=+ …………………………10分12322222=⨯+⨯…………………………11分 264+=. …………………………12分 17.(本小题满分12分)(本小题主要考查古典概型、解方程、随机变量的分布列与均值(数学期望)等知识,考查或然与必然的数学思想方法,以及数据处理能力、运算求解能力和应用意识)(1)解:设袋子中有n (n ∈N *)个白球,依题意得,22717n C C =,………………………1分即()1127672n n -=⨯, 化简得,260n n --=, …………………………2分解得,3n =或2n =-(舍去). …………………………3分 ∴袋子中有3个白球. …………………………4分 (2)解:由(1)得,袋子中有4个红球,3个白球. …………………………5分X 的可能取值为0,1,2,3, …………………………6分()407P X ==, ()3421767P X ==⨯=, ()3244276535P X ==⨯⨯=,()321413765435P X ==⨯⨯⨯=. ………………10分∴X 的分布列为: X 0 12 3GH F EPODBA…………………………11分∴4241301237735355EX =⨯+⨯+⨯+⨯=. …………………………12分 18.(本小题满分14分)(本小题主要考查空间线面关系、二面角、空间向量及坐标运算等知识,考查数形结合、化归与转化的数学思想方法,以及空间想象能力、推理论证能力和运算求解能力) (1)证明:∵点E ,F 分别是边CD ,CB 的中点,∴BD ∥EF . …………………………1分 ∵菱形ABCD 的对角线互相垂直,∴BD AC ⊥. ∴EF AC ⊥. ∴EF AO ⊥,EF PO ⊥. …………………………2分 ∵AO ⊂平面POA ,PO ⊂平面POA ,AO PO O =, ∴EF ⊥平面POA . …………………………3分∴BD ⊥平面POA . …………………………4分 (2)解法1:设AO BD H =,连接BO , ∵60DAB ︒∠=, ∴△ABD 为等边三角形.∴4BD =,2BH =,23HA =,3HO PO ==. ……5分 在R t △BHO 中,227BO BH HO =+=,在△PBO 中,22210+==BO PO PB ,∴PO BO ⊥. …………………………6分 ∵PO EF ⊥,EF BO O =,EF ⊂平面BFED ,BO ⊂平面BFED , ∴PO ⊥平面BFED . …………………………7分 过H 作⊥HG AP ,垂足为G ,连接BG ,由(1)知⊥BH 平面POA ,且⊂AP 平面POA , ∴⊥BH AP .∵=HG BH H ,⊂HG 平面BHG ,⊂BH 平面BHG ,∴⊥AP 平面BHG . …………………………8分 ∵⊂BG 平面BHG ,∴⊥AP BG . …………………………9分 ∴∠BGH 为二面角--B AP O 的平面角. …………………………10分 在Rt △POA 中,2230=+=AP AO PO ,在Rt △POA 和Rt △HGA 中,90,︒∠=∠=∠=∠POA HGA PAO HAG , ∴Rt △POA ~Rt △HGA . …………………………11分P 47 27 435 135z yxH F EPODBA∴=PO PAHG HA. ∴32330530⋅⨯===PO HA HG PA . …………………………12分 在Rt △BHG 中,230tan 3305∠===BH BGH HG . ……………………13分 ∴二面角--B AP O 的正切值为303. …………………………14分 解法2:设AOBD H =,连接BO ,∵60DAB ︒∠=, ∴△ABD 为等边三角形.∴4BD =,2BH =,23HA =,3HO PO ==.………………………5分 在R t △BHO 中,227BO BH HO =+=,在△PBO 中,22210+==BO PO PB ,∴PO BO ⊥. …………………………6分 ∵PO EF ⊥,EF BO O =,EF ⊂平面BFED ,BO ⊂平面BFED , ∴PO ⊥平面BFED . …………………………7分 以O 为原点,OF 所在直线为x 轴,AO 所在直线为y 轴,OP 所在直线为z 轴, 建立空间直角坐标系-O xyz ,则()0,33,0-A ,()2,3,0-B ,()0,0,3P ,()0,3,0-H .…………8分 ∴()0,33,3=AP ,()2,23,0=AB . 设平面PAB 的法向量为=n (),,x y z ,由⊥n AP ,⊥n AB ,得 3330,2230.⎧+=⎪⎨+=⎪⎩y z x y ……9分令1=y ,得3=-z ,3=-x .∴平面PAB 的一个法向量为=n ()3,1,3--. …………………………10分由(1)知平面PAO 的一个法向量为()2,0,0=-BH , ……………………11分设二面角--B AP O 的平面角为θ, 则cos θ=cos ,n BH⋅=n BH n BH233913132==⨯.………………………12分 ∴2130sin 1cos13θθ=-=,sin 30tan cos 3θθθ==.………………………13分 ∴二面角--B AP O 的正切值为303. …………………………14分 19.(本小题满分14分)(本小题主要考查等差数列、数列的前n 项和等知识,考查化归与转化的数学思想方法,以及运算求解能力和创新意识) (1)解:∵111,21n n a a S +==+,∴21121213a S a =+=+=. …………………………1分(2)解法1:由121n n a S +=+,得121n n n S S S +-=+, …………………………2分故()211n n S S +=+. …………………………3分∵0n a >,∴0n S >. ∴11n n S S +=+. …………………………4分∴数列{}nS 是首项为11S =,公差为1的等差数列.∴()11n S n n =+-=. …………………………5分 ∴2n S n =. …………………………6分当2n ≥时,()221121n n n a S S n n n -=-=--=-, …………………………8分又11a =适合上式,∴21n a n =-. …………………………9分解法2:由121n n a S +=+,得()2114n n a S +-=, …………………………2分 当2n ≥时,()2114n n a S --=, …………………………3分 ∴()()()22111144n n n n n a a S S a +----=-=. …………………………4分∴2211220n n n n a a a a ++---=.∴()()1120n n n n a a a a +++--=. …………………………5分 ∵ 0n a >,∴12n n a a +-=. …………………………6分 ∴数列{}n a 从第2项开始是以23a =为首项,公差为2的等差数列.……………7分 ∴()()322212n a n n n =+-=-≥. …………………………8分 ∵11a =适合上式,∴21n a n =-. …………………………9分 解法3:由已知及(1)得11a =,23a =,猜想21n a n =-. …………………………2分 下面用数学归纳法证明.① 当1n =,2时,由已知11211a ==⨯-,23a ==221⨯-,猜想成立. ………3分 ② 假设n k =()2k ≥时,猜想成立,即21k a k =-, …………………………4分 由已知121k k a S +=+,得()2114k k a S +-=, 故()2114k k a S --=.∴()()()22111144k k k k k a a S S a +----=-=. …………………………5分∴22211220k k k k a a a a ++---=.∴()()1120k kk k a a aa +++--=. …………………………6分∵10,0k k a a +>>,∴120k k a a +--=. …………………………7分 ∴()12212211k k a a k k +=+=-+=+-. …………………………8分 故当1n k =+时,猜想也成立.由①②知,猜想成立,即21n a n =-. …………………………9分(3)解:由(2)知21n a n =-, ()21212n n n S n +-==.假设存在正整数k , 使k a , 21k S -, 4k a 成等比数列,则2214k k k S a a -=⋅. …………………………10分即()()()4212181k k k -=-⋅-. …………………………11分 ∵ k 为正整数, ∴ 210k -≠. ∴ ()32181k k -=-.∴ 328126181k k k k -+-=-.化简得 32460k k k --=. …………………………12分 ∵ 0k ≠,∴ 24610k k --=.解得2664431384k ±+⨯±==, 与k 为正整数矛盾. ……………………13分 ∴ 不存在正整数k , 使k a , 21k S -, 4k a 成等比数列. …………………………14分20.(本小题满分14分)(本小题主要考查椭圆的方程、双曲线的方程、直线与圆锥曲线的位置关系等知识,考查数形结合、化归与转化、函数与方程的数学思想方法,以及推理论证能力和运算求解能力)(1)解法1: ∵ 双曲线222:12x C y -=的顶点为1(2,0)F -,2(2,0)F , …………1分 ∴ 椭圆1C 两焦点分别为1(2,0)F -,2(2,0)F .设椭圆1C 方程为12222=+by a x ()0a b >>,∵ 椭圆1C 过点A (2,1)-,∴ 1224a AF AF =+=,得2a =. ………………………2分 ∴ ()22222b a =-=. ………………………3分∴ 椭圆1C 的方程为 22142x y +=. ………………………4分 解法2: ∵ 双曲线222:12x C y -=的顶点为1(2,0)F -,2(2,0)F , ……………………1分∴ 椭圆1C 两焦点分别为1(2,0)F -,2(2,0)F .设椭圆1C 方程为12222=+by a x ()0a b >>,∵ 椭圆1C 过点A (2,1)-, ∴22211a b +=. ① ………………………2分 . ∵ 222a b =+, ② ………………………3分 由①②解得24a =, 22b =.∴ 椭圆1C 的方程为 22142x y +=. ………………………4分 (2)解法1:设点),(y x Q ,点),(11y x P ,由A (2,1)-及椭圆1C 关于原点对称可得B (2,1)-, ∴(2,1)AQ x y =+-,11(2,1)AP x y =+-,(2,1)BQ x y =-+,11(2,1)BP x y =-+.由 0AQ AP ⋅=, 得 11(2)(2)(1)(1)0x x y y +++--=, ……………………5分 即 11(2)(2)(1)(1)x x y y ++=---. ①同理, 由0BQ BP ⋅=, 得 11(2)(2)(1)(1)x x y y --=-++. ② ……………6分①⨯②得 222211(2)(2)(1)(1)x x y y --=--. ③ ………………………7分由于点P 在椭圆1C 上, 则2211142x y +=,得221142x y =-, 代入③式得 2222112(1)(2)(1)(1)y x y y ---=--.当2110y -≠时,有2225x y +=,当2110y -=,则点(2,1)P --或(2,1)P ,此时点Q 对应的坐标分别为(2,1)或(2,1)-- ,其坐标也满足方程2225x y +=. ………………………8分当点P 与点A 重合时,即点P (2,1)-,由②得 23y x =-,解方程组2225,23,x y y x ⎧+=⎪⎨=-⎪⎩ 得点Q 的坐标为()2,1-或2,22⎛⎫- ⎪ ⎪⎝⎭. 同理, 当点P 与点B 重合时,可得点Q 的坐标为()2,1-或2,22⎛⎫- ⎪ ⎪⎝⎭.∴点Q 的轨迹方程为 2225x y +=, 除去四个点()2,1-,2,22⎛⎫- ⎪ ⎪⎝⎭, ()2,1-, 2,22⎛⎫- ⎪ ⎪⎝⎭. ………………………9分 解法2:设点),(y x Q ,点),(11y x P ,由A (2,1)-及椭圆1C 关于原点对称可得B (2,1)-, ∵0AQ AP ⋅=,0BQ BP ⋅=, ∴AQ AP ⊥,BQ BP ⊥. ∴1111122y y x x --⨯=-++()12x ≠-,① ……………………5分1111122y y x x ++⨯=---()12x ≠. ② ……………………6分①⨯② 得 12222111122y y x x --⨯=--. (*) ………………………7分∵ 点P 在椭圆1C 上, ∴ 2211142x y +=,得221122x y =-, 代入(*)式得2212211112122x y x x --⨯=--,即2211122y x --⨯=-, 化简得 2225x y +=. 若点(2,1)P --或(2,1)P , 此时点Q 对应的坐标分别为(2,1)或(2,1)-- ,其坐标也满足方程2225x y +=. ………………………8分当点P 与点A 重合时,即点P (2,1)-,由②得 23y x =-,解方程组2225,23,x y y x ⎧+=⎪⎨=-⎪⎩ 得点Q 的坐标为()2,1-或2,22⎛⎫- ⎪ ⎪⎝⎭.同理, 当点P 与点B 重合时,可得点Q 的坐标为()2,1-或2,22⎛⎫- ⎪⎪⎝⎭. ∴点Q 的轨迹方程为 2225x y +=, 除去四个点()2,1-,2,22⎛⎫- ⎪ ⎪⎝⎭, ()2,1-,2,22⎛⎫- ⎪ ⎪⎝⎭. ………………………9分 (3) 解法1:点Q (),x y 到直线:AB 20x y +=的距离为23x y+.△ABQ 的面积为2221(22)(11)23x y S +=++--⋅………………………10分 2x y =+22222x y xy =++. ………………………11分而22222(2)()422y y xy x x =⨯⨯≤+(当且仅当22y x =时等号成立) ∴22222222522224522y S x y xy x y x x y =++≤+++=+522=. ……12分 当且仅当22yx =时, 等号成立. 由222,225,y x x y ⎧=⎪⎨⎪+=⎩解得2,22,x y ⎧=⎪⎨⎪=⎩或2,22.x y ⎧=-⎪⎨⎪=-⎩………………………13分 ∴△ABQ 的面积最大值为522, 此时,点Q 的坐标为2,22⎛⎫ ⎪ ⎪⎝⎭或2,22⎛⎫-- ⎪ ⎪⎝⎭.…14分 解法2:由于()()22221123AB =++--=,故当点Q 到直线AB 的距离最大时,△ABQ 的面积最大.………………………10分 设与直线AB 平行的直线为20x y m ++=,由2220,25,x y m x y ⎧++=⎪⎨+=⎪⎩消去x ,得22542250y my c ++-=, 由()223220250m m ∆=--=,解得522m =±. ………………………11分若522m =,则2y =-,22x =-;若522m =-,则2y =,22x =.…12分 故当点Q 的坐标为2,22⎛⎫ ⎪ ⎪⎝⎭或2,22⎛⎫-- ⎪ ⎪⎝⎭时,△ABQ 的面积最大,其值为()2222221522212S AB +⨯=⨯=+. ………………………14分 21.(本小题满分14分)(本小题主要考查函数的导数、不等式等知识,考查数形结合、化归与转化、分类与讨论的数学思想方法,以及运算求解能力、抽象概括能力与创新意识) (1)解:∵()()2ln 12a f x x x x =++-,其定义域为()1,-+∞, ∴()()11111x ax a f x ax x x+-'=+-=++. …………………………1分 ① 当0a =时,()1xf x x'=-+,当x ∈()0,+∞时,()0f x '<, 则()f x 在区间()0,+∞上单调递减,此时,()()00f x f <=,不符合题意. …2分 ② 当01a <<时,令()0f x '=,得10x =,210ax a-=>, 当x ∈10a ,a -⎛⎫ ⎪⎝⎭时,()0f x '<,则()f x 在区间10a ,a -⎛⎫⎪⎝⎭上单调递减,此时,()()00f x f <=,不符合题意. …………………………3分③ 当1a =时,()21x f x x'=+,当x ∈()0,+∞时,()0f x '>,则()f x 在区间()0,+∞上单调递增,此时,()()00f x f >=,符合题意. ……4分 ④ 当1a >时,令()0f x '=,得10x =,210ax a-=<,当x ∈()0,+∞时,()0f x '>, 则()f x 在区间()0,+∞上单调递增,此时,()()00f x f >=,符合题意. ……5分 综上所述,a 的取值范围为[)1,+∞. …………………………6分 (2)证明:由(1)可知,当0a =时,()0f x <对()0,x ∈+∞都成立,即()ln 1x x +<对()0,x ∈+∞都成立. …………………………7分∴2222221212ln 1ln 1ln 1n nn n n n nn⎛⎫⎛⎫⎛⎫++++++<+++⎪ ⎪ ⎪⎝⎭⎝⎭⎝⎭.………………8分 即ln 2222121211112n n n n n n n n ⎡⎤++++⎛⎫⎛⎫⎛⎫+++<= ⎪⎪ ⎪⎢⎥⎝⎭⎝⎭⎝⎭⎣⎦. 由于n ∈N *,则111111222221n n n +=+≤+=⨯. …………………………9分 ∴ln 222121111n n n n ⎡⎤⎛⎫⎛⎫⎛⎫+++< ⎪⎪ ⎪⎢⎥⎝⎭⎝⎭⎝⎭⎣⎦. ∴ 22212111n n n n ⎛⎫⎛⎫⎛⎫+++ ⎪⎪ ⎪⎝⎭⎝⎭⎝⎭e <. …………………………10分 由(1)可知,当1a =时,()0f x >对()0,x ∈+∞都成立, 即()21ln 12x x x -<+对()0,x ∈+∞都成立. …………………………11分 ∴2222224442221211212ln 1ln 1ln 12n n n n nn n nn n n n ⎛⎫⎛⎫⎛⎫⎛⎫⎛⎫+++-+++<++++++ ⎪ ⎪ ⎪ ⎪ ⎪⎝⎭⎝⎭⎝⎭⎝⎭⎝⎭.…………………………12分即()()()2422212111126ln 11122n n n n n n n n n n n ++⎡⎤⎢⎥+⎡⎤⎛⎫⎛⎫⎛⎫-<+++⎢⎥ ⎪⎪ ⎪⎢⎥⎝⎭⎝⎭⎝⎭⎣⎦⎢⎥⎢⎥⎣⎦. 得323222643112ln 11112n n n n n n n n +--⎡⎤⎛⎫⎛⎫⎛⎫<+++ ⎪⎪ ⎪⎢⎥⎝⎭⎝⎭⎝⎭⎣⎦由于n ∈N *,则()()32232333363316431611212122n n n n n n n n n n n +-+-+--=≥=. …………………………13分∴12<ln 22212111n n n n ⎡⎤⎛⎫⎛⎫⎛⎫+++ ⎪⎪ ⎪⎢⎥⎝⎭⎝⎭⎝⎭⎣⎦. ∴e 22212111n n n n ⎛⎫⎛⎫⎛⎫<+++ ⎪⎪⎪⎝⎭⎝⎭⎝⎭. …………………………14分 ∴e 22212111n n n n ⎛⎫⎛⎫⎛⎫<+++ ⎪⎪ ⎪⎝⎭⎝⎭⎝⎭e <.试卷类型:A2015年广州市普通高中毕业班综合测试(二)2015广州二模 数学(理科)2015.4参考公式:球的表面积公式24S R =π,其中R 是球的半径.一、选择题:本大题共8小题,每小题5分,满分40分.在每小题给出的四个选项中,只有一项是符合题目要求的. 1.命题“若2x =,则2320x x -+=”的逆否命题是A .若2x ≠,则2320x x -+≠B .若2320x x -+=,则2x =C .若2320x x -+≠,则2x ≠D .若2x ≠,则2320x x -+=2.已知0a b >>,则下列不等关系式中正确的是A .sin sin a b >B .22log log a b <C .1122a b <D .1133a b⎛⎫⎛⎫< ⎪ ⎪⎝⎭⎝⎭3.已知函数()4,0,1,0,x x f x x x x ⎧-≥⎪=⎨⎛⎫-<⎪ ⎪⎝⎭⎩则()2f f =⎡⎤⎣⎦ A .14 B .12C .2D .44.函数()sin y A x ωϕ=+()0,0,0A ωϕ>><<π的图象的一部分如图1所示, 则此函数的解析式为A .3sin y x ππ⎛⎫=+ ⎪44⎝⎭B .3sin y x π3π⎛⎫=+ ⎪44⎝⎭C .3sin y x ππ⎛⎫=+ ⎪24⎝⎭D .3sin y x π3π⎛⎫=+ ⎪24⎝⎭5.已知函数()223f x x x =-++,若在区间[]4,4-上任取一个实数0x ,则使()00f x ≥成立的概率为y xO 1 5 3 -3图1A .425B .12C .23D .16.如图2,圆锥的底面直径2AB =,母线长3VA =,点C 在母线VB 上,且1VC =, 有一只蚂蚁沿圆锥的侧面从点A 到达点C ,则这只蚂蚁爬行的最短距离是A .13B .7C .433 D .3327.已知两定点()1,0A -,()1,0B ,若直线l 上存在点M ,使得3MA MB +=,则称直线l 为“M 型直线”.给出下列直线:①2x =;②3y x =+;③21y x =--;④1y =;⑤23y x =+.其中是“M 型直线”的条数为A .1B .2C .3D .48.设(),P x y 是函数()y f x =的图象上一点,向量()()51,2x =-a ,()1,2y x =-b ,且//a b .数列{}n a是公差不为0的等差数列,且()()()12936f a f a f a ++⋅⋅⋅+=,则129a a a ++⋅⋅⋅+= A .0 B .9 C .18 D .36二、填空题:本大题共7小题,考生作答6小题,每小题5分,满分30分. (一)必做题(9~13题)9.已知i 为虚数单位,复数1i1iz -=+,则z = . 10.执行如图3所示的程序框图,则输出的z 的值是 .11.已知()sin 6f x x π⎛⎫=+⎪⎝⎭,若3cos 5α=02απ⎛⎫<< ⎪⎝⎭,则12f απ⎛⎫+= ⎪⎝⎭ .12.5名志愿者中安排4人在周六、周日两天参加社区公益活动.若每天安排2人,则不同的安排方案共有_________种(用数字作答). 13.在边长为1的正方形ABCD 中,以A 为起点,其余顶点为终点的向量分别为1a ,2a ,3a ;以C 为起点,其余顶点为终点的向量分别为1c ,2c ,3c .若m 为()()i j s t +∙+a a c c 的最小值,其中{}{},1,2,3i j ⊆,{}{},1,2,3s t ⊆,则m = .x=1, y=2z=xy是z<20? x =yy =z输出z结束否开始图3AV CB图2(二)选做题(14~15题,考生只能从中选做一题) 14.(几何证明选讲选做题)如图4,在平行四边形ABCD 中,4AB =,点E 为边DC 的中点, AE 与BC 的延长线交于点F ,且AE 平分BAD ∠,作DG AE ⊥,垂足为G ,若1DG =,则AF 的长为 . 15.(坐标系与参数方程选做题)在平面直角坐标系中,已知曲线1C 和2C 的方程分别为32,12x t y t=-⎧⎨=-⎩(t 为参数)和24,2x t y t=⎧⎨=⎩(t 为参数),则曲线1C 和2C 的交点有 个. 三、解答题:本大题共6小题,满分80分.解答须写出文字说明、证明过程和演算步骤. 16.(本小题满分12分)已知△ABC 的三边a ,b ,c 所对的角分别为A ,B ,C ,且::7:5:3a b c =. (1)求cos A 的值;(2)若△ABC 的面积为453,求△ABC 外接圆半径的大小. 17.(本小题满分12分)某市为了宣传环保知识,举办了一次“环保知识知多少”的问卷调查活动(一人答一份).现从回收的年龄在20~60岁的问卷中随机抽取了n 份,统计结果如下面的图表所示.组号年龄分组 答对全卷 的人数 答对全卷的人数 占本组的概率 1 [20,30) 28 b2 [30,40) 27 0.93 [40,50) 5 0.54 [50,60]a0.4(1)分别求出a ,b ,c ,n 的值; (2)从第3,4组答对全卷的人中用分层抽样的方法抽取6人,在所抽取的6人中随机抽取2人授予“环保之星”,记X 为第3组被授予“环保之星”的人数,求X 的分布列与数学期望.18.(本小题满分14分) 如图5,已知六棱柱111111ABCDEF A BC D E F -的侧棱 垂直于底面,侧棱长与底面边长都为3,M ,N 分别 是棱AB ,1AA 上的点,且1AM AN ==. (1)证明:M ,N ,1E ,D 四点共面;(2)求直线BC 与平面1MNE D 所成角的正弦值.BACDFG 图4年龄频率/组距20 30 40 50 60 0.010 c 0.0350.0250 C 1ABA 1B 1D 1 CDMNEFE 1F 119.(本小题满分14分)已知点(),n n nP a b ()n ∈*N 在直线l :31y x =+上,1P 是直线l 与y 轴的交点,数列{}n a 是公差为1的等差数列.(1)求数列{}n a ,{}n b 的通项公式; (2)求证:22212131111116n PP PP PP ++++<.20.(本小题满分14分)已知圆心在x 轴上的圆C 过点()0,0和()1,1-,圆D 的方程为()2244x y -+=.(1)求圆C 的方程;(2)由圆D 上的动点P 向圆C 作两条切线分别交y 轴于A ,B 两点,求AB 的取值范围.21.(本小题满分14分)已知函数()ln f x a x =-11x x -+,()e xg x =(其中e 为自然对数的底数). (1)若函数()f x 在区间()0,1内是增函数,求实数a 的取值范围;(2)当0b >时,函数()g x 的图象C 上有两点(),e b P b ,(),e bQ b --,过点P ,Q 作图象C 的切线分别记为1l ,2l ,设1l 与2l 的交点为()00,M x y ,证明00x >.2015年广州市普通高中毕业班综合测试(二)数学(理科)试题参考答案及评分标准说明:1.参考答案与评分标准给出了一种或几种解法供参考,如果考生的解法与参考答案不同,可根据试题主要考查的知识点和能力比照评分标准给以相应的分数.2.对解答题中的计算题,当考生的解答在某一步出现错误时,如果后继部分的解答未改变该题的内容和难度,可视影响的程度决定后继部分的得分,但所给分数不得超过该部分正确解答应得分数的一半;如果后继部分的解答有较严重的错误,就不再给分.3.解答右端所注分数,表示考生正确做到这一步应得的累加分数.4.只给整数分数,选择题和填空题不给中间分.一、选择题:本大题考查基本知识和基本运算.共8小题,每小题,满分40分.题号 1 2 3 4 5 6 7 8答案 C D A A B B C C二、填空题:本大题考查基本知识和基本运算,体现选择性.共7小题,每小题,满分30分.其中14~15题是选做题,考生只能选做一题.题号 9 10 1112 131415答案1327210305-43116.(本小题满分12分) 解:(1)因为::7:5:3a b c =,所以可设7a k =,5b k =,3c k =()0k >,……2分 由余弦定理得,222cos 2b c a A bc +-=()()()222537253k k k k k+-=⨯⨯……3分 12=-.…4分 (2)由(1)知,1cos 2A =-, 因为A 是△ABC 的内角, 所以2sin 1cos A A =-32=.……6分 由(1)知5b k =,3c k =, 因为△ABC 的面积为453,所以1sin 4532bc A =,……8分 即135345322k k ⨯⨯⨯=, 解得23k =.………10分由正弦定理2sin a R A =,即71432sin 32k R A ==,…………11分解得14R =.所以△ABC 外接圆半径的大小为14.12分 17.(本小题满分12分)解:(1)根据频率直方分布图,得()0.0100.0250.035101c +++⨯=,解得0.03c =.1分第3组人数为105.05=÷,所以1001.010=÷=n .…………2分 第1组人数为1000.3535⨯=,所以28350.8b =÷=.……3分 第4组人数为2525.0100=⨯,所以250.410a =⨯=.……4分 (2)因为第3,4组答对全卷的人的比为5:101:2=,所以第3,4组应依次抽取2人,4人.5分 依题意X 的取值为0,1,2.…………6分()022426C C 20C 5P X ===,…7分()112426C C 81C 15P X ===,8分()202426C C 12C 15P X ===,9分所以X 的分布列为:X 0 12P25 815115所以2812012515153EX =⨯+⨯+⨯=. …………12分 18.(本小题满分14分)第(1)问用几何法,第(2)问用向量法:(1)证明:连接1A B ,11B D ,BD ,11A E , 在四边形1111A B D E 中,1111A E B D 且1111=A E B D , 在四边形11BB D D 中,11BD B D 且11=BD B D ,所以11A E BD 且11=A E BD ,所以四边形11A BDE 是平行四边形.………………………………………10分 C 1ABA 1B 1D 1CDM NEFE 1F 1所以11A B E D .……2分在△1ABA 中,1AM AN ==,13AB AA ==, 所以1AM ANAB AA =, 所以1MN BA .…………4分 所以1MNDE .所以M ,N ,1E ,D 四点共面.……6分(2)解:以点E 为坐标原点,EA ,ED ,1EE 所在的直线分别为x 轴,y 轴,z 轴,建立如图的空间直角坐标系,则()33,3,0B ,339,,022C ⎛⎫⎪ ⎪⎝⎭,()0,3,0D ,()10,0,3E ,()33,1,0M ,8分则333,,022BC ⎛⎫=- ⎪⎪⎝⎭,()10,3,3DE =-,()33,2,0DM =-.……10分设(),,x y z =n 是平面1MNE D 的法向量,则10,0.DE DM ⎧=⎪⎨=⎪⎩n n 即330,3320.y z x y -+=⎧⎪⎨-=⎪⎩ 取33y =,则2x =,33z =.所以()2,33,33=n 是平面1MNE D 的一个法向量.………12分 设直线BC 与平面1MNE D 所成的角为θ, 则sin BC BCθ=n nxzyC 1ABA 1B 1D 1CDMNEFE 1F 1()()2222223332333302217411633323333022⎛⎫⨯-+⨯+⨯ ⎪⎝⎭==⎛⎫⎛⎫++⨯-++ ⎪ ⎪⎝⎭⎝⎭. 故直线BC 与平面1MNE D 所成角的正弦值为174116.………14分 第(1)(2)问均用向量法:(1)证明:以点E 为坐标原点,EA ,ED ,1EE 所在的直线分别为x 轴,y 轴,z 轴,建立如图的空间直角坐标系, 则()33,3,0B ,339,,022C ⎛⎫⎪ ⎪⎝⎭,()0,3,0D , ()10,0,3E ,()33,1,0M ,()33,0,1N ,2分所以()10,3,3DE =-,()0,1,1MN =-. …3分 因为13DE MN =,且MN 与1DE 不重合, 所以1DE MN .…5分所以M ,N ,1E ,D 四点共面.……6分 (2)解:由(1)知333,,022BC ⎛⎫=- ⎪⎪⎝⎭,()10,3,3DE =-,()33,2,0DM =-. (10)分(特别说明:由于给分板(1)6分(2)8分,相当于把(1)中建系与写点坐标只给2分在此加2分)设(),,x y z =n 是平面1MNE D 的法向量,则10,0.DE DM ⎧=⎪⎨=⎪⎩n n 即330,3320.y z x y -+=⎧⎪⎨-=⎪⎩ 取33y =,则2x =,33z =.所以()2,33,33=n 是平面1MNE D 的一个法向量.………12分xzyC 1A BA 1B 1D 1CDMNEFE 1F 1设直线1BC 与平面1MNE D 所成的角为θ, 则sin BC BCθ=n n()()2222223332333302217411633323333022⎛⎫⨯-+⨯+⨯ ⎪⎝⎭==⎛⎫⎛⎫++⨯-++ ⎪ ⎪⎝⎭⎝⎭. 故直线BC 与平面1MNE D 所成角的正弦值为174116.………14分 第(1)(2)问均用几何法:(1)证明:连接1A B ,11B D ,BD ,11A E , 在四边形1111A B D E 中,1111A E B D 且1111=A E B D , 在四边形11BB D D 中,11BD B D 且11=BD B D ,所以11A E BD 且11=A E BD ,所以四边形11A BDE 是平行四边形. 所以11A BE D .……2分在△1ABA 中,1AM AN ==,13AB AA ==, 所以1AM ANAB AA =, 所以1MN BA .…………4分 所以1MNDE .所以M ,N ,1E ,D 四点共面.……6分 (2)连接AD ,因为BCAD ,所以直线AD 与平面1MNE D 所成的角即为直线BC 与平面1MNE D 所成的角.……7分连接DN ,设点A 到平面DMN 的距离为h ,直线AD 与平面1MNE D 所成的角为θ,C 1ABA 1B 1 D 1CDMNEFE 1F 1则sin hADθ=.8分 因为A DMN D AMN V V --=,即1133DMN AMN S h S DB ∆∆⨯⨯=⨯⨯.…9分 在边长为3的正六边形ABCDEF 中,33DB =,6DA =, 在△ADM 中,6DA =,1AM =,60DAM ∠=, 由余弦定理可得,31DM =.在Rt △DAN 中,6DA =,1AN =,所以37DN =. 在Rt △AMN 中,1AM =,1AN =,所以2MN =. 在△DMN 中,31DM =,37DN =,2MN =, 由余弦定理可得,2cos 31DMN ∠=-,所以29sin 31DMN ∠=. 所以158sin 22DMN S MN DM DMN ∆=⨯⨯⨯∠=.…………11分 又12AMN S ∆=,12分 所以3358AMN DMN S DB h S ∆∆⨯==.………13分 所以174sin 116h AD θ==. 故直线BC 与平面1MNE D 所成角的正弦值为174116.………14分 19.(本小题满分14分)(1)解:因为()111,P a b 是直线l :31y x =+与y 轴的交点()0,1, 所以10a =,11b =.……2分 因为数列{}n a 是公差为1的等差数列, 所以1n a n =-.4分因为点(),n n n P a b 在直线l :31y x =+上,所以31n n b a =+32n =-.所以数列{}n a ,{}n b 的通项公式分别为1n a n =-,32n b n =-()*n ∈N . (6)分(2)证明:因为()10,1P ,()1,32n P n n --,所以()1,31n P n n ++.所以()222211310n PP n n n +=+=.……7分 所以222121311111n PP PP PP ++++22211111012n ⎛⎫=+++⎪⎝⎭.…………8分 因为()()2221144112141212121214n n n n n n n ⎛⎫<===- ⎪--+-+⎝⎭-,…10分 所以,当2n ≥时,222121311111n PP PP PP ++++111111210352121n n ⎡⎤⎛⎫<+-++- ⎪⎢⎥-+⎝⎭⎣⎦………11分 15110321n ⎛⎫=- ⎪+⎝⎭………12分 16<. 又当1n =时,212111106PP =<.……13分 所以22212131+111116n PP PP PP +++<.………14分 20.(本小题满分14分)解:(1)方法一:设圆C 的方程为:()222x a y r -+=()0r >,1分因为圆C 过点()0,0和()1,1-,所以()22222,11.a r a r ⎧=⎪⎨--+=⎪⎩3分 解得1a =-,1r =.所以圆C 的方程为()2211x y ++=.4分方法二:设()0,0O ,()1,1A -,依题意得,圆C 的圆心为线段OA 的垂直平分线l 与x 轴的交点C .……1分 因为直线l 的方程为1122y x -=+,即1y x =+,2分 所以圆心C 的坐标为()1,0-.………3分所以圆C 的方程为()2211x y ++=.4分(2)方法一:设圆D 上的动点P 的坐标为()00,x y ,则()220044x y -+=, 即()2200440y x =--≥,解得026x ≤≤.…………5分由圆C 与圆D 的方程可知,过点P 向圆C 所作两条切线的斜率必存在, 设PA 的方程为:()010y y k x x -=-, 则点A 的坐标为()0100,y k x -, 同理可得点B 的坐标为()0200,y k x -, 所以120AB k k x =-,因为PA ,PB 是圆C 的切线,所以1k ,2k 满足00211k y kx k -+-=+,即1k ,2k 是方程()()2220000022110x x k y x k y +-++-=的两根,……7分即()0012200201220021,21.2y x k k x x y k k x x ⎧++=⎪+⎪⎨-⎪=⎪+⎩所以120AB k k x =-()()22000022000412122y y x x x x x x -+⎡⎤=-⎢⎥++⎣⎦……9分 因为()220044y x =--,所以()02056222x AB x -=+.………10分设()()0020562x f x x -=+,则()()00305222x f x x -+'=+.11分由026x ≤≤,可知()0f x 在222,5⎡⎫⎪⎢⎣⎭上是增函数,在22,65⎛⎤⎥⎝⎦上是减函数,………12分所以()0max 2225564fx f ⎛⎫==⎡⎤ ⎪⎣⎦⎝⎭, ()()(){}min0131min 2,6min ,484f x f f ⎧⎫===⎡⎤⎨⎬⎣⎦⎩⎭, 所以AB 的取值范围为522,4⎡⎤⎢⎥⎣⎦.14分方法二:设圆D 上的动点P 的坐标为()00,x y ,则()220044x y -+=, 即()2200440y x =--≥,解得026x ≤≤.…………5分 设点()0,A a ,()0,B b , 则直线PA :00y ay a x x --=,即()0000y a x x y ax --+=, 因为直线PA 与圆C 相切,所以()0022001a y ax y a x -+=-+,化简得()2000220x a y a x +--=. ①同理得()2000220x b y b x +--=, ②由①②知a ,b 为方程()2000220x x y x x +--=的两根,…7分即00002,2.2y a b x x ab x ⎧+=⎪+⎪⎨-⎪=⎪+⎩所以()24AB a b a b ab =-=+-200002422y x x x ⎛⎫=+ ⎪++⎝⎭ ()()2000204422y x x x ++=+.…9分因为()220044y x =--,所以()02056222x AB x -=+…………10分()2001652222x x =-+++.…………11分 令012t x =+,因为026x ≤≤,所以1184t ≤≤.所以222165AB t t =-+252522163264t ⎛⎫=--+⎪⎝⎭,12分 当532t =时,max 524AB =, 当14t =时,min 2AB =. 所以AB 的取值范围为522,4⎡⎤⎢⎥⎣⎦.14分21.(本小题满分14分)(1)解法一:因为函数()ln f x a x =-11x x -+在区间()0,1内是增函数, 所以()()2201a f x x x '=-≥+()01x <<.………1分 即()2120a x x +-≥()01x <<,即()221xa x ≥+2分212x x =++()01x <<, 因为21122x x <++在()0,1x ∈内恒成立,所以12a ≥.故实数a 的取值范围为1,2⎡⎫+∞⎪⎢⎣⎭.…4分 解法二:因为函数()ln f x a x =-11x x -+在区间()0,1内是增函数, 所以()()2201a f x x x '-+≥=()01x <<.………1分 即()2120a x x +-≥()01x <<,即()2210ax a x a +-+≥()01x <<,2分设()()221g x ax a x a =+-+,当0a =时,得20x -≥,此时不合题意.当0a <时,需满足()()00,10,g g ≥⎧⎪⎨≥⎪⎩即()0,210,a a a a ≥⎧⎪⎨+-+≥⎪⎩解得12a ≥,此时不合题意.当0a >时,需满足()222140a a --≤⎡⎤⎣⎦或()()00,10,10,g g a a ⎧⎪≥⎪≥⎨⎪-⎪-<⎩或()()00,10,11,g g a a ⎧⎪≥⎪≥⎨⎪-⎪->⎩解得12a ≥或1a >, 所以12a ≥.综上所述,实数a 的取值范围为1,2⎡⎫+∞⎪⎢⎣⎭.………4分 (2)证明:因为函数()e xg x =,所以()e xg x '=.过点(),e b P b ,(),e bQ b --作曲线C 的切线方程为:1l :()e e b b y x b =-+,2l :()e e b b y x b --=++,因为1l 与2l 的交点为()00,M x y ,由()()e e ,e e ,b bb by x b y x b --⎧=-+⎪⎨=++⎪⎩ 6分消去y ,解得()()()0e +e e e eeb b b b bbb x -----=-. ①…7分下面给出判定00x >的两种方法: 方法一:设e bt =,………8分 因为0b >,所以1t >,且ln b t =. 所以()()2202+1ln 11t t t x t --=-.………9分设()()()22+1ln 1h t t t t =--()1t >,则()12ln h t t t t t '=-+()1t >.……10分 令()12ln u t t t t t =-+()1t >,则()212ln 1u t t t'=+-.当1t >时,ln 0t >,2110t ->,所以()212ln 10u t t t'=+->,……11分所以函数()u t 在()1,+∞上是增函数, 所以()()10u t u >=,即()0h t '>,12分 所以函数()h t 在()1,+∞上是增函数, 所以()()10h t h >=.…13分因为当1t >时,210t ->,所以()()2202+1ln 101t t t x t --=>-.14分。
广东省各市2015年高考二模数学理试题分类汇编.函数

广东省各市2015年高考二模数学理试题分类汇编函数1、(2015届广州市)已知0a b >>,则下列不等关系式中正确的是A .sin sin a b >B .22log log a b <C .1122a b < D .1133a b⎛⎫⎛⎫< ⎪ ⎪⎝⎭⎝⎭2(2015届广州市)已知函数()4,0,1,0,x x f x x x x ⎧-≥⎪=⎨⎛⎫-<⎪ ⎪⎝⎭⎩则()2f f =⎡⎤⎣⎦ A .14 B .12C .2D .4 3.(2015届广州市)已知函数()223f x x x =-++,若在区间[]4,4-上任取一个实数0x ,则使()00f x ≥成立的概率为A .425B .12C .23D .1 4(2015届惠州市)下列函数中,既是奇函数又存在极值的函数是 ( ) A .3y x = B .1y x x=+ C .e x y x -=⋅ D .ln()y x =- 5(2015届揭阳市)已知幂函数()y f x =的图象过点1(3,)3,则12log (2)f 的值为 .6(2015届茂名市) 若函数()y f x =在实数集R 上的图象是连续不断的,且对任意实数x 存在常数t 使得()()f t x tf x +=恒成立,则称()y f x =是一个“关于t 函数”.现有下列“关于t 函数”的结论:①常数函数是“关于t 函数”;②“关于2函数”至少有一个零点;③x x f )21()(=是一个“关于t 函数”.其中正确结论的个数是 ( ).A .1B .2C .3D .07(2015届茂名市) 已知()f x 是定义在R 上的奇函数,当x >0 时,()f x =1+x)21(,则(2)f -= .8(2015届深圳市)下列四个函数中,在闭区间]1,1[-上单调递增的函数是A .2x y =B .x y 2=C .x y 2log =D .x y 2sin =9(2015届肇庆市)函数x x y -+-=3)2ln(的定义域 ▲ . 答案:D A B B 1 B 45- B (]3,2。
广东省广州市2015届高三毕业班综合测试(二)数学(理)试题 Word版含答案

试卷类型:A2015年广州市普通高中毕业班综合测试(二)数学(理科)2015.4参考公式:球的表面积公式24S R =π,其中R 是球的半径.一、选择题:本大题共8小题,每小题5分,满分40分.在每小题给出的四个选项中,只有一项是符合题目要求的. 1.命题“若2x =,则2320x x -+=”的逆否命题是A .若2x ≠,则2320x x -+≠ B .若2320x x -+=,则2x =C .若2320x x -+≠,则2x ≠D .若2x ≠,则2320x x -+=2.已知0a b >>,则下列不等关系式中正确的是A .sin sin a b >B .22log log a b <C .1122a b < D .1133a b⎛⎫⎛⎫< ⎪ ⎪⎝⎭⎝⎭3.已知函数()40,1,0,x f x x x x ⎧≥⎪=⎨⎛⎫-<⎪ ⎪⎝⎭⎩则()2f f =⎡⎤⎣⎦ A .14 B .12C .2D .44.函数()sin y A x ωϕ=+()0,0,0A ωϕ>><<π的图象的一部分如图1所示, 则此函数的解析式为A .3sin y x ππ⎛⎫=+⎪44⎝⎭ B .3sin y x π3π⎛⎫=+ ⎪44⎝⎭图1C .3sin y x ππ⎛⎫=+⎪24⎝⎭ D .3sin y x π3π⎛⎫=+ ⎪24⎝⎭5.已知函数()223f x x x =-++,若在区间[]4,4-上任取一个实数0x ,则使()00f x ≥成立的概率为 A .425 B .12 C .23D .16.如图2,圆锥的底面直径2AB =,母线长3VA =,点C 在母线VB 上,且1VC =, 有一只蚂蚁沿圆锥的侧面从点A 到达点C ,则这只蚂蚁爬行的最短距离是 A BC .3D .27.已知两定点()1,0A -,()1,0B ,若直线l 上存在点M ,使得3MA MB +=,则称直线l 为“M 型直线”.给出下列直线:①2x =;②3y x =+;③21y x =--;④1y =;⑤23y x =+.其中是“M 型直线”的条数为A .1B .2C .3D .48.设(),P x y 是函数()y f x =的图象上一点,向量()()51,2x =-a ,()1,2y x =-b ,且//a b .数列{}n a是公差不为0的等差数列,且()()()12936f a f a f a ++⋅⋅⋅+=,则129a a a ++⋅⋅⋅+= A.0 B.9 C.18 D.36二、填空题:本大题共7小题,考生作答6小题,每小题5分,满分30分. (一)必做题(9~13题) 9.已知i 为虚数单位,复数1i1iz -=+,则z = . 10.执行如图3所示的程序框图,则输出的z 的值是 .AVCB图211.已知()sin 6f x x π⎛⎫=+⎪⎝⎭,若3cos 5α=02απ⎛⎫<< ⎪⎝⎭,则12f απ⎛⎫+= ⎪⎝⎭ .12.5名志愿者中安排4人在周六、周日两天参加社区公益活动.若每天安排2人,则不同的安排方案共有_________种(用数字作答).13.在边长为1的正方形ABCD 中,以A 为起点,其余顶点为终点的向量分别为1a ,2a ,3a ;以C 为起点,其余顶点为终点的向量分别为1c ,2c ,3c .若m 为()()i j s t +•+a a c c 的最小值,其中{}{},1,2,3i j ⊆,{}{},1,2,3s t ⊆,则m = . (二)选做题(14~15题,考生只能从中选做一题) 14.(几何证明选讲选做题)如图4,在平行四边形ABCD 中,4AB =,点E 为边DC 的中点, AE 与BC 的延长线交于点F ,且AE 平分BAD ∠,作DG AE ⊥,垂足为G ,若1DG =,则AF 的长为 . 15.(坐标系与参数方程选做题)在平面直角坐标系中,已知曲线1C 和2C 的方程分别为32,12x t y t=-⎧⎨=-⎩(t 为参数)和24,2x t y t =⎧⎨=⎩(t 为参数),则曲线1C 和2C 的交点有 个. 三、解答题:本大题共6小题,满分80分.解答须写出文字说明、证明过程和演算步骤. 16.(本小题满分12分)已知△ABC 的三边a ,b ,c 所对的角分别为A ,B ,C ,且::7:5:3a b c =. (1)求cos A 的值;B ACDFG 图4(2)若△ABC的面积为ABC 外接圆半径的大小. 17.(本小题满分12分)某市为了宣传环保知识,举办了一次“环保知识知多少”的问卷调查活动(一人答一份).现从回收的年龄在20~60岁的问卷中随机抽取了n组号年龄 分组 答对全卷 的人数答对全卷的人数 占本组的概率1 [20,30)28 b2 [30,40)270.93 [40,50)50.54 [50,60]a0.4(1)分别求出a ,b ,c ,n 的值;(2)从第3,4组答对全卷的人中用分层抽样的方法抽取6人,在所抽取的6人中随机抽取2人授予“环保之星”,记X 为第3组被授予“环保之星”的人数,求X 的分布列与数学期望.18.(本小题满分14分)如图5,已知六棱柱111111ABCDEF A B C D E F 的侧棱C 1A 1B 1 D 1E 1F 1垂直于底面,侧棱长与底面边长都为3,M,N分别是棱AB ,1AA 上的点,且1AM AN ==. (1)证明:M ,N ,1E ,D 四点共面; (2)求直线BC 与平面1MNE D 所成角的正弦值.19.(本小题满分14分)已知点(),n n n P a b ()n ∈*N在直线l :31y x =+上,1P 是直线l 与y 轴的交点,数列{}n a 是公差为1的等差数列.(1)求数列{}n a ,{}n b 的通项公式; (2)求证:22212131111116n PP PP PP ++++<.20.(本小题满分14分)已知圆心在x 轴上的圆C 过点()0,0和()1,1-,圆D 的方程为()2244x y -+=.(1)求圆C 的方程;(2)由圆D 上的动点P 向圆C 作两条切线分别交y 轴于A ,B 两点,求AB 的取值范围.21.(本小题满分14分)已知函数()ln f x a x =-11x x -+,()e xg x =(其中e 为自然对数的底数). (1)若函数()f x 在区间()0,1内是增函数,求实数a 的取值范围; (2)当0b >时,函数()g x 的图象C 上有两点(),e b P b ,(),ebQ b --,过点P ,Q 作图象C 的切线分别记为1l ,2l ,设1l 与2l 的交点为()00,M x y ,证明00x >.2015年广州市普通高中毕业班综合测试(二)数学(理科)试题参考答案及评分标准说明:1.参考答案与评分标准给出了一种或几种解法供参考,如果考生的解法与参考答案不同,可根据试题主要考查的知识点和能力比照评分标准给以相应的分数.2.对解答题中的计算题,当考生的解答在某一步出现错误时,如果后继部分的解答未改变该题的内容和难度,可视影响的程度决定后继部分的得分,但所给分数不得超过该部分正确解答应得分数的一半;如果后继部分的解答有较严重的错误,就不再给分.3.解答右端所注分数,表示考生正确做到这一步应得的累加分数.4.只给整数分数,选择题和填空题不给中间分.一、选择题:本大题考查基本知识和基本运算.共8小题,每小题,满分40分.二、填空题:本大题考查基本知识和基本运算,体现选择性.共7小题,每小题,满分30分.其中14~15题是选做题,考生只能选做一题.16.(本小题满分12分) 解:(1)因为::7:5:3a b c =,所以可设7a k =,5b k =,3c k =()0k >,…………………………………………………………2分由余弦定理得,222cos 2b c a A bc +-=()()()222537253k k k k k+-=⨯⨯…………………………………………………………3分12=-.………………………………………………………………………………………………4分 (2)由(1)知,1cos 2A =-,因为A 是△ABC 的内角,所以sin A =2=6分 由(1)知5b k =,3c k =, 因为△ABC的面积为1sin 2bc A =,……………………………………………8分即15322k k ⨯⨯⨯=,解得k =10分 由正弦定理2sin a R A =,即72sin 2k R A ==,…………………………………………………11分解得14R =.所以△ABC 外接圆半径的大小为14. (12)分17.(本小题满分12分)解:(1)根据频率直方分布图,得()0.0100.0250.035101c +++⨯=,解得0.03c =.……………………………………………………………………………………………1分 第3组人数为105.05=÷,所以1001.010=÷=n .…………………………………………………2分第1组人数为1000.3535⨯=,所以28350.8b =÷=.……………………………………………3分第4组人数为2525.0100=⨯,所以250.410a =⨯=.……………………………………………4分(2)因为第3,4组答对全卷的人的比为5:101:2=,所以第3,4组应依次抽取2人,4人.…………………………………………………………………5分依题意X 的取值为0,1,2.……………………………………………………………………………6分()022426C C 20C 5P X ===,…………………………………………………………………………………7分()112426C C 81C 15P X ===,………………………………………………………………………………8分()202426C C 12C 15P X ===,………………………………………………………………………………9分所以X 的分布列为:12815115所以2812012515153EX =⨯+⨯+⨯=. ………………………………………………………………12分18.(本小题满分14分)………………………………………10分第(1)问用几何法,第(2)问用向量法: (1)证明:连接1A B ,11B D ,BD ,11A E ,在四边形1111A B D E 中,1111A E B D 且1111=A E B D ,C 1ABA 1B 1D 1CDMNEFE 1F 1在四边形11BB D D 中,11BD B D 且11=BD B D ,所以11A E BD 且11=A E BD ,所以四边形11A BDE 是平行四边形. 所以11A BE D .………………………………2分在△1ABA 中,1AM AN ==,13AB AA ==, 所以1AM ANAB AA =, 所以1MN BA .…………………………………………………………………………………………4分 所以1MNDE .所以M ,N ,1E ,D 四点共面.………………………………………………………………………6分(2)解:以点E 为坐标原点,EA ,ED ,1EE 所在的直线分别为x 轴,y 轴,z 轴,建立如图的空间直角坐标系,则()B,9,,022C ⎛⎫⎪ ⎪⎝⎭,()0,3,0D ,()10,0,3E,()M ,…………………………8分则3,022BC ⎛⎫=- ⎪ ⎪⎝⎭,()10,3,3DE =-,()32,0DM =-.……………………………………………………………………………………10分设(),,x y z =n 是平面1MNE D 的法向量,则10,0.DE DM ⎧=⎪⎨=⎪⎩n n即330,20.y z y -+=⎧⎪⎨-=⎪⎩取y =2x=,z =所以(=n 是平面1MNE D 的一个法向量.………………………………………………12分设直线BC 与平面1MNE D 所成的角为θ, 则sin BC BCθ=n n116==. 故直线BC 与平面1MNE D 所成角的正弦值为116.………………………………………………14分第(1)(2)问均用向量法:(1)证明:以点E 为坐标原点,EA ,ED ,1EE所在的直线分别为x 轴,y 轴,z 轴,建立如图的空间直角坐标系,则()B ,9,02C ⎫⎪⎪⎝⎭,()0,3,0D ,()10,0,3E ,()M ,()N ,……………2分所以()10,3,3DE =-,()0,1,1MN =-. ………………3分 因为13DE MN =,且MN 与1DE 不重合, 所以1DE MN .…………………………………………5分所以M ,N ,1E ,D 四点共面.………………………………………………………………………6分(2)解:由(1)知3,02BC ⎛⎫= ⎪⎪⎝⎭,()10,3,3DE =-,()32,0DM =-.………………10分(特别说明:由于给分板(1)6分(2)8分,相当于把(1)中建系与写点坐标只给2分在此加2分)设(),,x y z =n 是平面1MNE D 的法向量,则10,0.DE DM ⎧=⎪⎨=⎪⎩n n即330,20.y z y -+=⎧⎪⎨-=⎪⎩取y =2x =,z =所以(=n 是平面1MNE D 的一个法向量.………………………………………………12分设直线1BC 与平面1MNE D 所成的角为θ, 则sin BC BCθ=n n==故直线BC 与平面1MNE D 14分第(1)(2)问均用几何法:(1)证明:连接1A B ,11B D ,BD ,11A E ,在四边形1111A B D E 中,1111A E B D 且1111=A E B D , 在四边形11BB D D 中,11BD B D 且11=BD B D ,所以11A E BD 且11=A E BD ,D 1E 1所以四边形11A BDE 是平行四边形. 所以11A BE D .………………………………2分在△1ABA 中,1AM AN ==,13AB AA ==, 所以1AM ANAB AA =, 所以1MN BA .…………………………………………………………………………………………4分 所以1MNDE .所以M ,N ,1E ,D 四点共面.………………………………………………………………………6分(2)连接AD ,因为BCAD ,所以直线AD 与平面1MNE D 所成的角即为直线BC 与平面1MNE D 所成的角.…………………7分连接DN ,设点A 到平面DMN 的距离为h ,直线AD 与平面1MNE D 所成的角为θ, 则sin hADθ=.……………………………………………………………………………………………8分 因为A DMN D AMNV V --=,即1133DMN AMN S h S DB ∆∆⨯⨯=⨯⨯.…………………………………………9分 在边长为3的正六边形ABCDEF中,DB =6DA =, 在△ADM 中,6DA =,1AM =,60DAM ∠=,由余弦定理可得,DM =在Rt △DAN 中,6DA =,1AN =,所以DN = 在Rt △AMN 中,1AM =,1AN =,所以MN = 在△DMN中,DM =DN =,MN =由余弦定理可得,cos DMN∠=∠=,所以sin DMN所以1sin 22DMN S MN DM DMN ∆=⨯⨯⨯∠=.…………………………………………………11分又12AMN S ∆=,……………………………………………………………………………………………12分所以AMN DMN S DB h S ∆∆⨯==.…………………………………………………………………………13分所以sin 116h AD θ==. 故直线BC 与平面1MNE D所成角的正弦值为116.………………………………………………14分19.(本小题满分14分)(1)解:因为()111,P a b 是直线l :31y x =+与y 轴的交点()0,1,所以10a =,11b =.……………………………………………………………………………………2分 因为数列{}n a 是公差为1的等差数列,所以1n a n =-.……………………………………………………………………………………………4分 因为点(),n n n P a b 在直线l :31y x =+上, 所以31n n b a =+32n =-. 所以数列{}n a ,{}n b 的通项公式分别为1n a n =-,32n b n =-()*n ∈N .………………………6分(2)证明:因为()10,1P ,()1,32n P n n --,所以()1,31n P n n ++. 所以()222211310n PP n n n +=+=. (7)分所以222121311111n PP PP PP ++++22211111012n ⎛⎫=+++⎪⎝⎭.……………………………………8分因为()()2221144112141212121214n n n n n n n ⎛⎫<===- ⎪--+-+⎝⎭-,……………………………10分 所以,当2n ≥时,222121311111n PP PP PP ++++111111210352121n n ⎡⎤⎛⎫<+-++- ⎪⎢⎥-+⎝⎭⎣⎦……………………………………………………………11分15110321n ⎛⎫=- ⎪+⎝⎭………………………………………………………………………………………12分 16<. 又当1n =时,212111106PP =<.………………………………………………………………………13分所以22212131+111116n PP PP PP +++<.……………………………………………………………14分20.(本小题满分14分)解:(1)方法一:设圆C 的方程为:()222x a y r-+=()0r >,………………………………………1分因为圆C 过点()0,0和()1,1-,所以()22222,11.a r a r ⎧=⎪⎨--+=⎪⎩………………………………………………………………………………3分 解得1a =-,1r =.所以圆C 的方程为()2211x y ++=.…………………………………………………………………4分方法二:设()0,0O ,()1,1A -,依题意得,圆C 的圆心为线段OA 的垂直平分线l 与x 轴的交点C .………………………………1分因为直线l 的方程为1122y x -=+,即1y x =+,……………………………………………………2分所以圆心C 的坐标为()1,0-.…………………………………………………………………………3分 所以圆C 的方程为()2211x y ++=.…………………………………………………………………4分(2)方法一:设圆D 上的动点P 的坐标为()00,x y ,则()220044x y -+=,即()2200440y x =--≥,解得026x ≤≤.…………………………………………………………………………………………5分 由圆C 与圆D 的方程可知,过点P 向圆C 所作两条切线的斜率必存在, 设PA 的方程为:()010y y k x x -=-, 则点A 的坐标为()0100,y k x -, 同理可得点B 的坐标为()0200,y k x -, 所以120AB k k x =-,因为PA ,PB 是圆C 的切线,所以1k ,2k1=,即1k ,2k 是方程()()2220000022110xx k y x k y +-++-=的两根,………………………………7分即()0012200201220021,21.2y x k k x x y k k x x ⎧++=⎪+⎪⎨-⎪=⎪+⎩所以120AB k k x =-x =9分 因为()220044y x =--,所以AB =10分设()()0020562x f x x -=+,则()()00305222x f x x -+'=+.………………………………………………………………………………11分由026x ≤≤,可知()0f x 在222,5⎡⎫⎪⎢⎣⎭上是增函数,在22,65⎛⎤⎥⎝⎦上是减函数,……………………12分所以()0max 2225564fx f ⎛⎫==⎡⎤ ⎪⎣⎦⎝⎭,()()(){}min0131min 2,6min ,484f x f f ⎧⎫===⎡⎤⎨⎬⎣⎦⎩⎭,所以AB的取值范围为4⎦.…………………………………………………………………14分方法二:设圆D 上的动点P 的坐标为()00,x y , 则()220044x y -+=,即()2200440y x =--≥,解得026x ≤≤.…………………………………………………………………………………………5分 设点()0,A a ,()0,B b , 则直线PA :00y ay a x x --=,即()0000y a x x y ax --+=, 因为直线PA 与圆C1=,化简得()2000220x a y a x +--=. ①同理得()2000220x b y b x +--=, ②由①②知a ,b 为方程()2000220x x y x x +--=的两根,…………………………………………7分即00002,2.2y a b x x ab x ⎧+=⎪+⎪⎨-⎪=⎪+⎩所以AB a b =-===.……………………………………………………………………9分因为()220044y x =--,所以AB =10分=………………………………………………………………11分令012t x =+,因为026x ≤≤,所以1184t ≤≤.所以AB ==,………………………………………12分当532t =时,max 4AB =,当14t =时,min AB =所以AB的取值范围为4⎦.…………………………………………………………………14分21.(本小题满分14分)(1)解法一:因为函数()ln f x a x =-11x x -+在区间()0,1内是增函数,所以()()2201a f x x x '=-≥+()01x <<.……………………………………………………………1分即()2120a x x +-≥()01x <<,即()221xa x ≥+……………………………………………………………………………………………2分212x x =++()01x <<, 因为21122x x <++在()0,1x ∈内恒成立,所以12a ≥.故实数a 的取值范围为1,2⎡⎫+∞⎪⎢⎣⎭.……………………………………………………………………4分 解法二:因为函数()ln f x a x =-11x x -+在区间()0,1内是增函数, 所以()()2201a f x x x '-+≥=()01x <<.……………………………………………………………1分即()2120a x x +-≥()01x <<,即()2210ax a x a +-+≥()01x <<, (2)分设()()221g x ax a x a =+-+,当0a =时,得20x -≥,此时不合题意.当0a <时,需满足()()00,10,g g ≥⎧⎪⎨≥⎪⎩即()0,210,a a a a ≥⎧⎪⎨+-+≥⎪⎩解得12a ≥,此时不合题意.当0a >时,需满足()222140a a --≤⎡⎤⎣⎦或()()00,10,10,g g a a ⎧⎪≥⎪≥⎨⎪-⎪-<⎩或()()00,10,11,g g a a⎧⎪≥⎪≥⎨⎪-⎪->⎩ 解得12a ≥或1a >,所以12a ≥. 综上所述,实数a 的取值范围为1,2⎡⎫+∞⎪⎢⎣⎭.……………………………………………………………4分(2)证明:因为函数()e xg x =,所以()e xg x '=.过点(),e b P b ,(),e b Q b --作曲线C 的切线方程为:1l :()e e b b y x b =-+, 2l :()e e b b y x b --=++,因为1l 与2l 的交点为()00,M x y ,由()()e e ,e e ,b bb by x b y x b --⎧=-+⎪⎨=++⎪⎩ ………………………………………………………………………………6分 消去y ,解得()()()0e +e e e eeb b b b bbb x -----=-. ①…………………………………………7分下面给出判定00x >的两种方法:方法一:设e bt =,………………………………………………………………………………………8分因为0b >,所以1t >,且ln b t =. 所以()()2202+1ln 11t t t x t --=-. (9)分设()()()22+1ln 1h t t t t =--()1t >,则()12ln h t t t t t '=-+()1t >.………………………………………………………………………10分 令()12ln u t t t t t =-+()1t >,则()212ln 1u t t t'=+-.当1t >时,ln 0t >,2110t ->,所以()212ln 10u t t t '=+->,………………………………11分所以函数()u t 在()1,+∞上是增函数,所以()()10u t u >=,即()0h t '>,…………………………………………………………………12分所以函数()h t 在()1,+∞上是增函数,所以()()10h t h >=.…………………………………………………………………………………13分 因为当1t >时,210t ->, 所以()()2202+1ln 101t t t x t --=>-.…………………………………………………………………14分 方法二:由①得0x ()221+e 11e b b b --=--. 设2e b t -=,…………………………………………………………………………………………………8分 因为0b >,所以01t <<,且ln 2t b =-. 于是21ln b t -=,……………………………………………………………………………………………9分 所以()01+221ln 1ln 1b t b t x b t t t t +⎛⎫=+=+ ⎪--⎝⎭.…………………………………………………………10分由(1)知当12a =时,()1ln 2f x x =-11x x -+在区间()0,1上是增函数,………………………… 11分 所以()ln 2t f t =-()1101t f t -<=+, 即ln 2t <11t t -+. …………………………………………………………………………………………12分 即210ln 1t t t ++>-,………………………………………………………………………………………13分 已知0b >, 所以0210ln 1t x b t t +⎛⎫=+> ⎪-⎝⎭.…………………………………………………………………………14分欢迎下载,资料仅供参考!!!。
广东省各市高考二模数学理试题分类汇编

即 .………………………………………………………8分
所以 或 , .…………………………10分
即 或 , .
又 ,所以 .…………………………………………………………11分
所以 .………………………………………………………………………12分
13(本小题满分12分)
解:(1) (2分)
(1)求函数 的解析式;
(2)若角 满足 ,且 ,求 的值.
解:(1)由 最小值 且 ,所以 .…………………………………………1分
因为 ,所以 ,……………………………………………………2分
由 可得 ,所以 ,………………………………………3分
所以 .……………………………………………………………………………………4分
又∵ ,∴ ,……10分
cos(α-β)= cosαcosβ+ sinαsinβ . ……12分
10解:(1)由 为图象的最高点知 ,---------------------1分
又点M 知函数 的最小正周期 ,-----------------------3分
∵ ∴ ,-------------------------------------------------5分
解得 .
所以△ 外接圆半径的大小为 .…………………………………………………………………12分
9(本小题满分12分)
解:(1)依题意得 ,∴ ,……2分
由f(2π)=2,得 ,即 ,∴A=4,……4分
∴ . ……5分
(2)由 ,得 ,
即 ,∴ ,……6分
又∵ ,∴ ,……7分
由 ,得 ,
即 ,∴ ,……9分
8(2015届广州市)(本小题满分12分)
2015年全国各地高考数学试题及解答分类大全(平面向量)

2015年全国各地高考数学试题及解答分类大全(平面向量)一、选择题:1.(2015安徽理)C ∆AB 是边长为2的等边三角形,已知向量a ,b 满足2a AB = ,C 2a b A =+,则下列结论正确的是()(A)1b = (B)a b⊥ (C)1a b ⋅= (D)()4Ca b +⊥B2、(2015北京文)设a ,b是非零向量,“a b a b ⋅= ”是“//a b ”的()A.充分而不必要条件B.必要而不充分条件C.充分必要条件D.既不充分也不必要条件【答案】A 【解析】试题分析:||||cos ,a b a b a b ∙=∙<> ,由已知得cos ,1a b <>= ,即,0a b <>= ,//a b .而当//a b时,,a b <> 还可能是π,此时||||a b a b ∙=- ,故“a b a b ⋅= ”是“//a b”的充分而不必要条件.考点:充分必要条件、向量共线.3.(2015福建文)设(1,2)a = ,(1,1)b = ,c a kb =+ .若b c ⊥,则实数k 的值等于()A.32-B.53-C.53D.32【答案】A考点:平面向量数量积.4.(2015福建理)已知1,,AB AC AB AC t t⊥==,若P 点是ABC ∆所在平面内一点,且4AB AC AP AB AC=+ ,则PB PC ⋅的最大值等于()A.13B.15C.19D.21【答案】A考点:1、平面向量数量积;2、基本不等式.5.(2015广东文)在平面直角坐标系x y O 中,已知四边形CD AB 是平行四边形,()1,2AB =-,()D 2,1A =,则D C A ⋅A = ()A .2B .3C .4D .5【答案】D 【解析】试题分析:因为四边形CD AB 是平行四边形,所以()()()C D 1,22,13,1A =AB +A =-+=-,所以()D C 23115A ⋅A =⨯+⨯-=,故选D.考点:1、平面向量的加法运算;2、平面向量数量积的坐标运算.6、(2015湖南文)已知点A,B,C 在圆221x y +=上运动,且AB ⊥BC,若点P 的坐标为(2,0),则PA PB PC ++的最大值为()A、6B、7C、8D、9【答案】B【解析】试题分析:由题根据所给条件不难得到该圆221x y +=是一AC 位直径的圆,然后根据所给条件结合向量的几何关系不难得到24PA PB PC PO PB PB ++++==,易知当B 为(-1,0)时取得最大值.由题意,AC 为直径,所以24PA PB PC PO PB PB ++++== ,已知B 为(-1,0)时,4PB+取得最大值7,故选B.考点:直线与圆的位置关系、平面向量的运算性质7.(2015湖南理)已知点A ,B ,C 在圆221x y +=上运动,且AB BC ⊥,若点P 的坐标为(2,0),则PA PB PC ++的最大值为()A.6B.7C.8D.9【答案】B.【考点定位】1.圆的性质;2.平面向量的坐标运算及其几何意义.【名师点睛】本题主要考查向量的坐标运算,向量的几何意义以及点到圆上点的距离的最值问题,属于中档题,结合转化思想和数形结合思想求解最值,关键是把向量的模的最值问题转化为点与圆上点的距离的最值问题,即圆221x y +=上的动点到点)0,6(距离的最大值.8、(2015全国新课标Ⅰ卷文)已知点(0,1),(3,2)A B ,向量(4,3)AC =--,则向量BC = ()(A)(7,4)--(B)(7,4)(C)(1,4)-(D)(1,4)9.(2015全国新课标Ⅰ卷理)设D 为ABC 所在平面内一点3BC CD =,则()(A )1433AD AB AC =-+(B)1433AD AB AC=-(C )4133AD AB AC=+ (D)4133AD AB AC =-【答案】A【解析】试题分析:由题知11()33AD AC CD AC BC AC AC AB =+=+=+-= =1433AB AC -+,故选A.考点:平面向量运算10.(2015全国新课标Ⅱ卷文)已知()1,1=-a ,()1,2=-b ,则(2)+⋅=a b a ()A .1-B .0C .1D .2【答案】C【解析】试题分析:由题意可得22=a ,3,⋅=-a b 所以()222431+⋅=+⋅=-=a b a a a b .故选C.考点:向量数量积.11.(2015山东理)已知菱形ABCD 的边长为a ,60ABC ∠=,则BD CD ⋅=()(A)232a -(B)234a -(C)234a (D)232a【答案】D【考点定位】平面向量的线性运算与数量积.【名师点睛】本题考查了平面向量的基础知识,重点考查学生对平面向量的线性运算和数量积的理解与掌握,属基础题,要注意结合图形的性质,灵活运用向量的运算解决问题.12.(2015陕西文、理)对任意向量,a b,下列关系式中不恒成立的是()A .||||||a b a b ∙≤B .||||||||a b a b -≤- C .22()||a b a b +=+ D .22()()a b a b a b +-=- 【答案】B考点:1.向量的模;2.数量积.13.(2015四川理)设四边形ABCD 为平行四边形,6AB = ,4AD = .若点M,N 满足3BM MC =,2DN NC = ,则AM NM ⋅= ()(A)20(B)15(C)9(D)6【答案】C【考点定位】平面向量.【名师点睛】涉及图形的向量运算问题,一般应选两个向量作为基底,选基底的原则是这两个向量有尽量多的已知元素.本题中,由于6AB = ,4AD = 故可选,AB AD作为基底.14、(2015四川文)设向量a =(2,4)与向量b =(x ,6)共线,则实数x =()(A )2(B )3(C )4(D )6【答案】B【考点定位】本题考查平面向量的坐标表示,向量共线的性质,考查基本的运算能力.【名师点睛】平面向量的共线、垂直以及夹角问题,我们通常有两条解决通道:一是几何法,可以结合正余弦定理来处理.二是代数法,特别是非零向量的平行与垂直,一般都直接根据坐标之间的关系,两个非零向量平行时,对应坐标成比例(坐标中有0时单独讨论);两个向量垂直时,对应坐标乘积之和等于0,即通常所采用的“数量积”等于0.属于简单题.15.(2015重庆理)若非零向量a ,b 满足|a |=3|b |,且(a -b )⊥(3a +2b ),则a 与b 的夹角为()A、4πB、2πC、34πD、π【答案】A【考点定位】向量的夹角.16.(2015重庆文)已知非零向量,a b 满足||=4||(+)b a a a b ⊥,且2则a b 与的夹角为()(A)3π(B)2π(C)32π(D)65π【答案】C考点:向量的数量积运算及向量的夹角.二、填空题:1.(2015安徽文)ABC ∆是边长为2的等边三角形,已知向量b a 、满足a AB 2=→,b a AC+=→2,则下列结论中正确的是.(写出所有正确结论得序号)①a为单位向量;②b 为单位向量;③b a ⊥;④→BC b // ;⑤→⊥+BC b a )4( 。
广东省各市2015年高考二模数学理试题分类汇编.平面向量
广东省各市2015年高考二模数学理试题分类汇编平面向量1(2015届潮州市)已知)2,1(-A ,)1,(-a B ,)0,(b C -三点共线,其中0,0>>b a ,则ba 21+的最小值是( )A .2B .4C .6D .8 2(2015届佛山市)已知向量a ()32, 0-=,b ()3, 1=,则向量a 在b 上的投影为( )A .3-B .3-C .3D .3 3(2015届广州市)设(),P x y 是函数()y f x =的图象上一点,向量()()51,2x =-a ,()1,2y x =-b ,且//a b .数列{}n a是公差不为0的等差数列,且()()()12936f a f a f a ++⋅⋅⋅+=,则129a a a ++⋅⋅⋅+=A .0B .9C .18D .364(2015届广州市)在边长为1的正方形ABCD 中,以A 为起点,其余顶点为终点的向量分别为1a ,2a ,3a ;以C 为起点,其余顶点为终点的向量分别为1c ,2c ,3c .若m 为()()i j s t +∙+a a c c 的最小值,其中{}{},1,2,3i j ⊆,{}{},1,2,3s t ⊆,则m = . 5(2015届惠州市)在ABC ∆中,2=AB ,3=AC ,3AB AC ⋅=,则=BC ( )A .3B .7C .19D .23 6(2015届揭阳市)设向量(12)(23)==,,,a b ,若向量λ-a b 与向量(56)=--,c 共线,则λ的值为A .43 B .413 C .49- D .4 7(2015届茂名市)在△ABC 中,54sin =A ,6=∙AC AB ,则△ABC 的面积为( ). A .3 B .125 C .6 D .4 8(2015届深圳市)平面向量(1,2)=-a ,(2,)x =-b ,若a // b ,则x 等于A .4B .4-C .1-D .29(2015届湛江市)若平面向量()1,2a =- 与b 的夹角是0180,且53||=b ,则b 的坐标为( ).A .)6,3(-B .)6,3(-C .)3,6(-D .)3,6(- 10(2015届肇庆市)已知向量)4,2(=a ,)1,1(-=b ,则=-b a 2A .(3,7)B .(3,9)C .(5,7)D .(5,9) 答案:D A C 5- B A D A B C。
2015广州二模理科数学试题及答案
数学(理科)试题A 第 1 页 共 13 页数学(理科)参考公式:球的表面积公式24S R =π,其中R 是球的半径.一、选择题:本大题共8小题,每小题5分,满分40分.在每小题给出的四个选项中,只有一项是符合题目要求的. 1.命题“若2x =,则2320x x -+=”的逆否命题是A .若2x ≠,则2320x x -+≠B .若2320x x -+=,则2x =C .若2320x x -+≠,则2x ≠D .若2x ≠,则2320x x -+=2.已知0a b >>,则下列不等关系式中正确的是A .sin sin a b >B .22log log a b <C .1122a b < D .1133a b⎛⎫⎛⎫< ⎪ ⎪⎝⎭⎝⎭3.已知函数()40,1,0,x f x x x x ⎧≥⎪=⎨⎛⎫-<⎪ ⎪⎝⎭⎩则()2f f =⎡⎤⎣⎦ A .14 B .12C .2D .44.函数()sin y A x ωϕ=+()0,0,0A ωϕ>><<π的图象的一部分如图1所示, 则此函数的解析式为A .3sin y x ππ⎛⎫=+ ⎪44⎝⎭B .3sin y x π3π⎛⎫=+ ⎪44⎝⎭C .3sin y x ππ⎛⎫=+ ⎪24⎝⎭D .3sin y x π3π⎛⎫=+ ⎪24⎝⎭5.已知函数()223f x x x =-++,若在区间[]4,4-上任取一个实数0x ,则使()00f x ≥成立的概率为A .425B .12C .23D .16.如图2,圆锥的底面直径2AB =,母线长3VA =,点C 在母线VB 上,且1VC =,有一只蚂蚁沿圆锥的侧面从点A 到达点C ,则这只蚂蚁爬行的最短距离是A BC D 图1AV CB图2数学(理科)试题A 第 2 页 共 13 页7.已知两定点()1,0A -,()1,0B ,若直线l 上存在点M ,使得3MA MB +=,则称直线l 为“M 型直线”.给出下列直线:①2x =;②3y x =+;③21y x =--;④1y =;⑤23y x =+.其中是“M 型直线”的条数为A .1B .2C .3D .48.设(),P x y 是函数()y f x =的图象上一点,向量()()51,2x =-a ,()1,2y x =-b ,且//a b .数列{}na是公差不为0的等差数列,且()()()12936f a f a f a ++⋅⋅⋅+=,则129a a a ++⋅⋅⋅+= A .0 B .9 C .18 D .36二、填空题:本大题共7小题,考生作答6小题,每小题5分,满分30分. (一)必做题(9~13题)9.已知i 为虚数单位,复数1i1iz -=+,则z = . 10.执行如图3所示的程序框图,则输出的z 的值是 .11.已知()sin 6f x x=+⎪⎝⎭,若cos 5α=02α<< ⎪⎝⎭,则12f α+= ⎪⎝⎭ .12.5名志愿者中安排4人在周六、周日两天参加社区公益活动.若每天安排2人,则不同的安排方案共有_________种(用数字作答). 13.在边长为1的正方形ABCD 中,以A 为起点,其余顶点为终点的向量分别为1a ,2a ,3a ;以C 为起点,其余顶点为终点的向量分别为1c ,2c ,3c .若m 为()()i j s t +∙+a a c c 的最小值,其中{}{},1,2,3i j ⊆,{}{},1,2,3s t ⊆,则m = .(二)选做题(14~15题,考生只能从中选做一题) 14.(几何证明选讲选做题)如图4,在平行四边形ABCD 中,4AB =,点E 为边DC 的中点, AE 与BC 的延长线交于点F ,且AE 平分BAD ∠,作DG AE ⊥,垂足为G ,若1DG =,则AF 的长为 . 15.(坐标系与参数方程选做题)在平面直角坐标系中,已知曲线1C 和2C 的方程分别为32,12x t y t =-⎧⎨=-⎩(t 为参数)和24,2x t y t =⎧⎨=⎩(t 为参BACDE FG 图4数学(理科)试题A 第 3 页 共 13 页数),则曲线1C 和2C 的交点有 个.三、解答题:本大题共6小题,满分80分.解答须写出文字说明、证明过程和演算步骤. 16.(本小题满分12分)已知△ABC 的三边a ,b ,c 所对的角分别为A ,B ,C ,且::7:5:3a b c =. (1)求cos A 的值;(2)若△ABC的面积为,求△ABC 外接圆半径的大小. 17.(本小题满分12分)某市为了宣传环保知识,举办了一次“环保知识知多少”的问卷调查活动(一人答一份).现从回收的年龄在20~60岁的问卷中随机抽取了n 份,统计结果如下面的图表所示.(1)分别求出a ,b ,c ,n的值;(2)从第3,4组答对全卷的人中用分层抽样的方法抽取6人,在所抽取的6人中随机抽取2人授予“环保之星”,记X 为第3组被授予“环保之星”的人数,求X 的分布列与数学期望.18.(本小题满分14分)如图5,已知六棱柱111111ABCDEF A BC D E F -的侧棱 垂直于底面,侧棱长与底面边长都为3,M ,N 分别 是棱AB ,1AA 上的点,且1AM AN ==. (1)证明:M ,N ,1E ,D 四点共面;(2)求直线BC 与平面1MNE D 所成角的正弦值.C 1ABA 1B 1D 1CDMNEFE 1F 1 图5数学(理科)试题A 第 4 页 共 13 页19.(本小题满分14分)已知点(),n n nP a b ()n ∈*N 在直线l :31y x =+上,1P 是直线l 与y 轴的交点,数列{}n a 是公差为1的等差数列.(1)求数列{}n a ,{}n b 的通项公式; (2)求证:22212131111116n PP PP PP ++++<. 20.(本小题满分14分)已知圆心在x 轴上的圆C 过点()0,0和()1,1-,圆D 的方程为()2244x y -+=.(1)求圆C 的方程;(2)由圆D 上的动点P 向圆C 作两条切线分别交y 轴于A ,B 两点,求AB 的取值范围. 21.(本小题满分14分)已知函数()ln f x a x =-11x x -+,()e xg x =(其中e 为自然对数的底数). (1)若函数()f x 在区间()0,1内是增函数,求实数a 的取值范围;(2)当0b >时,函数()g x 的图象C 上有两点(),e b P b ,(),e bQ b --,过点P ,Q 作图象C 的切线分别记为1l ,2l ,设1l 与2l 的交点为()00,M x y ,证明00x >.数学(理科)试题A 第 5 页 共 13 页数学(理科)试题参考答案及评分标准一、选择题: CDAA BBCC 二、填空题:9.1 10. 3211. 1012. 30 13. 5- 14.15. 1 16.(本小题满分12分) 解:(1)因为::7:5:3a b c =,所以可设7a k =,5b k =,3c k =()0k >,…………………………………………………………2分由余弦定理得,222cos 2b c a A bc +-=()()()222537253k k k k k+-=⨯⨯…3分12=-.…4分 (2)由(1)知,1cos 2A =-,因为A 是△ABC 的内角,所以sin A=6分 由(1)知5b k =,3c k =,因为△ABC的面积为1sin 2bc A =8分即1532k k ⨯⨯=k =……………10分 由正弦定理2sin a R A =,即72sin k R A ==,…………………………………………………11分 解得14R =.所以△ABC 外接圆半径的大小为14.……12分17.(本小题满分12分)解:(1)根据频率直方分布图,得()0.0100.0250.035101c +++⨯=,解得0.03c =.……………………………………………………………………………………………1分 第3组人数为105.05=÷,所以1001.010=÷=n .…………………………………………………2分 第1组人数为1000.3535⨯=,所以28350.8b =÷=.……………………………………………3分 第4组人数为2525.0100=⨯,所以250.410a =⨯=.……………………………………………4分 (2)因为第3,4组答对全卷的人的比为5:101:2=,所以第3,4组应依次抽取2人,4人.……5分依题意X 的取值为0,1,2.………6分()022426C C2C5P X===,……7分()112426C C81C15P X===,……8分()202426C C12C15P X===,………………9分所以X的分布列为所以281012515153EX=⨯+⨯+⨯=.………………………………………………………………12分18.(本小题满分14分)第(1)问用几何法,第(2)问用向量法:(1)证明:连接1A B,11B D,BD,11A E,在四边形1111A B D E中,1111A EB D且1111=A EB D,在四边形11BB D D中,11BD B D且11=BD B D,所以11A E BD且11=A E BD,所以四边形11A BDE是平行四边形.所以11A B E D.………………………………2分在△1ABA中,1AM AN==,13AB AA==,所以1AM ANAB AA=,所以1MN BA.……………………………4分所以1MN DE.所以M,N,1E,D四点共面.………………………………………………………………………6分(2)解:以点E为坐标原点,EA,ED,1EE所在的直线分别为x轴,y轴,z轴,建立如图的空间直角坐标系,则()B,9,02C⎫⎪⎪⎝⎭,()0,3,0D,()10,0,3E,()M,…………………………8分………………………………………10分C1A BA1B1D1CDMNEFE1F1数学(理科)试题A 第 6 页共数学(理科)试题A 第 7 页 共 13 页则3,02BC ⎛⎫= ⎪ ⎪⎝⎭,()10,3,3DE =-,()2,0DM =-.……………………………………………………………………………………10分设(),,x y z =n 是平面1MNE D 的法向量,则10,0.DE DM ⎧=⎪⎨=⎪⎩n n即330,20.y z y -+=⎧⎪⎨-=⎪⎩取y =2x =,z =所以(=n 是平面1MNE D 的一个法向量.………………………………………………12分 设直线BC 与平面1MNE D 所成的角为θ,则sin BC BCθ=n n116==. 故直线BC 与平面1MNE D .………………………………………………14分 第(1)(2)问均用向量法:(1)证明:以点E 为坐标原点,EA ,ED ,1EE 所在的直线分别为x 轴,y 轴,z 轴,建立如图的空间直角坐标系, 则()B ,9,02C ⎫⎪⎪⎝⎭,()0,3,0D , ()10,0,3E ,()M ,()N ,……………2分所以()10,3,3DE =-,()0,1,1MN =-. ………………3分 因为13DE MN =,且MN 与1DE 不重合, 所以1DE MN .…………………………………………5分所以M ,N ,1E ,D 四点共面.………………………………………………………………………6分数学(理科)试题A 第 8 页 共 13 页(2)解:由(1)知3,02BC ⎛⎫= ⎪ ⎪⎝⎭,()10,3,3DE =-,()2,0DM =-.………………10分(特别说明:由于给分板(1)6分(2)8分,相当于把(1)中建系与写点坐标只给2分在此加2分)设(),,x y z =n 是平面1MNE D 的法向量,则10,0.DE DM ⎧=⎪⎨=⎪⎩n n即330,20.y z y -+=⎧⎪⎨-=⎪⎩取y =2x =,z =所以(=n 是平面1MNE D 的一个法向量.………………………………………………12分 设直线1BC 与平面1MNE D 所成的角为θ,则sin BC BCθ=n n==. 故直线BC 与平面1MNE D 所成角的正弦值为116.………………………………………………14分 第(1)(2)问均用几何法:(1)证明:连接1A B ,11B D ,BD ,11A E , 在四边形1111A B D E 中,1111A E B D 且1111=A E B D , 在四边形11BB D D 中,11BD B D 且11=BD B D ,所以11A E BD 且11=A E BD ,所以四边形11A BDE 是平行四边形. 所以11A B E D .………2分在△1ABA 中,1AM AN ==,13AB AA ==,所以1AM ANAB AA =, 所以1MNBA .……4分 所以1MNDE . 所以M ,N ,1E ,D 四点共面.…6分(2)连接AD ,因为BCAD ,所以直线AD 与平面1MNE D 所成的角即为直线BC 与平面1MNE D 所成的角.…………………7分C 1BA 1B 1D 1CDMNEFE 1F 1数学(理科)试题A 第 9 页 共 13 页连接DN ,设点A 到平面DMN 的距离为h ,直线AD 与平面1MNE D 所成的角为θ, 则sin h AD θ=.……8分 因为A DMN D AMN V V --=,即1133DMN AMN S h S DB ∆∆⨯⨯=⨯⨯.……9分 在边长为3的正六边形ABCDEF中,DB =6DA =,在△ADM 中,6DA =,1AM =,60DAM ∠=,由余弦定理可得,DM 在Rt △DAN 中,6DA =,1AN =,所以DN = 在Rt △AMN 中,1AM =,1AN =,所以MN = 在△DMN中,DM =DN =MN =由余弦定理可得,cos DMN ∠=,所以sin DMN ∠=.所以1sin 2DMN S MN DM DMN ∆=⨯⨯⨯∠=.…11分 又12AMN S ∆=,…12分所以AMN DMN S DB h S ∆∆⨯==13分所以sin h AD θ== 故直线BC 与平面1MNE D所成角的正弦值为116.………………………………………………14分 19.(本小题满分14分)(1)解:因为()111,P a b 是直线l :31y x =+与y 轴的交点()0,1,所以10a =,11b =.…2分 因为数列{}n a 是公差为1的等差数列,所以1n a n =-.……4分因为点(),n n n P a b 在直线l :31y x =+上,所以31n n b a =+32n =-. 所以数列{}n a ,{}n b 的通项公式分别为1n a n =-,32n b n =-()*n ∈N .………………………6分(2)证明:因为()10,1P ,()1,32n P n n --,所以()1,31n P n n ++.所以()222211310n PP n n n +=+=.………………………………………………………………………7分 所以222121311111n PP PP PP ++++22211111012n ⎛⎫=+++⎪⎝⎭.……………………………………8分数学(理科)试题A 第 10 页 共 13 页因为()()2221144112141212121214n n n n n n n ⎛⎫<===- ⎪--+-+⎝⎭-,……………………………10分 所以,当2n ≥时,222121311111n PP PP PP ++++111111210352121n n ⎡⎤⎛⎫<+-++- ⎪⎢⎥-+⎝⎭⎣⎦………11分 15110321n ⎛⎫=- ⎪+⎝⎭…12分 16<. 又当1n =时,212111106PP =<.…13分 所以22212131+111116n PP PP PP +++<.…14分 20.(本小题满分14分)解:(1)方法一:设圆C 的方程为:()222x a y r -+=()0r >,…1分因为圆C 过点()0,0和()1,1-,所以()22222,11.a r a r ⎧=⎪⎨--+=⎪⎩…3分 解得1a =-,1r =.所以圆C 的方程为()2211x y ++=.…4分 方法二:设()0,0O ,()1,1A -,依题意得,圆C 的圆心为线段OA 的垂直平分线l 与x 轴的交点C .………………………………1分 因为直线l 的方程为1122y x -=+,即1y x =+,……………………………………………………2分 所以圆心C 的坐标为()1,0-.…3分 所以圆C 的方程为()2211x y ++=.…4分(2)方法一:设圆D 上的动点P 的坐标为()00,x y ,则()220044x y -+=,即()2200440y x =--≥,解得026x ≤≤.…5分 由圆C 与圆D 的方程可知,过点P 向圆C 所作两条切线的斜率必存在, 设PA 的方程为:()010y y k x x -=-,则点A 的坐标为()0100,y k x -,同理可得点B 的坐标为()0200,y k x -,所以120AB k k x =-,因为PA ,PB 是圆C 的切线,所以1k ,2k 1=,即1k ,2k 是方程()()2220000022110x x k y x k y +-++-=的两根,…7分即()0012200201220021,21.2y x k k x x y k k x x ⎧++=⎪+⎪⎨-⎪=⎪+⎩所以120AB k k x =-x = …9分数学(理科)试题A 第 11 页 共 13 页因为()220044y x =--,所以AB =10分设()()0020562x f x x -=+,则()()00305222x f x x -+'=+.…11分由026x ≤≤,可知()0f x 在222,5⎡⎫⎪⎢⎣⎭上是增函数,在22,65⎛⎤⎥⎝⎦上是减函数,……………………12分 所以()0max 2225564fx f ⎛⎫==⎡⎤ ⎪⎣⎦⎝⎭,()()(){}min 0131min 2,6min ,484f x f f ⎧⎫===⎡⎤⎨⎬⎣⎦⎩⎭,所以AB的取值范围为⎦.…………………………………14分方法二:设圆D 上的动点P 的坐标为()00,x y ,则()220044x y -+=,即()2200440y x =--≥,解得026x ≤≤…5分 设点()0,A a ,()0,B b , 则直线PA :00y ay a x x --=,即()0000y a x x y ax --+=, 因为直线PA 与圆C1=,化简得()2000220x a y a x +--=. ①同理得()2000220x b y b x +--=, ②由①②知a ,b 为方程()2000220x x y x x +--=的两根,…7分 即00002,2.2y a b x x ab x ⎧+=⎪+⎪⎨-⎪=⎪+⎩所以AB a b =-===9分 因为()220044y x =--,所以AB =10分=…11分 令012t x =+,因为026x ≤≤,所以1184t ≤≤.数学(理科)试题A 第 12 页 共 13 页所以AB ==,………………………………………12分 当532t =时,max 4AB =,当14t =时,min AB = 所以AB的取值范围为4⎦.…………………………………………………………………14分21.(本小题满分14分)(1)解法一:因为函数()ln f x a x =-11x x -+在区间()0,1内是增函数, 所以()()2201a f x x x '=-≥+()01x <<.……1分 即()2120a x x +-≥()01x <<, 即()221xa x ≥+……2分 212x x =++()01x <<,因为21122x x<++在()0,1x ∈内恒成立, 所以12a ≥.故实数a 的取值范围为1,2⎡⎫+∞⎪⎢⎣⎭.…4分 解法二:因为函数()ln f x a x =-11x x -+在区间()0,1内是增函数, 所以()()2201a f x x x '-+≥=()01x <<.……1分 即()2120a x x +-≥()01x <<, 即()2210ax a x a +-+≥()01x <<,……2分 设()()221g x ax a x a =+-+, 当0a =时,得20x -≥,此时不合题意.当0a <时,需满足()()00,10,g g ≥⎧⎪⎨≥⎪⎩即()0,210,a a a a ≥⎧⎪⎨+-+≥⎪⎩解得12a ≥,此时不合题意.当0a >时,需满足()222140a a --≤⎡⎤⎣⎦或()()00,10,10,g g a a ⎧⎪≥⎪≥⎨⎪-⎪-<⎩或()()00,10,11,g g a a⎧⎪≥⎪≥⎨⎪-⎪->⎩ 解得12a ≥或1a >,所以12a ≥.综上所述,实数a 的取值范围为1,2⎡⎫+∞⎪⎢⎣⎭.…4分 (2)证明:因为函数()e xg x =,所以()e xg x '=.过点(),e b P b ,(),e bQ b --作曲线C 的切线方程为:数学(理科)试题A 第 13 页 共 13 页1l :()e e b b y x b =-+,2l :()e e b b y x b --=++,因为1l 与2l 的交点为()00,M x y ,由()()e e ,e e ,b bb by x b y x b --⎧=-+⎪⎨=++⎪⎩……6分消去y ,解得()()()0e +e e e eeb b b b bbb x -----=-. ①………7分下面给出判定00x >的两种方法:方法一:设e bt =,……8分 因为0b >,所以1t >,且ln b t =,所以()()2202+1ln 11t t t x t --=-.…9分设()()()22+1ln 1h t t t t =--()1t >,则()12ln h t t t t t'=-+()1t >.…10分 令()12ln u t t t t t =-+()1t >,则()212ln 1u t t t '=+-. 当1t >时,ln 0t >,2110t ->,所以()212ln 10u t t t'=+->,…11分所以函数()u t 在()1,+∞上是增函数,所以()()10u t u >=,即()0h t '>,…12分所以函数()h t 在()1,+∞上是增函数,所以()()10h t h >=.…13分 因为当1t >时,210t ->,所以()()2202+1ln 101t t t x t --=>-.…14分 方法二:由①得0x ()221+e 11eb bb --=--.设2ebt -=,…8分 因为0b >,所以01t <<,且ln 2t b =-. 于是21ln bt-=,…9分 所以()01+221ln 1ln 1b t b t x b t t t t +⎛⎫=+=+ ⎪--⎝⎭.…10分 由(1)知当12a =时,()1ln 2f x x =-11x x -+在区间()0,1上是增函数,…………………………11分 所以()ln 2t f t =-()1101t f t -<=+,即ln 2t <11t t -+.…12分 即210ln 1tt t++>-,…13分 已知0b >,所以0210ln 1t x b t t +⎛⎫=+> ⎪-⎝⎭.…14分。
广东省2015年高三普通高考测试数学理试题及答案
湛江市2015年普通高考测试(二)数学(理科)一、选择题(本大题共10小题,每小题5分,满分50分.在每小题给出的四个选项中,只有一项是符合题目要求的.)1.已知集合{}231x x M =-<,集合{}13x x N =-<<,则MN =( ). A .M B .N C .{}12x x -<< D .{}3x x < 2.已知z 是复数,i 是虚数单位,若i zi +=1,则z =( ).A .i +1B .i -1C .i +-1D .i --13.随机变量ξ服从正态分布)4,3(N ,若)2()32(+>=-<a P a P ξξ,则a 的值为( ).A .37B .34C .3D .44.一个几何体的三视图如图,正视图和侧视图都是由一个半圆和一个边长为2的正方形组成,俯视图是一个圆,则这个几何体的表面积是( ).A .5πB .6πC .7πD .9π5.在右图所示的程序框图中,输出的i 和s 的值分别为( ).A .3,21B .3,22C .4,21D .4,226.设)(x f 是定义在R 上的周期为3的周期函数,如图表示该函数在区间]1,2[-上的图像,则)2015()2014(f f +=( ).A .3B .2C .1D .07.若平面向量()1,2a =-与b 的夹角是0180,且53||=b ,则b 的坐标为( ).A .)6,3(-B .)6,3(-C .)3,6(-D .)3,6(-8.对于任意正整数n ,定义“!!n ”如下:当n 是偶数时,()()!!24642n n n n =⋅-⋅-⋅⋅⋅⋅⋅⋅⋅⋅;当n 是偶数时,()()!!24531n n n n =⋅-⋅-⋅⋅⋅⋅⋅⋅⋅⋅;且有()()!12321n n n n =⋅-⋅-⋅⋅⋅⋅⋅⋅⋅⋅.则如下四个命题:①()()2015!!2016!!2016!⋅=;②10082016!!21008!=⨯;③2015!!的个位数是5;④2014!!的个位数是0.其中正确的命题有( ).A .1个B .2个C .3个D .4个二、填空题(本大题共7小题,考生作答6小题,每小题5分,满分30分.)(一)必做题(9~13题)9.曲线x x y sin +=在点(0,0)处的切线方程是________________.10.双曲线C :221916x y -=的离心率是 . 11.=-⎰dx x |1|20_______________.12.某所学校计划招聘男教师x 名,女教师y 名,x 和y 须满足约束条件⎪⎩⎪⎨⎧<≤-≥-6252x y x y x ,则该校招聘的教师最多是 名.13.已知全集}8,7,6,5,4,3,2,1{=U ,在U 中任取四个元素组成的集合记为},,,{4321a a a a A =,余下的四个元素组成的集合记为},,,{4321b b b b A C U =,43214321b b b b a a a a +++<+++,则集合A 的取法共有____________种.(二)选做题(14~15题,考生只能从中选做一题)14.(坐标系与参数方程选做题)直线l 的参数方程为31x t y t ⎧=⎪⎨=+⎪⎩(t 为参数),则直线l 的倾斜角是 .15.(几何证明选讲选做题)如图,在梯形CD AB 中,D//C A B ,D 2A =,C 5B =,点E .F 分别在AB .CD 上,且F//DE A ,若34AE =EB ,则F E 的长是 .三.解答题(本大题共6小题,共80分.解答应写出文字说明.证明过程或演算步骤.)16.(本小题满分12分)设函数)(,sin 3cos )(R x x x x f ∈-=(1)求函数)(x f 在区间]2,0[π上的值域(2)记AB C ∆内角C B A ,,的对应边分别为c b a ,,,若1)3(=-πA f ,且b a 23=,求B s i n 的值.17.(本小题满分12分)某中学一名数学教师对全班50名学生某次考试成绩分男生女生进行了统计(满分150分),得到右面频率分布表:其中120分(含120分)以上为优秀.(1)根据以上频率表的数据,完成下面的2⨯2列联表;(2)根据(1)中表格的数据计算,你有多大把握认为学生的数学成绩与性别之间有关系?(3)若从成绩在[130,140]的学生中任取3人,已知取到的第一个人是男生,求取到的另外2人中至少一名女生的概率.18.(本小题满分14分)如图,四棱锥ABCD P -中,045BCD 1AD AB 2CD ,,//AB ABCD =∠===⊥⊥,,且,平面DC AD DC PD .(1)若点M 是PD 的中点,证明:PBC AM//平面;(2)若PBC ∆得面积为2,求二面角D -PC -B 的余弦值.19.(本小题满分14分)数列{}n a 的前n 项和记为n S ,对任意正整数n ,均有()241n n S a =+,且0n a >. ()1求1a 及数列{}n a 的通项公式;()2令114)1(+--=n n n n a a n b ,求数列}{n b 的前n 项和n T .20.(本小题满分14分)已知曲线E 上的任一点到点)3,0(1-F 和点)3,0(F 的距离之和为4.(1)求曲线E 的方程;(2)已知点)0,1(),2,0(C A ,设直线)0(,>=k kx y 与曲线E 交于B .D 两点(B 在第一象限),求四边形ABCD 面积的最大值.21.(本小题满分14分)已知函数b a bx ax x f ,(,1)(2++=为实数,),0R x a ∈≠.(1)若0)1(=-f ,且函数)(x f 的值域为),0[+∞,求)(x f ; (2)设0,0,)()()(<>⎩⎨⎧-=x x x f x f x F ,0,0,0>>+<a n m mn ,且函数)(x f 为偶函数. 证明:0)()(>+n F m F ;(3)设)(,1ln )(x g ex x g x +=的导函数是),(x g '当1==b a 时,证明:对任意实数0>x ,21)(]1)([-+<'-e x g x f .。
广东省深圳市2015年高三第二次调研考试 数学理
绝密★启用前 试卷类型:A2015年深圳市高三年级第二次调研考试数学(理科) 2015.4本试卷共6页,21小题,满分150分.考试用时120分钟.注意事项:1.答卷前,考生首先检查答题卡是否整洁无缺损,监考教师分发的考生信息条形码是否正确;之后务必用0.5毫米黑色字迹的签字笔在答题卡指定位置填写自己的学校、姓名和考生号,同时,将监考教师发放的条形码正向准确粘贴在答题卡的贴条形码区,请保持条形码整洁、不污损.2.选择题每小题选出答案后,用2B 铅笔把答题卡上对应题目的答案标号涂黑,如需改动,用橡皮擦干净后,再选涂其它答案,答案不能答在试卷上.不按要求填涂的,答案无效.3.非选择题必须用0.5毫米黑色字迹的签字笔作答,答案必须写在答题卡各题目指定区域内相应位置上,请注意每题答题空间,预先合理安排;如需改动,先划掉原来的答案,然后再写上新的答案;不准使用铅笔和涂改液.不按以上要求作答的答案无效.4.作答选做题时,请先用2B 铅笔填涂选做题的题号对应的信息点,再做答.漏涂、错涂、多涂的答案无效.5.考生必须保持答题卡的整洁,考试结束后,将答题卡交回.参考公式:如果柱体的底面积为S ,高为h ,则柱体的体积为Sh V =;如果随机变量X 服从正态分布),(2σμN ,则,()()d b a P a X b x x μσφ<≤=⎰,其中22()2,()x x μσμσφ--=,),(∞+-∞∈x ,μ为均值,σ为标准差.一、选择题:本大题共8个小题;每小题5分,共40分.在每小题给出的四个选项中,有且只有一项是符合题目要求的.1.设i 为虚数单位,则复数2015i 等于 A .1 B .1-C .iD .i - 2.平面向量(1,2)=-a ,(2,)x =-b ,若a // b ,则x 等于A .4B .4-C .1-D .23.下列四个函数中,在闭区间]1,1[-上单调递增的函数是A .2x y =B .x y 2=C .x y 2log =D .x y 2sin =4.如图1,已知某品牌墨水瓶的外形三视图和尺寸,则该墨水瓶的容积为(瓶壁厚度忽略不计)A .π8+B .π48+C .π16+D .π416+ 5.若实数x ,y 满足约束条件1311x y x y ≤+≤⎧⎨-≤-≤⎩, 则2x y +的取值范围是A .[0,6]B .[1,6]C .[1,5]D .[0,5]6.如图2,在执行程序框图所示的算法时,若输入 3a ,2a ,1a ,0a 的值依次是1,3-,3,1-,则输出v 的值为A .2-B .2C .8-D .87.从1,2,2,3,3,3这六个数字中任取五个,组成五位数,则不同的五位数共有A .50个B .60个C .100个D .120个8.设X 是直角坐标平面上的任意点集,定义}),(|)1,1{(*X y x x y X ∈--=.若X X =*,则称点集X “关于运算*对称”.给定点集}1|),{(22=+=y x y x A ,}1|),{(-==x y y x B ,}1|||1||),{(=+-=y x y x C , 其中“关于运算 * 对称”的点集个数为A .0B .1C .2D .3二、填空题:本大题共7小题,考生作答6小题,每小题5分,满分30分.本大题分为必做题和选做题两部分.(一)必做题:第9、10、11、12、13题为必做题,每道试题考生都必须作答.图11正视图侧视图 俯视图图29.不等式5|2||1|≤-+-x x 的解集为 .10.已知随机变量X 服从正态分布),1(2σN ,若(01)0.3P X <≤=,则=≥)2(X P .11.已知双曲线的中心在原点,焦点在x 轴上,若其渐近线与抛物线24y x =的准线围成的三角形面积为1,则此双曲线的离心率等于 .12.设等差数列}{n a 的前n 项和为n S ,已知153=S ,1539=S ,则=6S .13.已知△ABC 的内角A 、B 、C 所对的边为a 、b 、c ,则“2ab c >”是“π3C <” 的 条件.(填“充分非必要”、“必要非充分”、“充要”、“既不充分又不必要”中的一种).(二)选做题:第14、15题为选做题,考生只能选做一题,两题全答的,只计算前一题的得分.14.(坐标系与参数方程选做题)在直角坐标系中,已知直线l :12x s y s =+⎧⎨=-⎩(s 为参数)与曲线C :23x t y t=+⎧⎨=⎩(t 为参数)相交于A 、B 两点,则AB =_________. 15.(几何证明选讲选做题)如图3,AB 、AC 是⊙O 的两条切线,切点分别为B 、C .若60BAC ∠=︒,6BC =,则⊙O 的半径为 .三、解答题:本大题6小题,满分80分.解答须写出文字说明、证明过程和演算步骤.16.(本小题满分12分)设函数)2cos()(ϕ+=x x f (其中π0<<ϕ,R ∈x ).已知21)0(-=f .(1)求函数)(x f 的解析式;(2)若角θ满足)()3πsin(θθf =+,且π0<≤θ,求角θ的值. 图3 A17.(本小题满分12分)深圳市于2014年12月29日起实施小汽车限购政策.根据规定,每年发放10万个小汽车名额,其中电动小汽车占20%,通过摇号方式发放,其余名额通过摇号和竞价两种方式各发放一半.政策推出后,某网站针对不同年龄段的申请意向进行了调查,结果如下表所示:(1)采取分层抽样的方式从30至50岁的人中抽取10人,求其中各种意向人数;(2)在(1)中选出的10个人中随机抽取4人,求其中恰有2人有竞价申请意向的概率;(3)用样本估计总体,在全体市民中任意选取4人,其中摇号申请电动小汽车意向的人数记为ξ,求ξ的分布列和数学期望.18.(本小题满分14分)如图4,已知三棱锥O ABC -的三条侧棱OA ,OB ,OC 两两垂直,△ABC 为等边三角形, M 为△ABC 内部一点,点P 在OM 的延长线上,且PB PA =.(1)证明:OB OA =;(2)证明:平面⊥PAB 平面POC ;(3)若PA =,OP ,求二面角B OA P --的余弦值.CP19.(本小题满分14分)设数列}{n a 的前n 项和为n S ,满足4231-⋅-=++n n n n a S ,*N ∈n ,且42,,321+a S a 成等比数列.(1)求1a ,2a ,3a 的值;(2)求数列2n n a ⎧⎫⎨⎬⎩⎭的通项公式; (3)证明:对一切正整数n ,有++2143a a …12<++n a n .20.(本小题满分14分)已知平面上的动点P 与点(0,1)N 连线的斜率为1k ,线段PN 的中点与原点连线的斜率为2k ,1221k k m =-(1m >),动点P 的轨迹为C . (1)求曲线C 的方程; (2)是否存在同时满足以下条件的圆:①以曲线C 的弦AB 为直径; ②过点N;③直径AB =.若存在,指出共有几个;若不存在,请说明理由.21.(本小题满分14分) 已知函数x b ax x x f +-=ln )(,对任意的),0(∞+∈x ,满足0)1()(=+xf x f , 其中b a ,为常数.(1)若)(x f 的图像在1=x 处切线过点)5,0(-,求a 的值; (2)已知10<<a ,求证:0)2(2>a f ; (3)当)(x f 存在三个不同的零点时,求a 的取值范围.。
- 1、下载文档前请自行甄别文档内容的完整性,平台不提供额外的编辑、内容补充、找答案等附加服务。
- 2、"仅部分预览"的文档,不可在线预览部分如存在完整性等问题,可反馈申请退款(可完整预览的文档不适用该条件!)。
- 3、如文档侵犯您的权益,请联系客服反馈,我们会尽快为您处理(人工客服工作时间:9:00-18:30)。
广东省各市2015年高考二模数学理试题分类汇编
平面向量
1(2015届潮州市)已知)2,1(-A ,)1,(-a B ,)0,(b C -三点共线,其中0,0>>b a ,则
b
a 21+的最小值是( )
A .2
B .4
C .6
D .8 2(2015届佛山市)已知向量a ()32, 0-=,b ()
3, 1=,则向量a 在b 上的投影为( )
A .3-
B .3-
C .3
D .3 3(2015届广州市)设(),P x y 是函数()y f x =的图象上一点,向量()()51,2x =-a ,()1,2y x =-b ,且//a b .数列{}n a
是公差不为0的等差数列,且()()()12936f a f a f a ++⋅⋅⋅+=,则129a a a ++⋅⋅⋅+=
A .0
B .9
C .18
D .36
4(2015届广州市)在边长为1的正方形ABCD 中,以A 为起点,其余顶点为终点的向量分别为1a ,2a ,3a ;以C 为起点,其余顶点为终点的向量分别为1c ,2c ,3c .若m 为()()i j s t +∙+a a c c 的最小值,其中{}{},1,2,3i j ⊆,{}{},1,2,3s t ⊆,则m = . 5(2015届惠州市)在ABC ∆中,2=AB ,3=AC ,3AB AC ⋅=,则=BC ( )
A .3
B .7
C .19
D .23
6(2015届揭阳市)设向量(1
2)(23)==,,,a b ,若向量λ-a b 与向量(56)=--,c 共线,则λ的值为
A .
43 B .413 C .49
- D .4 7(2015届茂名市)在△ABC 中,5
4sin =A ,6=∙AC AB ,则△ABC 的面积为( ). A .3 B .125 C .6 D .4 8(2015届深圳市)平面向量(1,2)=-a ,(2,)x =-b ,若a // b ,则x 等于
A .4
B .4-
C .1-
D .2
9(2015届湛江市)若平面向量()1,2a =-与b 的夹角是0180,且53||=b ,则b 的坐标
为( ).
A .)6,3(-
B .)6,3(-
C .)3,6(-
D .)3,6(- 10(2015届肇庆市)已知向量)4,2(=a ,)1,1(-=b ,则=-b a 2
A .(3,7)
B .(3,9)
C .(5,7)
D .(5,9) 答案:D A C 5- B A D A B C。